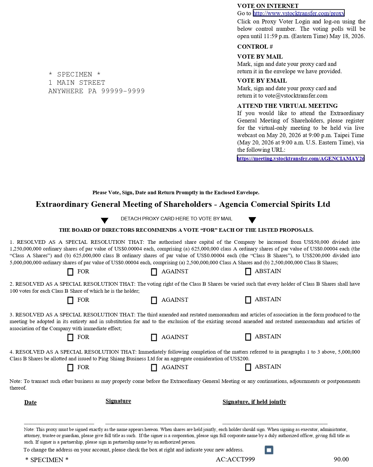
Exhibit 99.4