Athene Annuity & Life Assurance Company of New York RIA III (05/26) NY RIA III (05/26) NY Individual Single Purchase Payment Index-Linked Deferred Separate Account Annuity Contract • Periodic income commencing on Annuity Date. • The values of this contract may be affected by an external index; however, this contract does not directly participate in any stock or equity investments. • Option to change Annuity Date. • Non-Participating. • Free Withdrawal Provision. • After the Withdrawal Charge Period, the Minimum Guaranteed Interest Rate for the Fixed Segment Option is subject to redetermination on each Fixed Segment Start Date. • This Contract contains an Interest Adjustment that may result in both upward and downward adjustments in Withdrawals or surrenders, as applicable. • At least one Fixed Segment Option and one Point-to-Point Buffer Segment Option will always be available. Athene Annuity & Life Assurance Company of New York will make the payments and provide the benefits described in this contract in consideration for the payment by the Owner of the Purchase Payment when due. This is a legal contract between the Owner and Athene Annuity & Life Assurance Company of New York (the “Company”). Contractual benefits and values for Index-Linked Segment Options are variable, may increase or decrease, and are not guaranteed as to a fixed dollar amount. THE INDEX RETURN FOR INDEX-LINKED SEGMENT OPTIONS MAY BE POSITIVE, NEGATIVE OR ZERO AND INVESTMENT IN THIS CONTRACT MAY RESULT IN A LOSS OF PRINCIPAL. IN SOME INSTANCES, THE POTENTIAL INVESTMENT LOSS FOR THIS PRODUCT MAY BE SIGNIFICANTLY GREATER THAN THE POTENTIAL INVESTMENT GAIN. Please read your contract carefully. It includes the provisions both on the pages within and on any riders or endorsements which are attached. If you (the Owner) are not satisfied with your contract, you may return it to the Company or to the financial professional from whom your contract was purchased within 20 days following its receipt, or 60 days in replacement situations, and the Base Contract Value plus the sum of all fees, taxes, and charges will be refunded, and your contract will be cancelled. This is referred to as the “Right to Cancel Period.” The Base Contract Value will be calculated as of the date the contract is actually mailed or delivered. Mike Downing Blaine T. Doerrfeld President Secretary Administrative Office: Home Office: Mail Processing Center 1 Blue Hill Plz Ste 1672 P.O. Box 1555 P.O. Box 1690 Des Moines, IA 50306-1555 Pearl River, NY 10965 (888) 266-8489 (800) 926-7599 /s/ Mike Downing /s/ Blaine T. Doerrfeld


 
Athene Annuity & Life Assurance Company of New York RIA III (05/26) NY Page i RIA III (05/26) NY Table of Contents Contract Schedule ............................................................................................................................ 1 Annuity Tables .................................................................................................................................. 2 1. Definitions ..................................................................................................................................... 4 Administrative Office ................................................................................................................ 4 Annuitant, Joint Annuitant ......................................................................................................... 4 Annuity Date ............................................................................................................................. 4 Beneficiary ............................................................................................................................... 4 Business Day ........................................................................................................................... 4 Company .................................................................................................................................. 4 Contract Anniversary ................................................................................................................ 4 Contract Date ........................................................................................................................... 4 Contract Year ........................................................................................................................... 4 Holding Account ....................................................................................................................... 5 Index or Indices ........................................................................................................................ 5 Owner, Joint Owners ................................................................................................................ 5 Segment Allocation Percentage ............................................................................................... 5 Segment Anniversary ............................................................................................................... 5 Segment Options ..................................................................................................................... 5 Segment End Date ................................................................................................................... 5 Segment Start Date .................................................................................................................. 6 Segment Term Period ............................................................................................................... 6 Segment Year ........................................................................................................................... 6 Strategy Endorsements ............................................................................................................ 6 Withdrawal ............................................................................................................................... 6 2. General Provisions ....................................................................................................................... 6 Annuity Payments .................................................................................................................... 6 Assignment .............................................................................................................................. 7 Change of Annuitant ................................................................................................................. 7 Change of Beneficiary .............................................................................................................. 7 Contract .................................................................................................................................... 7 Conformity with Applicable Laws .............................................................................................. 7


