Exhibit 9
Execution Version
THIS WARRANT AND THE SECURITIES ISSUABLE UPON EXERCISE OF THIS WARRANT REPRESENTED BY THIS CERTIFICATE HAVE BEEN ACQUIRED FOR INVESTMENT AND HAVE NOT BEEN REGISTERED UNDER THE SECURITIES ACT OF 1933, AS AMENDED (THE “SECURITIES ACT”), OR ANY STATE SECURITIES OR BLUE SKY LAWS. THESE SECURITIES MAY NOT BE SOLD OR TRANSFERRED IN THE ABSENCE OF SUCH REGISTRATION OR AN EXEMPTION THEREFROM UNDER THE SECURITIES ACT OR APPLICABLE STATE SECURITIES OR BLUE SKY LAWS.
Issue Date: December 15, 2025
ACCURAY INCORPORATED
Common Stock Purchase Warrant
Accuray Incorporated, a Delaware corporation (the “Company”), for value received, hereby certifies that TCW Rescue Financing Fund II LP (the “Holder”), subject to the terms and conditions hereof (including, without limitation, Section 1.6), shall be entitled to purchase from the Company, at any time and from time to time on and after six (6) months and one (1) day after the Issue Date (the “Eligible Exercise Date”) and on or prior to the close of business on December 15, 2032 (the “Expiration Date”) (provided, however, that, notwithstanding the Eligible Exercise Date, this Warrant shall entitle the Holder to the rights set forth in Section 7 in the event of a Change of Control that occurs before or after the Eligible Exercise Date), 1,448,429 fully paid and nonassessable shares (individually, a “Warrant Share” and collectively, the “Warrant Shares”) of common stock, par value $0.001 per share, of the Company (the “Common Stock”), at a price per share equal to the Exercise Price. The number of Warrant Shares and the Exercise Price are subject to adjustment as provided herein, and all references to “Common Stock” and “Exercise Price” herein shall be deemed to include any such adjustment or series of adjustments.
This warrant (this “Warrant” and, together with all such Warrants issued on the Issue Date, the “Warrants”) is being issued by the Company to the Holder in connection with the transactions contemplated by the Financing Agreement (as defined below). The following terms used herein shall have the meanings set forth below when used in this Warrant:
“Adjustment Event” has the meaning set forth in Section 6.10.
“Adverse Disclosure” means any public disclosure of material non-public information, which disclosure, in the good faith determination of the Board, after consultation with counsel to the Company, (i) would be required to be made in any Registration Statement or prospectus in order for the applicable Registration Statement or prospectus not to contain any untrue statement of a material fact or omit to state a material fact necessary to make the statements contained therein (in the case of any prospectus and any preliminary prospectus, in the light of the circumstances under which they were made) not misleading, (ii) would not be required to be made at such time if the Registration Statement were not being filed, and (iii) the Company has a bona fide business purpose for not making public.
“Affiliate” means, with respect to any specified Person, any other Person directly or indirectly controlling, controlled by, or under common control with, such specified Person. The term “control” (including, with correlative meanings, the terms “controlling”, “controlled by” and “under common control with”), when used with respect to a specified Person, means the possession, directly or indirectly, of the power to direct or cause the direction of the management and policies of such specified Person, whether through the ownership of voting securities, by contract, or otherwise. Notwithstanding the foregoing, the Company, its subsidiaries and its other Affiliates shall not be considered Affiliates of the Holder or any of its Affiliates (other than the Company, its subsidiaries and its other Affiliates).
“Automatic Exercise” has the meaning set forth in Section 1.7.
“beneficially own” and similar terms have the meaning set forth in Rule 13d-3 under the Securities Exchange Act of 1934, as amended from time to time (the “Exchange Act”), and the rules and regulations promulgated pursuant thereto; provided that any Person shall be deemed to beneficially own any securities that such Person has the right to acquire (including assuming exercise of all Warrants, if any, owned by such Person to acquire shares of Common Stock).
“Black Scholes Adjusted Exercise Price” means, if the Black Scholes Value Per Share is greater than the Current Value, the result of (i) the then-current Exercise Price less (ii) the result of (x) the Black Scholes Value Per Share less (y) the Current Value. If the Black Scholes Value Per Share is equal to or less than the Current Value, there shall be no Black Scholes Adjusted Exercise Price.
“Black Scholes Value” means the fair market value of this Warrant on the date of consummation of the applicable Change of Control in accordance with the Black-Scholes model for valuing options, using (i) a risk free interest rate equal to the annual yield on the U.S. Treasury security with a maturity date closest to the date that is two years after the Issue Date, as the yield on that security exists as of the date of consummation such Change of Control, (ii) a term equal to the time in years (rounded to the nearest 1/1000th of a year) from the date of consummation of such Change of Control until the date that is two years after the Issue Date, (iii) an assumed volatility based on the 90-day volatility obtained from the HVT function on Bloomberg determined as of the Trading Day immediately prior to the day of the announcement of such Change of Control, (iv) an underlying price per share of Common Stock equal to the value of the consideration received in such Change of Control per share of Common Stock and (v) the aggregate number of Warrant Shares for which this Warrant is then-exercisable.
“Black Scholes Value Per Share” means the Black Scholes Value divided by the number of Warrant Shares for which this Warrant is then-exercisable (without giving effect to any reduction due to cashless exercise).
“Bloomberg” means Bloomberg Financial Markets.
“Board” means the board of directors of the Company.
2
“Business Day” means any day other than a Saturday, Sunday or other day on which commercial banks in the State of New York are authorized or required by law or executive order to close or be closed.
“Cash/Public Acquisition” has the meaning set forth in Section 7.
“Cash Exercise” has the meaning set forth in Section 1.2.
“Change of Control” means the occurrence of: (i) a merger, business combination or consolidation of the Company with a third party that is not an Affiliate of the Company, or any other corporate reorganization, following which the stockholders of the Company immediately preceding such merger, business combination, consolidation or reorganization do not hold, directly or indirectly, a majority of the equity interests of the Person or group (as such term is used in Section 13 of the Exchange Act) surviving or resulting from such merger, business combination, consolidation or reorganization; (ii) the sale, lease, exclusive license or other disposition, whether in a single transaction or a series of related transactions, of all or substantially all of the assets of the Company (together with all of its subsidiaries) to a third party that is not an Affiliate of the Company; (iii) the sale or disposition to a third party that is not an Affiliate of the Company, whether in a single transaction or a series of related transactions, of all or substantially all of the equity interests in the Company, following which the stockholders of the Company immediately preceding such sale or disposition do not hold, directly or indirectly, a majority of the equity interests of the Company or such third party; or (iv) the winding up, dissolution or liquidation of the Company.
“Commission” has the meaning set forth in Section 10.5.
“Common Stock Deemed Outstanding” means, at any given time, the sum of (i) the number of shares of Common Stock actually outstanding at such time, plus (ii) the number of shares of Common Stock issuable upon exercise of Options actually outstanding at such time, plus (c) the number of shares of Common Stock issuable upon conversion or exchange of Convertible Securities actually outstanding at such time (treating as actually outstanding any Convertible Securities issuable upon exercise of Options actually outstanding at such time), in each case, regardless of whether the Options or Convertible Securities are actually exercisable at such time; provided that Common Stock Deemed Outstanding at any given time shall not include shares owned or held by or for the account of the Company or any of its wholly owned subsidiaries.
“Convertible Securities” means any securities (directly or indirectly) convertible into or exchangeable for Common Stock, but excluding Options.
“Current Value” means the difference between (i) the sum of (x) the price per share of Common Stock being offered in cash in the applicable Change of Control (if any) plus (y) the fair market value of the non-cash consideration being offered per share of Common Stock in the applicable Change of Control (if any); and (ii) the then-current Exercise Price.
“Determination Date” has the meaning set forth in Section 6.10.
“DTC” has the meaning set forth in Section 1.4.
3
“Effectiveness Deadline” has the meaning set forth in Section 10.2.
“Excluded Securities” means any shares of Common Stock issued or issuable, or deemed issued or issuable pursuant to Section 6.6: (i) to officers, employees or directors of, or consultants to, the Company or any of its subsidiaries pursuant to an employee benefit or stock purchase plan or agreement which is in effect on the date of this Warrant or has been approved by a majority of the non-employee members of the Board, (including, without limitation, the Amended and Restated 2007 Employee Stock Purchase Plan and the Accuray Incorporated Amended and Restated 2016 Equity Incentive Plan), pursuant to which the Company’s securities may be issued or sold to any employee, officer, consultant or director; (ii) upon exercise of the Warrants; (iii) upon conversion, exercise or exchange of any Options or Convertible Securities (as any adjustment will be made at the time of issuance or amendment of such Options or Convertible Securities pursuant to Section 6.6); and (iv) as consideration in connection with the acquisition of all or a controlling interest in another business (whether by merger, purchase of stock or assets or otherwise) if such issuance is approved by the Board.
