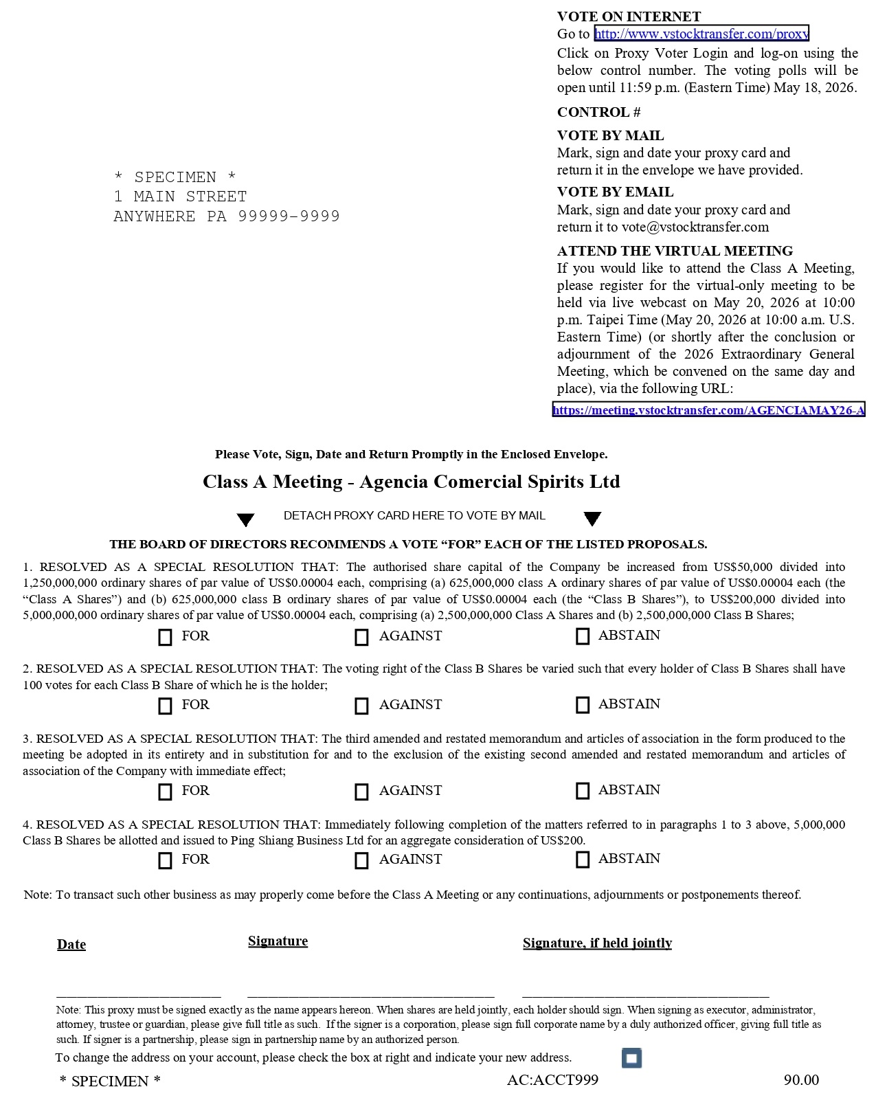
Exhibit 99.5