 
Athene Annuity & Life Assurance Company of New York RIA III (05/26) NY Page ii RIA III (05/26) NY Incontestability ......................................................................................................................... 7 Misstatement of Age or Gender ................................................................................................ 8 Ownership ................................................................................................................................ 8 Notices ..................................................................................................................................... 8 Separate Account ..................................................................................................................... 8 Statements ............................................................................................................................... 8 3. Purchase Payment and Contract Value ........................................................................................ 8 Purchase Payment ................................................................................................................... 8 Contract Value .......................................................................................................................... 9 Segment Credits ...................................................................................................................... 9 Segment Allocation................................................................................................................... 9 Base Segment Value Transfers ................................................................................................ 9 4. Interest Adjustment & Equity Adjustment .................................................................................... 10 Interest Adjustment................................................................................................................. 10 Interest Adjustment Factor ..................................................................................................... 10 Equity Adjustment .................................................................................................................. 11 5. Cash Surrender Value and Withdrawals ..................................................................................... 11 Cash Surrender Value ............................................................................................................ 11 Withdrawal Charge ................................................................................................................. 12 Withdrawals, Free Withdrawals .............................................................................................. 12 Required Minimum Distribution Withdrawals .......................................................................... 13 6. Death Provisions ........................................................................................................................ 13 Death Benefit ......................................................................................................................... 13 Beneficiary ............................................................................................................................. 13 Death of an Annuitant prior to the Annuity Date ..................................................................... 14 Death of an Owner prior to the Annuity Date .......................................................................... 14 Death on or after the Annuity Date ......................................................................................... 14 7. Settlement Options ..................................................................................................................... 15 Election of Option ................................................................................................................... 15 Betterment of Rates ............................................................................................................... 15 Settlement Options ................................................................................................................. 15 Option 1: Life Annuity ......................................................................................................... 15 Option 2: Life Annuity with Guaranteed Period .................................................................. 15


 
Athene Annuity & Life Assurance Company of New York RIA III (05/26) NY Page iii RIA III (05/26) NY Option 3: Installment Refund Life Annuity .......................................................................... 16 Option 4: Joint and Last Survivor Annuity .......................................................................... 16 Option 5: Fixed Period Annuity ........................................................................................... 16 8. Termination ................................................................................................................................. 16 For information, or to make a complaint regarding your contract, call: [888-266-8489]


 
Contract Schedule Athene Annuity & Life Assurance Company of New York CS III (05/26) NY Page 1 CS III (05/26) NY Contract Schedule Contract Number: [Specimen] Annuitant: [John Doe] Age: [35] Gender: [Male] [Joint Annuitant: [Jane Doe] Age: [35] Gender: [Female]] Owner: [John Smith] Age: [60] Gender: [Male] [Joint Owner: [Jane Smith] Age: [60] Gender: [Female]] Contract Date: [01/10/2025] Maximum Issue Age: [80] Maximum Annuity Date: [01/10/2085] Purchase Payment: $[10,000.00] Minimum Purchase Payment: $[10,000.00] Misstatement Interest Rate: [1.00%] Withdrawal Charge Rate Schedule Free Withdrawal Percentage Schedule Contract Year Rate Segment Year Percentage 1 8.00% [1 10.00% 2 8.00% 2 10.00% 3 7.00% 3 10.00% 4 6.00% 4 10.00% 5 5.00% 5 10.00% 6 4.00% 6 10.00%] 7+ 0.00% 7+ 100.00% Interest Adjustment Index1 [7 Year Point on the A Rated US Bloomberg Fair Value Curve] 1We will publish the Interest Adjustment Index values on our customer portal ([https://www.athene.com/myathene-login]).


 
Contract Schedule Athene Annuity & Life Assurance Company of New York CS III (05/26) NY Page 2 CS III (05/26) NY Annuity Tables The guaranteed monthly income rates for the Settlement Options are set forth in the tables below and are based on (1) an interest rate of 0.50%, and (2) where lifespan affects the payout, the 2012 ANB IAM Period Table developed by the Society of Actuaries, with gender-specific rates, projected for 14 years using Projection Scale G2 for the first year of annuity income and one additional year of projection for each subsequent year. Specific guaranteed monthly income rates for Options 1, 2, 3, and 5 are set forth in the tables below. We will provide rates for Option 4 upon request; these rates will be based upon items (1) and (2) described immediately above. We may offer guaranteed monthly income rates that are more favorable than those contained in your contract. We will provide rates, upon request, for ages not set forth in the tables below, subject to the age limit implied by the Maximum Annuity Date. Males - Option One, Two and Three Monthly Income Rates per $1,000 Period Certain & Life Age Life 5 Years 10 Years 15 Years 20 Years Installment Refund 60 3.06 3.05 3.03 2.99 2.93 2.64 65 3.60 3.59 3.55 3.47 3.34 3.00 70 4.37 4.34 4.25 4.06 3.77 3.45 75 5.50 5.43 5.18 4.73 4.13 4.05 80 7.25 7.03 6.33 5.32 4.31 4.88 85 10.06 9.30 7.46 5.64 4.37 5.99 90 14.56 12.03 8.17 5.74 4.38 7.52 95 21.11 14.38 8.46 5.76 4.38 9.53 Females - Option One, Two and Three Monthly Income Rates per $1,000 Period Certain & Life Age Life 5 Years 10 Years 15 Years 20 Years Installment Refund 60 2.91 2.91 2.89 2.87 2.82 2.55 65 3.41 3.40 3.37 3.31 3.21 2.88 70 4.09 4.07 4.00 3.87 3.64 3.29 75 5.08 5.03 4.86 4.52 4.03 3.84 80 6.60 6.45 5.95 5.14 4.27 4.57 85 9.00 8.48 7.10 5.56 4.36 5.56 90 12.63 10.97 7.97 5.72 4.38 6.90 95 18.27 13.58 8.39 5.76 4.38 8.78