“Exercise by Net Share Settlement” has the meaning set forth in Section 1.3.
“Exercise Price” means $1.50 per Warrant Share, subject to all adjustments from time to time pursuant to the provisions of Section 6.
“Financing Agreement” means that certain Financing Agreement, dated as of June 6, 2025, by and among the Company, each other subsidiary of the Company listed as a “Borrower” on the signature pages thereto, each subsidiary of the Company listed as a “Guarantor” on the signature pages thereto, the lenders from time to time party thereto (the “Lenders”), TCW Asset Management Company LLC, a Delaware limited liability company (“TCW”), as collateral agent for the Lenders, TCW, as administrative agent for the Lenders, and Wingspire Capital LLC, as servicing agent, as amended on December 11, 2025, as further amended on December 15, 2025, and as may be further amended, restated, supplemented, or otherwise modified from time to time.
“Form S-1 Shelf” has the meaning set forth in Section 10.1.
“Form S-3 Shelf” has the meaning set forth in Section 10.1.
“Independent Financial Expert” means a nationally recognized accounting, investment banking or consultant firm, which firm does not have a material financial interest or other material economic relationship with either the Company or any of its Affiliates or the Holder or any of its Affiliates that is, in the good faith judgment of the Board, qualified to perform the task for which it has been engaged.
“Market Price” means, as of any date, (i) so long as the Common Stock continues to be traded on NASDAQ on such date, the last reported sale price of the Common Stock on the Trading Day immediately prior to such date on NASDAQ or (ii) if the Common Stock is not traded on NASDAQ on such date, the closing sale price of the Common Stock on the Trading Day immediately prior to such date as reported in the composite transactions for the principal U.S. national securities exchange or market on which the Common Stock is so listed or traded; or if no closing sale price is reported, the last reported sale price on the principal U.S. national securities exchange on which the Common Stock is so listed or traded on the Trading Day immediately prior to such date; (iii) or if the Common Stock is not so listed or traded on a U.S. national securities exchange or market, the last closing bid price of the Common Stock in the over-the-counter market on the electronic bulletin board for such security as reported by Bloomberg; (iv) or if that bid price is not available, the market price of the Common Stock on the Trading Day immediately prior to such date as determined by an Independent Financial Expert appointed for such purpose, using one or more valuation methods that the Independent Financial Expert in its best professional judgment determines to be most appropriate, assuming such securities are fully distributed and are to be sold in an arm’s-length transaction and there was no compulsion on the part of any party to such sale to buy or sell and taking into account all relevant factors.
4
All references herein to the “closing sale price” and “last reported sale price” of the Common Stock on NASDAQ shall be such closing sale price and last reported sale price as reflected on the website of NASDAQ (www.nasdaq.com).
“Marketable Securities” means securities meeting all of the following requirements: (i) the issuer thereof is then subject to the reporting requirements of Section 13 or Section 15(d) of the Exchange Act and is then current in its filing of all required reports and other information under the Securities Act and the Exchange Act; (ii) the class and series of shares or other security of the issuer that would be received by the Holder in connection with the applicable Change of Control, were the Holder to exercise this Warrant on or prior to the closing thereof, is then traded in a trading market, and (iii) following the closing of the applicable Change of Control, the Holder would not be restricted from publicly re-selling all of the issuer’s shares and/or other securities that would be received by the Holder in such Change of Control were the Holder to exercise this Warrant in full on or prior to the closing of such Change of Control, except to the extent that any such restriction (x) arises solely under federal or state securities laws, rules or regulations and (y) does not extend beyond six (6) months from the closing of such Change of Control.
“Maximum Voting Power” means, at the time of determination, the total number of votes which may be cast by all capital stock on the applicable subject matter subject to the vote of the Common Stock and any other securities that constitute voting stock voting together as a single class and after giving effect to any limitation on voting power set forth in the document governing such voting stock.
“Minimum Price” has the meaning set forth in Section 6.6.
“Misstatement” means an untrue statement of a material fact or an omission to state a material fact required to be stated in a Registration Statement or prospectus, or necessary to make the statements in a prospectus, in the light of the circumstances under which they were made, not misleading.
“NASDAQ” means any national stock exchanges now or hereafter maintained by NASDAQ, including, without limitation, the NASDAQ Global Select Market, the NASDAQ Global Market and the NASDAQ Capital Market.
“Options” means any warrants (including this Warrant) or other rights or options to subscribe for or purchase Common Stock or Convertible Securities.
5
“Person” means an individual or corporation, partnership, trust, incorporated or unincorporated association, joint venture, limited liability company, joint stock company, government (or an agency or subdivision thereof) or other entity of any kind.
“Public Sale” means (i) a sale pursuant to an effective registration statement filed under the Securities Act (other than a registration statement on Form S-4, Form S-8 or any successor or similar forms promulgated for similar purposes), (ii) a “brokers’ transaction” (as defined in Rule 144) or (iii) any offering pursuant to a direct listing of equity securities on a public stock exchange.
“Rights” has the meaning set forth in Section 6.3.
“Sale Consideration” has the meaning set forth in Section 7.
“Securities Act” means the Securities Act of 1933, as amended, or any successor statute, and the rules and regulations promulgated thereunder.
“Shareholder Rights Plan” has the meaning set forth in Section 6.3.
“Shelf” or “Registration Statement” has the meaning set forth in Section 10.1.
“Spin-Off” has the meaning set forth in Section 6.4.
“Subsequent Shelf Registration Statement” has the meaning set forth in Section 10.4.
“Trading Day” means a day on which trading in the Common Stock (or other applicable security) generally occurs on the principal exchange or market on which the Common Stock (or other applicable security) is then listed or traded; provided that if the Common Stock (or other applicable security) is not so listed or traded, “Trading Day” means a Business Day.
1. Exercise of Warrants.
1.1 General Exercise. Subject to Section 1.6, this Warrant may be exercised in whole or in part by the Holder at any time and from time to time on and after the Eligible Exercise Date and on or prior to the close of business on the Expiration Date; provided, however, that, notwithstanding the Eligible Exercise Date, this Warrant shall entitle the Holder to the rights set forth in Section 7 in the event of a Change of Control that occurs before or after the Eligible Exercise Date. Any exercise of this Warrant may be conditioned upon the occurrence of (a) a Public Sale of the Warrant Shares or (b) any event described in Section 8.3(iii). Such conditional exercise shall be deemed revoked if such event or transaction does not occur on the date, or within the dates, specified in the applicable notice provided by or on behalf of the Company pursuant to Section 8 (if such a notice was provided).
1.2 Exercise for Cash. This Warrant may be exercised (a “Cash Exercise”) by delivering this Warrant to the Company at its principal executive office, or at the office of its stock transfer agent, if any, accompanied by (i) the “Purchase Form” attached as Exhibit A hereto duly completed and executed on behalf of the Holder and (ii) a payment to the Company in the amount equal to the Exercise Price multiplied by the number of whole Warrant Shares in respect of which this Warrant is then exercised, plus all taxes required to be paid by the Holder, if any, pursuant to Section 2. This Warrant may not be exercised for a fraction of a Warrant Share.
6
1.3 Exercise by Net Share Settlement. This Warrant may be exercised, in whole or in part (an “Exercise by Net Share Settlement”), into the number of Warrant Shares determined in accordance with this Section 1.3 by delivering this Warrant to the Company at its principal executive office, or at the office of its stock transfer agent, if any, accompanied by (i) the “Notice of Exercise by Net Share Settlement” attached hereto as Exhibit B duly completed and executed on behalf of the Holder and (ii) a payment to the Company for any taxes required to be paid by the Holder, if any, pursuant to Section 2. In the event of an Exercise by Net Share Settlement, the Company shall issue to the Holder a number of Warrant Shares (subject to Section 5) computed using the following formula:

where:
X = the net number of Warrant Shares to be issued to the Holder pursuant to the Exercise by Net Share Settlement;
Y = the gross number of Warrant Shares in respect of which the Exercise by Net Share Settlement is made;
A = the Market Price as of the Exercise Date; and
B = the Exercise Price.