 
Contract Schedule Athene Annuity & Life Assurance Company of New York CS III (05/26) NY Page 3 CS III (05/26) NY Option Five1 Monthly Income Rates per $1,000 Fixed Period (in years) Monthly Payment 5 16.87 10 8.54 15 5.76 20 4.38 25 3.54 30 2.99 1 Fixed periods shorter than 10 years are only available as a Death Benefit Settlement Option. Endorsements and Riders attached to this Contract: Fixed Strategy Endorsement Point-to-Point Buffer Strategy Endorsement [Performance Blend Buffer Strategy Endorsement] [Trigger Buffer Strategy Endorsement] [Dual Trigger Buffer Strategy Endorsement] [Dual Direction Buffer Strategy Endorsement] [Performance Lock Endorsement] [Confinement Waiver of Withdrawal Charges Endorsement] [Terminal Illness Waiver of Withdrawal Charges Endorsement] [Guaranteed Minimum Death Benefit Endorsement] [IRA Endorsement] [Roth IRA Endorsement] Blaine T. Doerrfeld Secretary /s/ Blaine T. Doerrfeld


 
Athene Annuity & Life Assurance Company of New York RIA III (05/26) NY Page 4 RIA III (05/26) NY 1. Definitions In addition to the terms defined throughout this contract, the following terms have the respective meanings described in this section: Administrative Office Our Administrative Office is shown on the front of this contract. We may change our Administrative Office by notifying you in writing. Annuitant, Joint Annuitant The Annuitant is the natural person designated on the application and named on the Contract Schedule whose life determines the annuity payments made under your contract. A Joint Annuitant is a second natural person designated on the application and named on the Contract Schedule whose life also determines the annuity payments. Unless the context clearly indicates otherwise, if a Joint Annuitant is named, all references to Annuitant shall mean both the Annuitant and the Joint Annuitant. Annuity Date The Annuity Date is the date on which annuity payments will begin. The Maximum Annuity Date is the date shown on the Contract Schedule and is the Contract Anniversary on or first following the later of the Annuitant attaining age 95 and the 10th Contract Anniversary, unless modified by rider or endorsement. In the case of Joint Annuitants, the Maximum Annuity Date will be based on the age of the older Joint Annuitant. You may select an earlier Annuity Date after the Contract Date by providing notice to us. The revised Annuity Date must be at least 10 days after we receive your notice. Beneficiary The Beneficiary is one or more persons or entities designated by the Owner to receive the Death Benefit. Business Day Business Day means any day of the week except for Saturday, Sunday, and U.S. federal holidays where U.S. stock exchanges are closed. Company The Company and “we,” “us,” and “our” refer to Athene Annuity & Life Assurance Company of New York. Contract Anniversary A Contract Anniversary is any 12-month anniversary of the Contract Date. For example, if the Contract Date is January 17, 2026, then the first Contract Anniversary is January 17, 2027. Contract Date The Contract Date is the date your contract is issued as shown on the Contract Schedule. Contract Year A Contract Year is the 12-month period that begins on the Contract Date and each Contract Anniversary. For example, if the Contract Date is January 17, 2026, then the first Contract Year is the 12-month period that includes January 17, 2026, through January 16, 2027.


 
Athene Annuity & Life Assurance Company of New York RIA III (05/26) NY Page 5 RIA III (05/26) NY Holding Account The Holding Account is an account that holds the Purchase Payment until it is allocated to the applicable Segment Options according to the Segment Allocation Percentages selected by the Owner. Interest is credited daily to the Holding Account in accordance with the Holding Account Fixed Interest Rate. The Holding Account Fixed Interest Rate is an annual rate that is shown on the Segment Contract Schedule and is guaranteed not to change. Index or Indices Index or Indices means a benchmark designed to track the performance of a defined portfolio of securities, which is used in the calculation of the Segment Credits for an Index-Linked Segment Option. The Index or Indices for each Index-Linked Segment Option are shown on the Segment Contract Schedule. Owner, Joint Owners Owner means one or more persons or entities designated as owner in the application and named on the Contract Schedule, or their successor. If no owner is named on the application, the Annuitant will be the Owner. If Joint Owners are named, all references to Owner shall mean the Joint Owners. Joint Owners must be spouses. References to “you” and “your” refer to the Owner. Segment Allocation Percentage A Segment Allocation Percentage is the percentage of the Purchase Payment applied to each Segment Option as elected by you. Segment Anniversary A Segment Anniversary is any 12-month anniversary of the Initial Segment Start Date (shown on the Segment Contract Schedule). For example, if the Initial Segment Start Date is January 22, 2026, then the first Segment Anniversary is January 22, 2027. Segment Options A Segment Option is a method for crediting funds to your contract. It includes a Segment Term Period and, if applicable, an Index. There may be several Segments Options available within a Strategy Endorsement. The Segment Options available on the Initial Segment Start Date are shown on the Segment Contract Schedule. You may transfer funds across available Segment Options in accordance with the Base Segment Value Transfers provision of this contract. Segment Options include the following: • Fixed Segment Option, under which Segment Credits are based on a predetermined interest rate; and • Index-Linked Segment Option, under which Segment Credits are based on one or more underlying Indices. Segment End Date A Segment End Date is the last day of a Segment Term Period. The Segment Credit for Index-Linked Segment Options is calculated on the Segment End Date. The Segment End Date coincides with the next Segment Start Date.


 
Athene Annuity & Life Assurance Company of New York RIA III (05/26) NY Page 6 RIA III (05/26) NY Segment Start Date The Segment Start Date is the first date of the Segment Term Period. The day and month on which any Segment Start Date falls will always be the same day and month as the Initial Segment Start Date shown on the Segment Contract Schedule, unless modified by rider or endorsement. Segment Term Period The Segment Term Period for each Segment Option is shown on the Segment Contract Schedule. The Segment Term Period ends on the Segment End Date. Unless otherwise stated in a Strategy Endorsement, upon expiration of each Segment Term Period a new Segment Term Period will begin. Segment Year A Segment Year is the 12-month period that begins on the Initial Segment Start Date (shown on the Segment Contract Schedule) and each Segment Anniversary. For example, if the Initial Segment Start Date is January 22, 2026, then the first Segment Year is the 12-month period that includes January 22, 2026, through January 21, 2027. Strategy Endorsements Strategy Endorsements are separate documents that include additional terms of your contract and are attached to and made part of this contract. Withdrawal Unless otherwise specified, a Withdrawal is the removal of funds from your contract, including a partial withdrawal, a surrender of your contract, payment of a Death Benefit, or the application of the Contract Value to a Settlement Option. A Withdrawal amount is the amount of Contract Value (which includes any applicable Equity Adjustments) withdrawn for such benefits, before the application of Withdrawal Charges and Interest Adjustments, if applicable. 2. General Provisions Annuity Payments Unless the Death Benefit is owed or you have surrendered your contract for the Cash Surrender Value, annuity payments will commence on the Annuity Date. Annuity payments will be paid to you or a payee you designate in accordance with the terms and conditions of the Settlement Option elected by the Owner, or if no Settlement Option is elected, in accordance with the terms and conditions of this Annuity Payments provision. The “Settlement Options” are the methods of distribution described in the Settlement Options section of your contract. We may require proof of the correct age and gender of an Annuitant before making annuity payments. An election of a Settlement Option must be made in writing by the Owner before the Annuity Date and is irrevocable as of the Annuity Date. If a Settlement Option has not been elected prior to the Annuity Date, one of the following two payment provisions will apply: • If there is one living Annuitant on the Annuity Date, the Contract Value will be applied to provide annuity payments for the longer of the lifetime of the Annuitant and five years; or • If there are two living Joint Annuitants on the Annuity Date, the Contract Value will be applied to provide annuity payments in the same monthly amount for the longer of the lifetimes of both Joint Annuitants and five years.


 
Athene Annuity & Life Assurance Company of New York RIA III (05/26) NY Page 7 RIA III (05/26) NY Assignment Unless otherwise restricted for tax-qualification purposes, you may request to assign or transfer your rights under this contract by notifying us. If your contract is assigned, the assignment will take effect on the date the notice was signed, subject to any action taken by us before receipt of that notice. In addition, we assume no responsibility for the validity of an assignment and shall not be liable for any tax consequences you may incur due to the assignment of your contract. Change of Annuitant Before the Annuity Date, you may change the Annuitant by notifying us. A change will take effect as of the date you signed the notice, unless you specify otherwise. The Annuitant may not be changed if this contract is owned by a non-natural person, unless the contract is being continued by a surviving spouse as sole Beneficiary, in which case the surviving spouse Beneficiary will become the Annuitant. The Annuitant cannot be changed on or after the Annuity Date. Change of Beneficiary Before the date the Death Benefit becomes payable, you may change a Beneficiary by notifying us. You may name one or more contingent Beneficiaries. The interest of any named irrevocable Beneficiary cannot be changed without the written consent of that Beneficiary. A change will take effect as of the date you signed the notice, unless you specify otherwise. Any change is subject to payment or other action taken by us before we received the notice. Contract This contract, including the Contract Schedule, the Segment Contract Schedule, the attached application, if any, and any attached endorsements, riders or amendments constitute the entire contract. No one except the President or Secretary of the Company may change or waive any of the terms of this contract. Any change must be in writing and signed by the President or the Secretary of the Company. The Company may not change the terms and conditions of the contract except where the change or amendment is required to conform to applicable New York or federal law. Any such change cannot be effective without prior approval of the New York Department of Financial Services. Prior written consent of the Owner is required if any such change diminishes the rights and/or benefits under this contract in any manner. Conformity with Applicable Laws The benefits and Cash Surrender Value available under your contract will not be less than the minimum benefits required by New York law. If any provision of your contract is determined not to provide the minimum benefits, that provision will be deemed to be amended to conform to or comply with New York law. Notwithstanding any provision in your contract to the contrary, all distributions under your contract must be made in accordance with the applicable requirements of section 72(s) of the Internal Revenue Code, as amended, or section 401(a)(9), as amended, as applicable, and all terms of your contract will be interpreted consistently with the requirements of section 72(s) or section 401(a)(9), as applicable. Incontestability All statements made in the application by, or under the authority of, the applicant are considered representations and not warranties. The validity of your contract will not be contestable.