1.4 Issuance of Certificate(s); Authorization. Upon surrender of this Warrant and full compliance with each of the other requirements in Section 1.2, in the case of a Cash Exercise, and Section 1.3, in the case of an Exercise by Net Share Settlement, the Company shall, promptly, and in any event, within two (2) Trading Days, either (i) issue and cause to be delivered a certificate or certificates to the Holder, or upon the written request of the Holder, in and to such name or names as the Holder may designate, a certificate or certificates for the number of Warrant Shares issuable upon the Cash Exercise or the Exercise by Net Share Settlement, as the case may be, or (ii) instruct its transfer agent to register in book entry form and, if such transfer agent is participating in The Depository Trust Company (“DTC”) Fast Automated Securities Transfer Program, credit such aggregate number of Warrant Shares issuable upon the Cash Exercise or the Exercise by Net Share Settlement, as the case may be, to the Holder’s (or, upon the written request of the Holder, to its designee’s or designees’) balance account(s) with DTC through its Deposit / Withdrawal At Custodian System. Such certificate or certificates (or book entry shares) shall not be deemed to have been issued, and any Person so designated to be named therein shall not be deemed to have become or have any rights of a holder of record of such Warrant Shares, until all requirements set forth in Section 1.2, in the case of a Cash Exercise, and Section 1.3, in the case of an Exercise by Net Share Settlement, have been fully met by the Holder. The certificate(s) (or book entry shares) representing the Warrant Shares acquired upon the exercise of this Warrant shall bear the restrictive legend substantially in the form set forth on Exhibit C hereto; provided that, upon the reasonable request of the Holder, at any time, and from time to time, when such legend is no longer required under the Securities Act or applicable state laws, the Company shall promptly remove such legend from any certificate representing the Warrant Shares (or issue one or more new certificates representing such Warrant Shares, which certificate(s) shall not contain a legend). The Company hereby represents and warrants that any shares of Common Stock issued upon the exercise of this Warrant in accordance with the provisions of Sections 1.2 and/or 1.3 will be duly and validly authorized and issued, fully paid and nonassessable and free from all taxes, liens and charges (other than taxes, liens or charges created by the Holder or taxes in respect of any transfer occurring contemporaneously therewith). The Company agrees that the Warrant Shares so issued will be deemed to have been issued to the Holder (and the Holder shall be the beneficial owner thereof) as of the close of business on the date on which this Warrant and payment of the Exercise Price are delivered to the Company in accordance with the terms of this Warrant, notwithstanding that the stock transfer books of the Company may then be closed or certificates representing such Warrant Shares may not be actually delivered on such date.
7
1.5 Full or Partial Exercise. This Warrant shall be exercisable, at the election of the Holder, either in full or in part and, in the event that this Warrant is exercised in respect of fewer than all of the Warrant Shares issuable on such exercise at any time prior to the Expiration Date, the Company shall promptly issue a new certificate evidencing the remaining Warrant or Warrants, in a form substantially identical hereto, in the name of the Holder, and delivered to the Holder or to another Person that the Holder has designated for delivery as soon as practicable, and in any event not exceeding three (3) Business Days from such exercise.
1.6 Restrictions on Exercise. The Holder will not be permitted to exercise the right to purchase Warrant Shares if and to the extent, as a result of such exercise, either (i) such Holder’s, together with such Holder’s Affiliates’, aggregate voting power on any matter that could be voted on by holders of the Common Stock would exceed 19.9% of the Maximum Voting Power or (ii) such Holder, together with such Holder’s Affiliates, would beneficially own more than 19.9% of the then outstanding Common Stock; provided, however, that such exercise restriction shall not apply in connection with and subject to completion of (A) a Public Sale of the Warrant Shares to be issued upon such exercise, (B) a bona fide third party tender offer for the Common Stock issuable thereupon, or (C) a Change of Control if, in the case of each of clauses (A), (B) and (C), such Holder and its Affiliates will not beneficially own in excess of 19.9% of the then outstanding Common Stock following the consummation of such event. For purposes of the foregoing sentence, the number of shares of Common Stock beneficially owned by the Holder and its Affiliates shall include the number of Warrant Shares to be issued with respect to which a Notice of Exercise by Net Share Settlement or Purchase Form has been given and the shares of Common Stock to be issued in connection with the exercise of any other outstanding warrants beneficially owned by such Holder or any of its Affiliates. Upon the written request of the Holder, the Company shall within two (2) Trading Days confirm in writing to the Holder the number of shares of Common Stock then outstanding. The restrictions contained in this paragraph shall automatically terminate upon the consummation of a Change of Control with respect to the surviving Person (if other than the Company).
In no event shall this Warrant be exercised for a number of Warrant Shares that would require shareholder approval pursuant to Nasdaq Rule 5635 (or successor rule) unless such shareholder approval is obtained. The Company covenants that it will not take any action that would result in an adjustment to the Exercise Price or number of Warrant Shares that would require such shareholder approval without first obtaining shareholder approval.
8
1.7 Automatic Cashless Exercise upon Expiration. In the event that, upon the Expiration Date, the Market Price is greater than the Exercise Price in effect on such date, then this Warrant shall automatically be deemed on and as of the Expiration Date to be exercised pursuant to Section 1.3 above as to all Warrant Shares for which it shall not previously have been exercised (the “Automatic Exercise”), and the Company shall take such other actions as required pursuant to Section 1.4 in connection with such Automatic Exercise. Notwithstanding the foregoing, any Automatic Exercise shall be subject to the provisions and limitations set forth in Section 1.6.
2. Payment of Taxes. Issuance of certificates for Warrant Shares shall be made without charge to the Holder for any issue or transfer tax or other incidental expense in respect of the issuance of such certificate, all of which taxes (other than any such taxes in respect of any transfer occurring contemporaneously therewith) and expenses shall be paid by the Company, and such certificates shall be issued in the name of the Holder or in such name or names as may be directed by the Holder; provided, however, that in the event certificates for Warrant Shares are to be issued in a name other than the name of the Holder, this Warrant when surrendered for exercise shall be accompanied by a properly executed assignment form in the form attached as Exhibit D hereto, and the Company may require, as a condition thereto, the payment of a sum sufficient to reimburse it for any transfer tax incidental thereto.
3. Mutilated, Missing or Lost Warrant. In the event that this Warrant shall be mutilated, lost, stolen or destroyed, the Company shall issue and countersign, in exchange and substitution for and upon cancellation of the mutilated Warrant, or in lieu of and substitution for its loss, theft or destruction, a new Warrant with identical terms, representing an equivalent number of Warrant Shares and dated the same date as this Warrant that was mutilated, lost, stolen or destroyed, but only upon receipt of evidence and indemnity or other security reasonably satisfactory to the Company of the loss, theft or destruction of this Warrant; provided, however, that in the event a new Warrant is issued pursuant to this Section 3 in a name other than the name of the Holder on the date the Warrant was mutilated, lost, stolen or destroyed, the Holder shall present to the Company, in addition to the requirements of this Section 3, a properly executed assignment form in the form attached as Exhibit D hereto, and the Company may require, as a condition thereto, the payment of a sum sufficient to reimburse it for any transfer tax incidental thereto.
4. Reservation of Warrant Shares.
4.1 At all times prior to the Expiration Date, the Company shall at all times reserve and keep available out of its authorized but unissued shares of Common Stock, solely for the purpose of issuance upon the exercise of this Warrant, a number of shares of Common Stock equal to the aggregate Warrant Shares issuable upon the exercise of this Warrant. The Company shall take all such actions as may be necessary to assure that all such shares of Common Stock may be so issued without violating the Company’s governing documents, any agreements to which the Company is a party on the date hereof, any requirements of any national securities exchange upon which shares of Common Stock may be listed or any applicable laws. The Company shall not take any action which would cause the number of authorized but unissued shares of Common Stock to be less than the number of such shares required to be reserved hereunder for issuance upon exercise of the Warrants.
9
4.2 The Company covenants that it will take such actions as may be necessary or appropriate in order that all Warrant Shares issued upon exercise of this Warrant will, upon issuance in accordance with the terms of this Warrant, be fully paid and non-assessable, and free from any and all (i) security interests created by or imposed upon the Company and (ii) taxes, liens and charges with respect to the issuance thereof. If at any time prior to the Expiration Date the number and kind of authorized but unissued shares of the Company’s Common Stock shall not be sufficient to permit exercise in full of this Warrant, the Company will as promptly as reasonably practicable take such corporate action as may, in the opinion of its counsel, be reasonably necessary to increase its authorized but unissued shares to such number of shares as shall be sufficient for such purposes. Without limiting the generality of the foregoing, the Company will not increase the stated or par value per share, if any, of the Common Stock above the Exercise Price in effect immediately prior to such increase in stated or par value.