 
Athene Annuity & Life Assurance Company of New York RIA III (05/26) NY Page 8 RIA III (05/26) NY Misstatement of Age or Gender If the age or gender of an Annuitant has been misstated, the amount we will pay will be that which the Purchase Payment would have purchased if the correct age and gender had been stated. Age will be calculated as the age at the last birthday of that Annuitant. Any underpayments made by us due to a misstatement will be immediately paid in one sum with compounded interest. Any overpayments made by us will be charged against the next succeeding annuity payment or payments with compounded interest. Interest under this provision will be calculated based on the Misstatement Interest Rate shown on the Contract Schedule. Ownership All rights described in your contract may be exercised by you subject to the rights of any assignee of record with us and any irrevocably named Beneficiary. You may change the Owner at any time by notifying us. A change will take effect as of the date you signed the notice, subject to any payment or other action taken by us before we received the notice. We will not be liable for any tax consequences you may incur due to a change of the Owner designation. Notices Unless stated otherwise, a valid notice or request from you to us must be in writing (or other form acceptable to us), reasonably clear and complete, signed by you, and received at our Administrative Office. Separate Account This contract includes a non-unitized separate account, established by the Company under New York law, in which we hold reserves for the Index-Linked Segment Options under the contract. We will maintain assets in the separate account with an aggregate value at least equal to the reserves and other contract liabilities of the separate account. You will not participate in the performance of assets held in the separate account and do not have any direct claim on them. The obligations under this contract are independent of the investment performance of the separate account and are obligations of the Company. The separate account is not registered under the Investment Company Act of 1940. Statements Each Contract Year, the Company will furnish a statement to the Owner reflecting the following information: (1) the beginning and ending dates of the statement period, (2) the Base Contract Value at the beginning and end of the statement period, (3) amounts credited and debited to the Base Contract Value, (4) the Interest Adjustment at the beginning and end of the statement period, (5) the Equity Adjustment at the beginning and end of the statement period, (6) the Cash Surrender Value at the end of the statement period, and (7) the Death Benefit at the end of the statement period. The Owner may request a statement reflecting current contract values at any time. 3. Purchase Payment and Contract Value Purchase Payment The “Purchase Payment” is the amount we receive for your contract, as shown on the Contract Schedule. The Purchase Payment is due on the Contract Date. The minimum amount required to issue your contract is the Minimum Purchase Payment, as shown on the Contract Schedule. Unless we approve otherwise, the maximum Purchase Payment that we will accept for your contract is $1,000,000. No Purchase Payment will be accepted after the Contract Date.


 
Athene Annuity & Life Assurance Company of New York RIA III (05/26) NY Page 9 RIA III (05/26) NY Contract Value Your contract tracks two types of values: (1) the Base Contract Value, which reflects the balance in each Segment Option used in the calculation of Segment Credits, and (2) the Contract Value, which reflects the amount available for Withdrawals and a Performance Lock. The “Base Contract Value” at any time is equal to the sum of the Base Segment Values. Each “Base Segment Value” is determined based on the provisions of the applicable Strategy Endorsement. The “Contract Value” at any time is equal to the sum of the Segment Values. Each “Segment Value” is the sum of the Base Segment Value and any applicable Equity Adjustment for that Segment Option. Segment Credits The dollar amounts we credit to each Segment Option under this contract are called “Segment Credits.” Segment Credits may be positive, negative, or zero. Segment Credits will be calculated for a Segment Option based on the provisions of the applicable Strategy Endorsement. Segment Allocation The Purchase Payment will be credited to the Holding Account on the Contract Date. The Holding Account will be transferred to the Segment Options on the Initial Segment Start Date (shown in the Segment Contract Schedule) based on the Segment Allocation Percentages selected by the Owner. The Segment Allocation Percentages selected for each Segment Option must be a whole percentage ranging from 0% to 100%. The sum of the Segment Allocation Percentages must equal 100%. Base Segment Value Transfers At each Segment End Date that occurs before the Annuity Date, you may elect to transfer some or all of the Base Segment Value from a Segment Option into one or more of your contract’s other Segment Options, subject to any transfer limitations specified in the Strategy Endorsements. Each Segment Option involved in a transfer must be at the end of a Segment Term Period. We will notify you at least 15 days before the Segment End Date of the Cap Rates, Participation Rates, Downside Participation Rates, Trigger Rates, and Annual Interest Rates applicable to available Segment Options for the next Segment Term Period. Cap Rates, Participation Rates, Downside Participation Rates, Trigger Rates, and Annual Interest Rates are defined in the applicable Strategy Endorsements. To elect a transfer, you must notify us at least two Business Days before the Segment End Date on which the transfer is to be made. Your notice must specify the Segment Options to which each transfer is to be made. You must also specify the amount that is to be transferred, either as a total dollar amount or as a whole percentage of the Base Segment Value of the Segment Option from which the funds are being transferred. For any transfer request we receive where the amount to be transferred represents a percentage of a known or unknown value, we will use our best efforts to determine the amount that must be transferred from each Segment Option in order to satisfy the intent of your request.