4.3 The Company represents and warrants to the Holders that the issuance of this Warrant and the issuance of shares of Common Stock upon exercise thereof in accordance with the terms hereof will not constitute a breach of, or a default under, any other material agreements to which the Company is a party on the date hereof and that this Warrant constitutes a legal, valid and binding obligation of the Company enforceable against the Company.
5. Fractional Shares. No fractional Warrant Shares, or scrip for any such fractional Warrant Shares, shall be issued upon the exercise of this Warrant. If any fraction of a share of Common Stock would, except for the provisions of this Section 5, be issuable on the exercise of any Warrant, the Holder shall be entitled to receive a cash payment equal to the Market Price of the Common Stock less the Exercise Price for such fractional Warrant Share.
6. Anti-dilution Adjustments and Other Rights. The Exercise Price and number of Warrant Shares issuable upon exercise of this Warrant shall be subject to adjustment from time to time as follows:
6.1 Adjustment to Exercise Price. Upon any adjustment to the number of Warrant Shares for which this Warrant is exercisable pursuant to Sections 6.2, 6.3, 6.4 and 6.5, the Exercise Price shall immediately be adjusted to equal the quotient obtained by dividing (i) the aggregate Exercise Price of the maximum number of Warrant Shares for which this Warrant was exercisable immediately prior to such adjustment by (ii) the number of Warrant Shares for which this Warrant is exercisable immediately after such adjustment (without giving effect to the limitations in Section 1.6); provided, however, that the Exercise Price with respect to the new number of Warrant Shares for which this Warrant is exercisable resulting from any such adjustment shall not be less than the par value per share of Common Stock at such time (which, for the avoidance of doubt, is $0.001 as of the Issue Date).
10
6.2 Changes to Common Stock. If the Company (i) declares, orders, pays or makes a dividend or a distribution on its Common Stock payable in shares of Common Stock (which, for the avoidance of doubt, shall not include any shares of Common Stock issued upon exercise of the Warrants), (ii) splits, subdivides or reclassifies its outstanding Common Stock into a larger number of shares of Common Stock, (iii) combines or reclassifies its outstanding shares of Common Stock into a smaller number of shares of Common Stock or (iv) increases or decreases the number of Common Stock outstanding by reclassification of its shares of Common Stock, then in each case, the number of Warrant Shares for which this Warrant is exercisable will be adjusted based on the following formula:

where:
| NS’ | = | the number of Warrant Shares for which this Warrant is exercisable in effect immediately after such event; |
| NS0 | = | the number of Warrant Shares for which this Warrant is exercisable in effect immediately prior to such event; |
| OS’ | = | the number of shares of Common Stock outstanding immediately after such event; and |
| OS0 | = | the number of shares of Common Stock outstanding immediately prior to such event. |
Such adjustment shall become effective immediately after 9:00 a.m., New York City time, on the Business Day following the date fixed for such determination. The Company will not pay any dividend or make any distribution on shares of Common Stock held in treasury by the Company. If any dividend or distribution of the type described in this Section 6.2 is declared but not so paid or made, the number of Warrant Shares for which this Warrant is exercisable shall again be adjusted to be the number of Warrant Shares for which this Warrant would be exercisable if such dividend or distribution had not been declared.
6.3 Options. If the Company issues to all or substantially all holders of its Common Stock any Options entitling them to subscribe for or purchase shares of Common Stock, subject to the last paragraph of this Section 6.3, at a price per share of Common Stock less than the Market Price per share of Common Stock on the Business Day immediately preceding the date of announcement of such issuance, the number of Warrant Shares for which this Warrant is exercisable will be adjusted based on the following formula:
where:
| NS’ | = | the number of Warrant Shares for which this Warrant is exercisable in effect immediately after such event; |
11
| NS0 | = | the number of Warrant Shares for which this Warrant is exercisable in effect immediately prior to such event; |
| OS0 | = | the number of shares of Common Stock outstanding immediately prior to such event; |
| X | = | the total number of shares of Common Stock issuable pursuant to such Options; and |
| Y | = | the number of shares of Common Stock equal to (i)(A) the total number of shares of Common Stock issuable pursuant to such Options multiplied by (B) the price per share of Common Stock payable to exercise such Options, divided by (ii) the Market Price per share of Common Stock as of the record date. |
Such adjustment shall be successively made whenever any such Options are issued and shall become effective immediately after 9:00 a.m., New York City time, on the Business Day following the date fixed for such determination. The Company shall not issue any such Options in respect of shares of Common Stock held in treasury by the Company. To the extent that shares of Common Stock are not delivered after the expiration of such Options, the number of Warrant Shares for which this Warrant is exercisable shall be readjusted to be the number of Warrant Shares for which this Warrant would be exercisable had the adjustments made upon the issuance of such Options been made on the basis of delivery of only the number of shares of Common Stock actually delivered. If such Options are not so issued, the number of Warrant Shares for which this Warrant is exercisable shall again be adjusted to be the number of Warrant Shares for which this Warrant would be exercisable if such date fixed for the determination of stockholders entitled to receive such Options had not been fixed. No adjustment shall be made pursuant to this Section 6.3 which shall have the effect of decreasing the number of Warrant Shares issuable upon exercise of this Warrant.
In determining whether any Options entitle the Holder to subscribe for or purchase shares of Common Stock at less than such Market Price, and in determining the aggregate price payable to exercise such Options, there shall be taken into account any consideration received by the Company for such Options and any amount payable on exercise thereof, the value of such consideration, if other than cash, to be determined in good faith by the Board of Directors.
In the event the Company adopts or implements a shareholder rights agreement (a “Shareholder Rights Plan”) pursuant to which rights (“Rights”) are distributed to the holders of Common Stock of the Company and such Shareholder Rights Plan provides that each Warrant Share issued upon exercise of this Warrant at any time prior to the distribution of separate certificates representing such Rights will be entitled to receive such Rights, then there shall not be any adjustment to the number of Warrant Shares issuable upon exercise of this Warrant or Exercise Price at any time prior to the distribution of separate certificates representing such Rights. If, however, prior to any exercise, the Rights have separated from the Common Stock, the number of Warrant Shares for which this Warrant is exercisable shall be adjusted at the time of separation as described in this Section 6.3.
12
6.4 Other Distributions. If the Company fixes a record date for the making of any distribution of shares of its Common Stock, other securities, evidences of indebtedness or other assets or property of the Company to all or substantially all holders of the Common Stock, excluding:
| (i) | dividends or distributions and Options referred to in Sections 6.2 or 6.3; and |
| (ii) | dividends or distributions paid exclusively in cash referred to in Section 6.5; |
then the number of Warrant Shares for which this Warrant is exercisable will be adjusted based on the following formula:
where:
| NS’ | = | the number of Warrant Shares for which this Warrant is exercisable in effect immediately after such distribution; |
| NS0 | = | the number of Warrant Shares for which this Warrant is exercisable in effect immediately prior to such distribution; |
| SP0 | = | the Market Price per share of Common Stock on the last Trading Day immediately preceding the first date on which the Common Stock trades regular way without the right to receive such distribution; and |
| FMV | = | a number equal to the quotient obtained by dividing (i) the aggregate fair market value (as determined in good faith by the Board) of all the distributed shares of capital stock, other securities, evidences of indebtedness, assets or property by (ii) the number of shares of Common Stock outstanding on the record date for such distribution. |
Such adjustment shall become effective immediately prior to 9:00 a.m., New York City time, on the Business Day following the date fixed for the determination of stockholders entitled to receive such distribution. Such adjustment shall be made successively whenever such a record date is fixed with respect to a subsequent event.