 
Athene Annuity & Life Assurance Company of New York RIA III (05/26) NY Page 10 RIA III (05/26) NY 4. Interest Adjustment & Equity Adjustment Interest Adjustment The “Interest Adjustment” is a positive or negative adjustment that approximates the change in the value of the fixed income assets purchased in support of the contract. The Interest Adjustment applies only during the Withdrawal Charge Period. On any day during the Withdrawal Charge Period, the Interest Adjustment applicable to a Withdrawal from any Segment Option equals A x (B / C) x D, where: A is the portion of the Segment Value that is subject to a Withdrawal Charge on this date, immediately prior to any Withdrawal; B is the Base Segment Value on this date, immediately prior to any Withdrawal; C is the Segment Value on this date, immediately prior to any Withdrawal; and D is the Interest Adjustment Factor. Interest Adjustment Factor The “Interest Adjustment Factor” for any Index-Linked Segment Option equals (RN/12 – 1) x (1 – C), where: N is the number of complete months remaining before the Segment Term Period expires; R is equal to (1 + A)/(1 + B), where: A is the Beginning Interest Adjustment Index Value, and B is the Closing Interest Adjustment Index Value; and C is equal to D x (1 – E), where: D is the value of certain derivative instruments on the Segment Start Date for the applicable Index-Linked Segment Option; and E is the number of days elapsed from the Segment Start Date to the day we calculate the Interest Adjustment on the Base Segment Value, divided by the number of days in the Segment Term Period. On each Business Day, we calculate the value of the derivative instruments for each Index-Linked Segment Option based on the estimated market value of a set of put and call options as determined by an option pricing formula. Our method of estimating the current value of the derivative instruments is on file with the New York Department of Financial Services. The “Interest Adjustment Factor” for the Fixed Segment Option equals the greater of (RN/12 – 1) and [- (10% - C)], where: N is the number of complete months remaining before the Segment Term Period expires; R is equal to (1 + A)/(1 + B), where:


 
Athene Annuity & Life Assurance Company of New York RIA III (05/26) NY Page 11 RIA III (05/26) NY A is the Beginning Interest Adjustment Index Value; B is the Closing Interest Adjustment Index Value; and C is equal to the applicable Withdrawal Charge rate for that Contract Year. The “Beginning Interest Adjustment Index Value” is equal to the closing yield of the Interest Adjustment Index on the Segment Start Date. The “Closing Interest Adjustment Index Value” is equal to the closing yield of the Interest Adjustment Index on the day we calculate the Interest Adjustment. The Interest Adjustment Index is shown on the Contract Schedule. If a closing yield of the Interest Adjustment Index is not available on any day for which a closing yield is needed, then the closing yield as of the first preceding Business Day for which a closing yield is available will be used. You may obtain the daily yield of the Interest Adjustment Index by contacting us. If the Interest Adjustment Index is discontinued, becomes unavailable for us to use in this contract, or undergoes a substantial change in its calculation methodology, we may substitute another method of determining the values that will be used in calculating the Interest Adjustment. We will inform you of that change at your last known address on file with us. Any substitute index will be submitted for prior approval to the New York Department of Financial Services. Equity Adjustment The “Equity Adjustment” is a positive or negative adjustment that approximates the change in the market value of the derivative instruments purchased in support of the contract. It is used in the calculation of the Segment Value. The Equity Adjustment does not apply to the Fixed Segment Option. On any day, except the Segment End Date, the Equity Adjustment for any Index-Linked Segment Option equals A x B, where: A is the Base Segment Value on this date, immediately prior to any Withdrawal; and B is the Equity Adjustment Factor applicable to that Segment Option. The Equity Adjustment is equal to zero on the Segment End Date. The “Equity Adjustment Factor” for an Index-Linked Segment Option is calculated as described in the applicable Strategy Endorsement. 5. Cash Surrender Value and Withdrawals Cash Surrender Value The “Cash Surrender Value” is the Contract Value adjusted for any applicable Withdrawal Charges, and any applicable Interest Adjustment. On or before the Annuity Date and before the date the Death Benefit becomes payable under this contract, you may surrender your contract for the Cash Surrender Value by making a written request to our Administrative Office. The Company may defer payment upon surrender of this contract for up to six months.


 
Athene Annuity & Life Assurance Company of New York RIA III (05/26) NY Page 12 RIA III (05/26) NY Withdrawal Charge Withdrawals may incur a charge if made during the Contract Years with a corresponding positive rate as shown in the Withdrawal Charge Rate Schedule (that charge, a “Withdrawal Charge”; those Contract Years, the “Withdrawal Charge Period”). The amount of the Withdrawal Charge is the applicable rate from the Withdrawal Charge Rate Schedule multiplied by the Withdrawal amount. The Withdrawal Charge Rate Schedule is set forth in your Contract Schedule. The Withdrawal Charge does not apply to Free Withdrawals (defined in the following provision). Withdrawals, Free Withdrawals On or before the Annuity Date and before the date the Death Benefit becomes payable, you may request a Withdrawal from your contract. The Withdrawal amount, adjusted for any applicable Withdrawal Charges and Interest Adjustment, cannot be greater than the Cash Surrender Value. On and after the Initial Segment Start Date, an Interest Adjustment will be applied to any portion of a surrender or Withdrawal that is subject to a Withdrawal Charge and will be calculated as a separate adjustment that is in addition to any applicable Withdrawal Charge. An Interest Adjustment will not be applied to any portion of a surrender or Withdrawal that is not subject to a Withdrawal Charge. All Withdrawals, including Free Withdrawal amounts, will include any applicable Equity Adjustment. Unless you direct otherwise, all partial Withdrawals will be taken first from the Fixed Segment Option. To the extent there are not enough funds in the Fixed Segment Option to cover the entire Withdrawal, we will deduct the remaining balance from the other Segment Options in which you have funds, beginning with Segment Options that have the shortest Segment Term Period. If you have multiple Segment Options with the same Segment Term Period, we will deduct the remaining balance pro rata across those Segment Options. A “Free Withdrawal” is a Withdrawal amount on which no Withdrawal Charges or Interest Adjustment apply. Free Withdrawals are available beginning on the Initial Segment Start Date. The Free Withdrawal amount available to you in any Segment Year will be equal to the Free Withdrawal Percentage for that Segment Year multiplied by the Contract Value as of the first day of that Segment Year. The Free Withdrawal Percentages are shown on the Contract Schedule. Any unused portion of the Free Withdrawal amount for a Segment Year cannot be carried over to the following Segment Year. If the amount of a Withdrawal in any Segment Year exceeds the Free Withdrawal amount for that Segment Year, the excess Withdrawal will be subject to any applicable Withdrawal Charge and Interest Adjustment. To take a Withdrawal from your contract, you must notify us. The minimum amount that you may request to be withdrawn from your contract at any time is $500. If you request a Withdrawal that causes the Contract Value to be less than $2,000, we will treat your request as a surrender of your contract. We reserve the right to pay Withdrawal amounts directly to you. We may defer payment of any Withdrawals of any type from your contract (except for the payments of Death Benefits, annuity payments, and required minimum distributions under Internal Revenue Code section 401(a)(9)) for up to six months. Interest will be paid on any amount deferred for ten days or more, from the date the documentation necessary to complete the transaction is received by us at a rate at least equal to the rate required by the state of New York.


 
Athene Annuity & Life Assurance Company of New York RIA III (05/26) NY Page 13 RIA III (05/26) NY Required Minimum Distribution Withdrawals This provision applies only if your contract is subject to the minimum distribution requirements under Internal Revenue Code section 401(a)(9), such as if this contract is a contract issued in connection with a qualified plan under section 401(a), a section 403(b) contract, an individual retirement annuity contract under section 408, or a Roth IRA under section 408A. Any Withdrawal of a required minimum distribution under section 401(a)(9) with respect to this contract, as calculated by us, will not be subject to a Withdrawal Charge or Interest Adjustment except as otherwise provided in this section. Any required minimum distribution Withdrawal amount includes and is not in addition to the contract's Free Withdrawal amount. Required minimum distributions will incur a Withdrawal Charge and Interest Adjustment if you previously took a Withdrawal in the same Segment Year to satisfy the required minimum distribution requirement. In this circumstance, you must wait until the next Segment Anniversary to take your required minimum distribution free of a Withdrawal Charge or Interest Adjustment. 6. Death Provisions Death Benefit The “Death Benefit” will be equal to the Contract Value. The Death Benefit will be calculated as of the date of death. Withdrawal Charges and Interest Adjustment will not be applied in determining the Death Benefit payable to the Beneficiary. The Death Benefit must be paid in a manner that complies with the applicable requirements of section 72(s) of the Internal Revenue Code. Before we will pay the Death Benefit, we must receive the following claim information at our Administrative Office in a reasonably clear and complete manner: • proof of death while the contract was in effect; • our claim form properly completed from each Beneficiary, as applicable; and • any other documents required by law. Beneficiary The following rules apply unless otherwise permitted by us in accordance with applicable law: • No Beneficiary has any rights in your contract until they are entitled to the Death Benefit. If the Beneficiary, including an irrevocable Beneficiary, dies before that time, all rights of that Beneficiary will end at their death. • If no Beneficiary has been named or if no Beneficiary is alive at the time the Death Benefit is payable, then the Beneficiary is the estate of the deceased Owner or Annuitant whose death caused the Death Benefit to be payable. If the death of both Joint Annuitants or Joint Owners, if applicable, occurs simultaneously, the estates of both will be the Beneficiary in equal shares. This paragraph does not apply if there is a named Beneficiary and such Beneficiary is an entity. • If you have not designated how the Death Benefit is to be distributed and two or more Beneficiaries are entitled to the Death Benefit, the Death Benefit will be paid to the Beneficiaries in equal shares.