With respect to an adjustment pursuant to this Section 6.4 where there has been a payment of a dividend or other distribution on the Common Stock of shares of capital stock of any class or series, or similar equity interest, of or relating to a subsidiary or other business unit (a “Spin-Off”), the number of Warrant Shares for which this Warrant is exercisable in effect immediately before 5:00 p.m., New York City time, on the record date fixed for determination of stockholders entitled to receive the distribution will be increased based on the following formula:

13
where:
| NS’ | = | the number of Warrant Shares for which this Warrant is exercisable in effect immediately after such distribution; |
| NS0 | = | the number of Warrant Shares for which this Warrant is exercisable in effect immediately prior to such distribution; |
| FMV0 | = | the average Market Price per share of the capital stock or similar equity interest distributed to holders of Common Stock over the first ten (10) consecutive Trading Days after the effective date of the Spin-Off; and |
| MP0 | = | the average Market Price per share of Common Stock over the first ten (10) consecutive Trading Days after the effective date of the Spin-Off. |
Such adjustment shall occur on the tenth consecutive Trading Day from, and including, the effective date of the Spin-Off. No adjustment shall be made pursuant to this Section 6.4 which shall have the effect of decreasing the number of Warrant Shares issuable upon exercise of this Warrant.
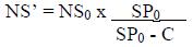
6.5 Cash Dividend. If the Company makes any cash dividend or distribution (excluding any cash distributions in connection with the Company’s liquidation, dissolution or winding up) during any quarterly fiscal period to all or substantially all holders of Common Stock, the number of Warrant Shares for which this Warrant is exercisable will be adjusted based on the following formula:
where:
| NS’ | = | the number of Warrant Shares for which this Warrant is exercisable in effect immediately after the record date for such distribution; |
| NS0 | = | the number of Warrant Shares for which this Warrant is exercisable in effect immediately prior to the record date for such distribution; |
| SP0 | = | the Market Price per share of the Common Stock on the last Trading Day immediately preceding the first date on which the Common Stock trades regular way without the right to receive such distribution; and |
| C | = | the amount in cash per share of Common Stock the Company distributes to holders of Common Stock. |
14
Such adjustment shall become effective immediately after 5:00 p.m., New York City time, on the date for such determination. No adjustment shall be made pursuant to this Section 6.5 which shall have the effect of decreasing the number of Warrant Shares issuable upon exercise of this Warrant.
6.6 Adjustment Upon Issuance of Common Stock. Except in the case of (i) Common Stock issued by the Company in connection with any Excluded Securities and (ii) an event described in either Section 6.2 or Section 6.3, if the Company shall, at any time or from time to time after the Issue Date, issue or sell any shares of Common Stock or is deemed to have issued or sold any shares of Common Stock pursuant to Section 6.6.3, in each case, without consideration or for consideration or having a combined purchase and conversion, exchange or exercise price of less than $1.12 per share of Common Stock (the “Minimum Price”), the number of Warrant Shares for which this Warrant is exercisable will be adjusted based on the following formula:
where:
| NS’ | = | the number of Warrant Shares for which this Warrant is exercisable in effect immediately after such issuance or sale (or deemed issuance or sale); |
| NS0 | = | the number of Warrant Shares for which this Warrant is exercisable in effect immediately prior to such issuance or sale (or deemed issuance or sale); |
| DOS’ | = | the Common Stock Deemed Outstanding as of immediately after such issuance or sale (or deemed issuance or sale); |
| DOS0 | = | the Common Stock Deemed Outstanding as of immediately prior to such issuance or sale (or deemed issuance or sale); and |
| Z | = | the aggregate number of shares of Common Stock which the aggregate amount of consideration, if any, received by the Company upon such issuance or sale (or deemed issuance or sale) would purchase at the Minimum Price. |
For the purposes of any adjustment of the number of shares of Common Stock issuable upon exercise of a Warrant pursuant to this Section 6, the following provisions shall be applicable:
6.6.1 In the case of the issuance or sale of shares of Common Stock, Options or Convertible Securities for cash, the amount of the consideration received by the Company shall be deemed to be the amount of the gross cash proceeds received by the Company for such securities before deducting from such amount any discounts or commissions allowed, paid or incurred by the Company for any underwriting or otherwise in connection with the issuance and sale of such Common Stock, Options or Convertible Securities.
6.6.2 In the case of the issuance or sale of shares of Common Stock, Options or Convertible Securities (other than upon the conversion of stock or other securities of the Company) for consideration in whole or in part other than cash, including securities acquired in exchange for such shares of Common Stock, Options or Convertible Securities (other than securities by their terms so exchangeable), the consideration other than cash shall be deemed to be the fair market value thereof.
15
6.6.3 In the case of the issuance of Convertible Securities or Options (in each case, whether or not at the time so convertible, exchangeable or exercisable): (i) the aggregate maximum number of shares of Common Stock deliverable upon conversion, exchange or exercise of such Convertible Securities or Options shall be deemed to have been issued at the time such Convertible Securities or Options are issued and for consideration equal to the consideration (determined in the manner provided in this Section 6.6), if any, received by the Company upon the issuance or sale of such Convertible Securities or Options plus the minimum purchase price provided in such Convertible Securities or Options for shares of Common Stock issuable upon conversion, exchange or exercise by such Convertible Securities or Options; and (ii) if the number of shares of Common Stock issuable upon exercise of a Warrant shall have been adjusted upon the issuance or sale of any Convertible Securities or Options, no further adjustment of the number of shares of Common Stock issuable upon exercise of a Warrant shall be made for the actual issuance of shares of Common Stock upon the exercise, conversion or exchange of such Convertible Securities or Options.
6.7 No Adjustment if Participating. Notwithstanding the foregoing provisions of this Section 6, no adjustment shall be made thereunder, nor shall an adjustment be made to the ability of a Holder to exercise, for any distribution described therein if the Holder will otherwise participate in the distribution with respect to its Warrant Shares without exercise of this Warrant (without giving effect to any separate exercise of preemptive rights).
6.8 No Adjustment. No adjustment to the Exercise Price or the number of Warrant Shares for which this Warrant is exercisable need be made:
6.8.1 upon the issuance of any shares of Common Stock pursuant to any present or future plan providing for the reinvestment of dividends or interest payable on securities of the Company and the investment of additional optional amounts in shares of Common Stock under any plan;
6.8.2 upon the issuance of any shares of Common Stock or Options to purchase shares of Common Stock pursuant to any present or future employee, director or consultant benefit plan or program of or assumed by the Company or any of its subsidiaries;
6.8.3 upon the issuance of any shares of Common Stock pursuant to any Option, or exercisable, exchangeable or convertible security not described in Section 6.3 and outstanding as of the Issue Date or issued in exchange for (or as a replacement of) any such security outstanding as of the Issue Date; or
6.8.4 for a change in the par value of the Common Stock.
6.9 Calculations. All adjustments made to the Exercise Price pursuant to this Section 6 shall be calculated to the nearest one-ten thousandth of a cent ($0.000001), and all adjustments made to the Warrant Shares issuable upon exercise of each Warrant pursuant to this Section 6 shall be calculated to the nearest one-ten thousandth of a Warrant Share (0.0001). Except as described in this Section 6, the Company will not adjust the Exercise Price and the number of Warrant Shares for which this Warrant is exercisable.
16
No adjustments of the Exercise Price or the number of Warrant Shares issuable upon the exercise of this Warrant that would otherwise be required shall be made unless and until such adjustment either by itself or with other adjustments not previously made increases or decreases by at least 0.1% the Exercise Price or the number of Warrant Shares issuable upon the exercise of this Warrant immediately prior to the making of such adjustment. Any adjustment representing a change of less than such minimum amount shall be carried forward and made as soon as such adjustment, together with other adjustments required by this Section 6 and not previously made, would result in such minimum adjustment.
6.10 Adjustment Event. In any case in which this Section 6 provides that an adjustment shall become effective immediately after (i) a record date or record date for an event, (ii) the date fixed for the determination of stockholders entitled to receive a dividend or distribution pursuant to this Section 6 or (iii) a date fixed for the determination of stockholders entitled to receive Options pursuant to this Section 6 (each, a “Determination Date”), the Company may elect to defer until the occurrence of the applicable Adjustment Event (x) issuing to the Holder of any Warrant exercised after such Determination Date and before the occurrence of such Adjustment Event, the additional shares of Common Stock or other securities issuable upon such exercise by reason of the adjustment required by such Adjustment Event over and above the Common Stock issuable upon such conversion before giving effect to such adjustment and (y) paying to such Holder any amount in cash in lieu of any fraction pursuant to Section 5. For purposes of this Section 6, the term “Adjustment Event” shall mean:
| (A) | in any case referred to in clause (i) hereof, the occurrence of such event; |
| (B) | in any case referred to in clause (ii) hereof, the date any such dividend or distribution is paid or made; and |
| (C) | in any case referred to in clause (iii) hereof, the earlier of the date of expiration or the date of full exercise of such Options. |
6.11 Number of Shares Outstanding. For purposes of this Section 6, the number of shares of Common Stock at any time outstanding shall not include shares held in the treasury of the Company but shall include shares issuable in respect of scrip certificates issued in lieu of fractions of shares of Common Stock. The Company will not pay any dividend or make any distribution on shares of Common Stock held in the treasury of the Company.
6.12 Successive Adjustments. Successive adjustments in the Exercise Price and the number of Warrant Shares for which this Warrant is exercisable shall be made, without duplication, whenever any event specified in this Section 6 shall occur.
6.13 Adjustment for Unspecified Actions. If the Company takes any action affecting the Common Stock, other than any action described in this Section 6, which in the opinion of the Board would materially adversely affect the exercise rights of the Holder, then the Exercise Price for this Warrant and/or the number of Warrant Shares received upon exercise of this Warrant may be adjusted, to the extent permitted by law, in such manner, if any, and at such time as the Board may determine in good faith to be equitable in the circumstances; provided, however, that in no event shall any adjustment have the effect of increasing the Exercise Price or decreasing the number of Warrant Shares for which this Warrant may be exercised.
17
7. Treatment of Warrant Upon a Change of Control. In the event of a Change of Control, whether such Change of Control occurs before or after the Eligible Exercise Date, in which the consideration to be received by all of the Company’s stockholders consists solely of cash, solely of Marketable Securities or a combination of cash and Marketable Securities (a “Cash/Public Acquisition”), which for the avoidance of doubt shall not include a Change of Control in which the consideration to be received by any of the Company’s stockholders consists of consideration other than cash or Marketable Securities, including an equity rollover, the Holder may elect, by giving notice to the Company within fifteen (15) calendar days prior to such Cash/Public Acquisition, to exchange this Warrant for the kind and amount of cash or Marketable Securities payable at the closing of such Cash/Public Acquisition (the “Sale Consideration”) which the Holder would have received with respect to the Warrant Shares issuable upon the exercise of this Warrant if the Holder had exercised this Warrant on a cashless basis immediately prior to the occurrence of such Cash/Public Acquisition, and the Company had issued to such Holder a number of Warrant Shares computed using the following formula:
where:
X = the number of Warrant Shares deemed to have been issued to the Holder;
Y = the number of Warrant Shares purchasable under this Warrant or, if only a portion of the Warrant is being exercised, the portion of the Warrant being cancelled;
A = the amount of Sale Consideration payable per share of Common Stock in the Change of Control, with (i) such amount expressed in U.S. dollars and, if applicable, rounded to the nearest whole cent, and (ii) any non-cash portion of such Sale Consideration valued at the value attributed thereto in the Change of Control; and
B = the lesser of (i) the Exercise Price and (ii) the Black Scholes Adjusted Exercise Price.
Upon the closing of any Change of Control or any other merger, business combination or consolidation involving the Company that does not amount to a Change of Control (in each case, other than a Cash/Public Acquisition), whether such transaction occurs before or after the Eligible Exercise Date, the acquiring, surviving or successor entity shall assume the obligations of this Warrant, and this Warrant shall thereafter be exercisable for the same securities and/or other property as would have been paid for the Warrant Shares issuable upon exercise of the unexercised portion of this Warrant as if such Warrant Shares were outstanding on and as of the closing of such Change of Control or such other transaction, subject to further adjustment from time to time in accordance with the provisions of this Warrant.
18
8. Notices.
8.1 Notices Generally. Except as otherwise expressly provided hereunder, all notices referred to herein shall be in writing and shall be delivered by registered or certified mail, return receipt requested and postage prepaid, or by reputable overnight courier service, charges prepaid, and shall be deemed to have been given when so mailed or sent (i) to the Company, at its principal executive offices and (ii) to the Holder, at the Holder’s address as it appears in the stock records of the Company (unless otherwise indicated by the Holder in writing), and to such other Persons identified in Exhibit E hereto (as may be revised by the Holder in writing).
8.2 Notice of Adjustment. Whenever the Exercise Price or the number of Warrant Shares and other property, if any, issuable upon the exercise of the Warrants is adjusted, as herein provided, the Company shall deliver to the Holder a certificate of its Chief Financial Officer setting forth, in reasonable detail, the event requiring the adjustment and the method by which such adjustment was calculated and specifying the Exercise Price and the number of Warrant Shares issuable upon exercise of the Warrants after giving effect to such adjustment. Notwithstanding the foregoing, if the Holder objects to the Exercise Price and the number of Warrant Shares issuable upon exercise of the Warrants (after giving effect to the proposed adjustment) set forth in the certificate provided by the Company’s Chief Financial Officer, the Company shall promptly obtain a certificate of an Independent Financial Expert appointed for such purpose setting forth the same information and detail as required in the immediately preceding sentence, and such certificate shall be used for the basis to effect the applicable adjustment to the Exercise Price and the number of Warrant Shares issuable upon exercise of the Warrants. The costs and expenses of such Independent Financial Expert shall be paid by the Holder, unless the calculations of the Exercise Price and the number of Warrant Shares issuable upon exercise of the Warrants (after giving effect to the proposed adjustment) set forth in the certificate of the Independent Financial Expert differ by 3% or more from the calculations set forth in the certificate provided by the Company’s Chief Financial Officer, in which case such costs and expenses shall be paid by the Company.
8.3 Notice of Certain Transactions. In the event the Company shall propose to (i) distribute any dividend or other distribution to all holders of its Common Stock or options, warrants or other rights to receive such dividend or distribution, (ii) offer to all holders of its Common Stock Options to subscribe for or to purchase any Convertible Securities or shares of stock of any class or any other securities, rights or options, (iii) effect any capital reorganization, reclassification, consolidation or merger, (iv) effect the voluntary or involuntary dissolution, liquidation or winding-up of the Company or (v) make a tender offer or exchange offer with respect to the Common Stock, the Company shall promptly send to the Holder a notice of such proposed action or offer in accordance with Section 8.1, which shall specify the record date for the purposes of such dividend, distribution or rights, or the date such issuance or event is to take place and the date of participation therein by the holders of Common Stock, if any such date is to be fixed, and shall briefly indicate the effect, if any, of such action on the Common Stock and on the number and kind of any other shares of stock and other property of the Company, if any, and the number of shares of Common Stock and other property, if any, issuable upon exercise of each Warrant and the Exercise Price after giving effect to any such adjustment pursuant to Section 6 which will be required as a result of such action. Such notice shall be given as promptly as possible and, in any case, not less than fourteen (14) days prior to the date of the taking of such action, or participation therein, by the holders of Common Stock.
19
9. Certain Tax Covenants.
9.1 Tax Treatment. In accordance with Section 2.01(d) of the Financing Agreement, the parties hereto agree that (i) the Warrants issued hereunder, the Warrants issued under that certain “Common Stock Purchase Warrant” dated as of June 6, 2025 and the Term Loan A and the Term Loan B issued under the Financing Agreement shall be treated as an “investment unit” within the meaning of Section 1273(c)(2) of the Internal Revenue Code of 1986, as amended (the “Code”), and the Treasury Regulations thereunder, (ii) the issue price of the investment unit will be allocated between the Term Loan A, the Term Loan B and such Warrants based on their relative fair market values on the Effective Date (as defined in the Financing Agreement) for U.S. federal income tax purposes, as determined collectively by the Company and the Required Lenders (as defined in the Financing Agreement) acting in good faith and (iii) no party hereto shall take a position contrary to the foregoing on any tax return unless required by an applicable change in law after the Effective Date or the good faith resolution of a tax audit or other tax proceeding.
9.2 Withholding. Each Holder shall at all times be a “United States person” within the meaning of Section 7701(a)(30) of the Code and agrees to deliver to the Company a duly completed and executed U.S. Internal Revenue Service Form W-9 (or any successor form) with respect to such Holder (i) on or before the Issue Date, (ii) upon reasonable request by the Company and (iii) promptly upon learning that any such tax form previously provided by a Holder has become obsolete. The Company (or the applicable withholding agent) shall be entitled to withhold from any actual or deemed distributions with respect to Warrants or any payment in redemption of Warrants, in each case as determined for applicable tax purposes, any applicable withholding taxes and any such withheld amounts shall be treated as paid to the applicable payee for all purposes of this Warrant.
10. Registration Rights.
10.1 Registration Statement. The Company shall file, within 60 calendar days of the Eligible Exercise Date, a registration statement for a shelf registration on Form S-3 (the “Form S-3 Shelf”), or if the Company is ineligible to use a Form S-3 Shelf, a registration statement for a shelf registration on Form S-1 (the “Form S-1 Shelf” and, together with the Form S-3 Shelf (and any Subsequent Shelf Registration Statement (as defined below)), each, a “Shelf” or “Registration Statement”), in each case, covering the resale of all the Warrant Shares (determined as of two (2) Business Days prior to such filing) on a delayed or continuous basis; provided that the Holder shall have delivered to the Company all reasonably requested information regarding the Holder and its beneficial ownership of Warrant Shares not later than five (5) Business Days prior to the filing of the Registration Statement. The Shelf shall provide for the resale of the Warrant Shares pursuant to any method or combination of methods legally available to, and requested by, the Holder.
10.2 Effectiveness of Registration Statement. The Company shall use its commercially reasonable efforts to cause the Shelf to become effective as soon as practicable after such filing, but no later than the earlier of (i) 45 calendar days after the filing thereof (or, in the event the Commission reviews and has written comments to the Registration Statement, the 90th calendar day following the filing thereof), (ii) the fifth Business Day after the date the Company is notified (orally or in writing, whichever is earlier) by the Commission that the Registration Statement will not be “reviewed” or will not be subject to further review, or (iii) if the day determined under clause (i) or clause (ii) falls on a Saturday, Sunday or other day that the Commission is closed for business, the next Business Day immediately following the day determined under clause (i) or clause (ii) on which the Commission is open for business (the date determined under clause (i), (ii) or (iii), the “Effectiveness Deadline”). The Company shall maintain a Shelf in accordance with the terms of this Agreement, and shall prepare and file with the Commission such amendments, including post-effective amendments, and supplements as may be reasonably necessary to keep such Shelf continuously effective, available for use and in compliance with the provisions of the Securities Act with respect to the Warrant Shares held by a Holder until the earlier of (A) such time as all Warrant Shares issuable to such Holder have been sold, transferred or otherwise disposed of pursuant to a Registration Statement or Rule 144, or (B) such time as all remaining Warrant Shares held by, or issuable to, such Holder may be sold pursuant to Rule 144 without regard to any volume or manner of sale requirement thereunder assuming all Warrants held by the Holder with respect to such Warrant Shares were or will be exercised in accordance with Section 1.3 and all restrictive legends on Warrants and/or Warrant Shares have been removed.
20
10.3 Conversion of Registration Statement. In the event the Company files a Form S-1 Shelf, the Company shall use its commercially reasonable efforts to convert the Form S-1 Shelf (and any Subsequent Shelf Registration Statement) to a Form S-3 Shelf as soon as reasonably practicable after the Company is eligible to use Form S-3.
10.4 Continued Effectiveness. If any Shelf ceases to be effective under the Securities Act for any reason at any time during the period described in Section 10.2 and while there are any Warrants outstanding, the Company shall use its commercially reasonable efforts to as promptly as is reasonably practicable cause such Shelf to again become effective under the Securities Act (including using its commercially reasonable efforts to obtain the prompt withdrawal of any order suspending the effectiveness of such Shelf), and shall use its commercially reasonable efforts to, as promptly as is reasonably practicable, amend such Shelf in a manner reasonably expected to result in the withdrawal of any order suspending the effectiveness of such Shelf or file an additional registration statement as a Shelf (a “Subsequent Shelf Registration Statement”) registering the resale of all Warrant Shares from time to time, and pursuant to any method or combination of methods legally available to, and reasonably requested by, any Holder whose Warrant Shares are included therein. Any such Subsequent Shelf Registration Statement shall be on Form S-3 to the extent that the Company is eligible to use such form. Otherwise, such Subsequent Shelf Registration Statement shall be on another appropriate form.
If a Subsequent Shelf Registration Statement is filed, the Company shall use its commercially reasonable efforts to (i) cause such Subsequent Shelf Registration Statement to become effective under the Securities Act as promptly as is reasonably practicable after the filing thereof and (ii) keep such Subsequent Shelf Registration Statement continuously effective and available for use for the remainder of the period set forth in Section 10.2.
10.5 Notice of Stop Order. The Company shall provide to the Holder prompt written notice of any time that (i) the Securities and Exchange Commission (the “Commission”) has issued a stop order with respect to the Registration Statement, (ii) the Commission otherwise has suspended or withdrawn the effectiveness of the Registration Statement, either temporarily or permanently, or (iii) the Company has suspended or withdrawn the effectiveness of the Registration Statement, either temporarily or permanently. In the event of such notice, the Company shall, at the election of the Holder, which shall be given within five (5) days of receipt of such notice, either (y) rescind any previously submitted (and outstanding) Notice of Exercise and the Company shall return all consideration paid by the Holder for the applicable Warrant Shares upon such rescission or (z) treat the attempted exercise as a cashless exercise as described in Section 1.3 and refund the cash portion of the Exercise Price to the Holder.
21
10.6 Expenses. In connection with any registration pursuant to this Section 10, the Company shall pay any applicable filing fee with respect to the Registration Statement and any Subsequent Shelf Registration Statement, and pay its own direct costs, including the professional fees of its own counsel and independent registered accountants. The Holder shall bear the cost of its own counsel, other advisors and any broker or other intermediary involved in any resale, including all applicable underwriting discounts and commissions, brokers’ commissions and stock transfer taxes, if any, on the Warrant Shares sold by the Holder in any such resale.
10.7 Updating Registration Statement. Upon receipt of written notice from the Company that a Registration Statement or prospectus contains a Misstatement, the Holder shall forthwith discontinue disposition of securities pursuant to such Registration Statement or prospectus until it has received copies of a supplemented or amended prospectus correcting the Misstatement (and the Company covenants to prepare and file such supplement or amendment as soon as reasonably practicable after giving such notice), or until it is advised in writing by the Company that the use of the prospectus may be resumed.
10.8 Adverse Disclosure. If the filing, initial effectiveness or continued use of a Registration Statement in respect of any registration at any time would require the Company to make an Adverse Disclosure or would require the inclusion in such Registration Statement of financial statements that are unavailable to the Company, the Company may, upon giving prompt written notice of such action to the Holder, delay the filing or initial effectiveness of, or suspend use of, such Registration Statement for the shortest period of time, but in no event more than three times or an aggregate of 120 days in any 12-month period, determined in good faith by the Board to be necessary for such purpose. In the event the Company exercises its rights under the preceding sentence, the Holder agrees to suspend, immediately upon its receipt of the notice referred to above, its use of the prospectus relating to such registration in connection with any sale of, or offer to sell, securities pursuant to such Registration Statement or prospectus. The Company shall immediately notify the Holder of the expiration of any period during which it exercised its rights under this Section 10.
10.9 Indemnification. The Company agrees to indemnify and hold harmless the Holder, its officers, managers, directors, trustees, equityholders, beneficiaries, Affiliates, agents and representatives and each Person who controls such Holder (within the meaning of the Securities Act) against all losses, claims, damages, liabilities and expenses (including attorneys’ fees) (or actions in respect thereto) caused by, resulting from, arising out of or based upon (i) any untrue or alleged untrue statement of material fact contained in any Registration Statement, prospectus or preliminary prospectus or similar document incident to any registration, qualification, compliance or sale effected pursuant to this Section 10 or any amendment thereof or supplement thereto, or any omission or alleged omission of a material fact required to be stated therein or necessary to make the statements therein not misleading, or (ii) any violation or alleged violation by the Company of the Securities Act or any other similar federal or state securities laws, and will reimburse, as incurred, the Holder, its officers, managers, directors, trustees, equityholders, beneficiaries, Affiliates, agents and representatives and each Person who controls such Holder (within the meaning of the Securities Act) for any legal and any other expenses reasonably incurred in connection with investigating or defending any such claim, loss, damage, liability or action. Notwithstanding the foregoing, the Company will not be liable in any such case to the extent that any such claim, damage, loss, liability or expense is caused by or arises out of or is based on any untrue statement or omission made in reliance and in conformity with written information furnished to the Company by or on behalf of the Holder expressly for use therein.
22
10.10 Restrictive Legends. The Company shall, upon the Holder’s request, deliver all the necessary documentation to cause the Company’s transfer agent to remove any restrictive legend on the Warrants or Warrant Shares, as promptly as reasonably practicable and no later than two (2) Trading Days after such request, when the Warrants or Warrant Shares are sold pursuant to Rule 144 under the Securities Act or a Registration Statement, in each case in accordance with customary practice and in each case upon receipt by the Company of customary certifications from the Holder and any broker or other intermediary involved in the sale as to Holder’s and such broker’s or intermediary’s compliance with Rule 144 or such Registration Statement. In connection therewith, if required by the Company’s transfer agent, the Company will, at its sole cost and expense, promptly cause an opinion of counsel in customary form to be delivered to and maintained with its transfer agent, together with any other authorizations, certificates and directions required by the transfer agent that authorize and direct the transfer agent to deliver such Warrants or Warrant Shares without any such legend. If restrictive legends are no longer required for the Warrants or Warrant Shares pursuant to the foregoing, the Company shall, reasonably promptly following any request therefor from the Holder accompanied by such customary and reasonably acceptable representations and other documentation referred to above establishing that restrictive legends are no longer required, deliver to the transfer agent irrevocable instructions that the transfer agent shall make a new entry for the securities free of any restrictive legend. The Holder, by acceptance hereof, acknowledges and agrees that the removal of any restrictive legend from any securities as set forth herein is predicated upon the Company’s reliance that the Holder will sell such securities pursuant either to the registration requirements of the Securities Act or an exemption therefrom, and that if such securities are sold pursuant to a Registration Statement, they will be sold when such Registration Statement is effective and available for resales of such securities, in compliance with the plan of distribution set forth therein. The Company and its counsel and transfer agent shall be entitled to rely on the foregoing agreement and/or such certificate of the Holder and any broker or other intermediary involved in such sale in issuing instruction letters and opinions.
11. No Rights as Stockholder until Exercise. Except as otherwise provided herein, this Warrant does not entitle the Holder to any of the rights as a stockholder of the Company prior to the exercise hereof, including, without limitation, the right to receive dividends or other distributions, exercise any rights to vote or to consent or to receive notice as stockholders in respect of the meetings of stockholders or the election of directors of the Company or any other matter. No provision hereof and no mere enumeration herein of the rights or privileges of the Holder shall give rise to any liability of the Holder for the Exercise Price hereunder or as a stockholder of the Company, whether such liability is asserted by the Company or by creditors of the Company.
23
12. Successors and Assigns. Subject to the transfer conditions referred to in the legend on the Warrant, the Warrant and all rights hereunder are transferable, in whole or in part, by the Holder, upon surrender of this Warrant to the Company; provided, however, that the Company may require, as a condition thereto, the payment by the Holder of a sum sufficient to reimburse the Company for any transfer tax incidental thereto; provided, further, that this Warrant may only be transferred to a Person that is a “United States person” as defined in Section 7701(a)(30) of the Code. Upon such compliance, surrender and delivery, the Company shall execute and deliver a new Warrant or Warrants in the name of the assignee or assignees and in the denominations specified in such instrument of assignment, and shall issue to the assignor a new Warrant evidencing the portion of this Warrant, if any, not so assigned and this Warrant shall promptly be cancelled. The terms and provisions of this Warrant shall inure to the benefit of, and be binding upon, the Company and the Holder and their respective successors and permitted assigns.
13. Governing Law. This Warrant shall be governed by and construed in accordance with the laws of the State of Delaware, without giving effect to conflict of law principles.
14. Severability. In the event that one or more of the provisions of this Warrant shall for any reason be held to be invalid, illegal or unenforceable in any respect, such invalidity, illegality or unenforceability shall not affect any other provision of this Warrant, but this Warrant shall be construed as if such invalid, illegal or unenforceable provision had never been contained herein. Furthermore, in lieu of any such invalid or unenforceable term or provision, the parties hereto intend that there shall be added as a part of this Agreement a provision as similar in terms to such invalid or unenforceable provision as may be possible and be valid and enforceable.
15. Change or Waiver. Any term of this Warrant may be changed or waived only by an instrument in writing signed by the party against which enforcement is sought.
16. Headings. The headings in this Warrant are for purposes of reference only and shall not limit or otherwise affect the meaning of any provision of this Warrant.
17. Counterparts. This Warrant may be executed in any number of original or facsimile counterparts and each of such counterparts shall for all purposes be deemed to be an original, and all such counterparts shall together constitute but one and the same instrument.
18. Remedies. The remedies provided in this Warrant shall be cumulative and in addition to all other remedies available under this Warrant, at law or in equity (including a decree of specific performance and/or other injunctive relief), and nothing herein shall limit the right of the parties to pursue actual damages for any failure by the other party to comply with the terms of this Warrant. The parties acknowledge that a breach or threatened breach by it of its obligations hereunder would give rise to irreparable harm to the other party, and monetary damages for any such breach would not be an adequate remedy. The parties therefore agree that, in the event of any such breach or threatened breach, the other party shall be entitled, in addition to all other available remedies, to equitable relief, including an injunction restraining any breach, specific performance, and any other relief that may be available from a court of competent jurisdiction, without the necessity of showing economic loss and without any bond or other security being required. In the event of any dispute between the parties concerning the terms and provisions of this Warrant, the party prevailing in such dispute shall be entitled to collect from the other party all costs incurred in such dispute, including reasonable attorneys’ fees.
24
19. No Inconsistent Agreements. The Company shall not, on or after the date hereof, enter into any agreement with respect to its securities which conflicts with the rights granted to the Holder hereunder. The Company represents and warrants to the Holder that the rights granted hereunder do not in any way conflict with the rights granted to holders of the Company’s securities under any other agreements.
[Signature Page Follows]
25
IN WITNESS WHEREOF, the parties have each caused this Warrant to be duly executed as of the date first written above.
| ACCURAY INCORPORATED | ||
| By: | ||
| Name: | ||
| Title: | ||
[Signature Page to Super Premium Warrant]
| TCW RESCUE FINANCING FUND II LP | ||
| By: | ||
| Name: | ||
| Title: | ||
[Signature Page to Super Premium Warrant]
EXHIBIT A TO
WARRANT
PURCHASE FORM
| To: Accuray Incorporated, a Delaware corporation | Dated: ________, 20 _____ |
The undersigned hereby irrevocably elects to purchase _________ shares of Common Stock of Accuray Incorporated, a Delaware corporation, pursuant to the purchase provisions of Section 1.2 of the attached Warrant and herewith makes payment of $___________, representing the full purchase price for such shares at the price per share provided for in the Warrant.
| Signature: | ||
| Address: | ||
EXHIBIT B TO
WARRANT
NOTICE OF EXERCISE BY NET SHARE SETTLEMENT FORM
| To: Accuray Incorporated, a Delaware corporation | Dated: ________, 20 _____ |
The undersigned hereby irrevocably elects to exchange the Warrant for a total of shares of Common Stock of Accuray Incorporated, a Delaware corporation, pursuant to the Exercise by Net Share Settlement provisions of Section 1.3 of the attached Warrant.
| Signature: | ||
| Address: | ||
EXHIBIT C TO
WARRANT
FORM OF RESTRICTIVE LEGEND
THE SHARES OF COMMON STOCK REPRESENTED BY THIS CERTIFICATE HAVE NOT BEEN REGISTERED UNDER THE SECURITIES ACT OF 1933, AS AMENDED (THE “SECURITIES ACT”), OR ANY STATE OR BLUE SKY SECURITIES LAWS. THESE SHARES OF COMMON STOCK MAY NOT BE SOLD OR TRANSFERRED IN THE ABSENCE OF SUCH REGISTRATION OR AN EXEMPTION THEREFROM UNDER THE SECURITIES ACT OR APPLICABLE STATE SECURITIES OR BLUE SKY LAWS.
EXHIBIT D TO
WARRANT
ASSIGNMENT FORM
FOR VALUE RECEIVED, _____________________ (the “Holder”) hereby sells, assigns and transfers all of the rights of the undersigned under the attached Warrant with respect to the number of shares of stock covered thereby set forth below, unto:
| Name of Assignee | Address | No. of Shares |
(the “Assignee”)
| HOLDER | ||
| Dated: | ||
| Signature: | ||
By signing below, the Assignee acknowledges that it qualifies as an “accredited investor” as defined in Rule 501(a) promulgated under the Securities Act of 1933, as amended.
| ASSIGNEE | ||
| Dated: | ||
| Signature: | ||
EXHIBIT E TO
WARRANT
NOTICE
A copy of all notices provided to the Holder in accordance with the Warrant shall also be provided to the following (provided that delivery of such copy shall not constitute notice):
Milbank LLP
2029 Century Park East, Suite 3300
Los Angeles, CA 90067
E-mail: jtanderson@milbank.com; mgrant@milbank.com
Attention: Jason Anderson; Maya Grant