 
Athene Annuity & Life Assurance Company of New York RIA III (05/26) NY Page 14 RIA III (05/26) NY • Unless you notify us otherwise, if you have designated how the Death Benefit is to be distributed and a Beneficiary dies prior to the time such Beneficiary is entitled to the Death Benefit, the portion of the Death Benefit designated to the deceased Beneficiary will be divided among the surviving Beneficiaries and Beneficiaries that are entities on a pro rata basis. In other words, each surviving Beneficiary's or each entity Beneficiary’s interest in the Death Benefit will be divided by the sum of the interests of all such surviving or entity Beneficiaries to determine the percentage each Beneficiary will receive of the deceased Beneficiary's original interest in the Death Benefit. Death of an Annuitant prior to the Annuity Date If the Annuitant is not an Owner and dies prior to the Annuity Date, you may designate a new Annuitant, subject to our underwriting rules then in effect. If no designation is made within 30 days of the death of the Annuitant, the younger of you or any Joint Owner will become the Annuitant. If the Owner is a non-natural person, the death of the Annuitant will be treated as the death of the Owner and a new Annuitant may not be designated. Death of an Owner prior to the Annuity Date If any Owner (or, if the Owner is a non-natural person, any Annuitant) dies prior to the Annuity Date, we will pay the Death Benefit to the Beneficiary. Upon the death of any Joint Owner, where the surviving spouse is the surviving Joint Owner, the surviving Joint Owner will become the sole designated Beneficiary to whom the Death Benefit will be paid, and any other Beneficiary designation on record at the time of the death will be treated as a contingent Beneficiary. If the Beneficiary is a natural person, that Beneficiary may elect for the Death Benefit to be distributed over the life of the Beneficiary, or over a period not extending beyond the life expectancy of the Beneficiary, provided the election is made in accordance with Internal Revenue Code section 72. If the sole Beneficiary is the deceased Owner’s surviving spouse (or, if the Owner is a non-natural person, the deceased Annuitant’s surviving spouse), the surviving spouse may elect to continue the contract as the sole Owner in lieu of receiving the Death Benefit. This provision relating to the surviving spouse can only apply once and cannot apply a second time if the surviving spouse elects to continue the contract, remarries, and then dies. All elections must be made by submitting the appropriate notice to us. Death on or after the Annuity Date If an Owner dies (or an Annuitant dies where the Owner is a non-natural person) on or after the Annuity Date and before the entire interest in this contract has been distributed, any remaining interest in this contract will be distributed under the method of distribution being used on the date of death.


 
Athene Annuity & Life Assurance Company of New York RIA III (05/26) NY Page 15 RIA III (05/26) NY 7. Settlement Options Election of Option On the Annuity Date, the Contract Value will be applied to provide annuity payments to you or a payee you designate in accordance with the applicable Settlement Option elected by the Owner or, if no Settlement Option was elected, in accordance with the Annuity Payments provision. Withdrawal Charges and the Interest Adjustment will not be applied when you elect a Settlement Option and will not be applied to the resulting annuity payments. An election of a Settlement Option must be made in writing by the Owner prior to the Annuity Date and is irrevocable as of the Annuity Date. Additionally, the Beneficiary may elect to receive the Death Benefit under one of the Settlement Options described below, subject to the satisfaction of section 72(s) of the Internal Revenue Code, as amended. Any election of a Settlement Option by a Beneficiary must be made in writing and is irrevocable as of the date payments begin. For purposes of the Settlement Options below, the Beneficiary will be the Annuitant. The amount applied under the Settlement Option must be at least $5,000. If the Contract Value as of the Annuity Date is less than $5,000, the full Contract Value will be paid to you in a lump sum. If a Settlement Option with a Guaranteed Period is elected and provides for installment payments of the same amount at some ages for different guaranteed periods, we will deem an election to have been made for the longest guaranteed period which could have been elected for such age and amount. Payments made quarterly, semiannually, or annually may be elected in lieu of monthly payments. Payments less than $100 will only be made annually. Betterment of Rates On the Annuity Date, annuity payments will not be less than those that would be provided by the application of the Contract Value to purchase any single premium immediate annuity contract offered by us, of the same type as the settlement option elected, to the same class of annuitants. Settlement Options No future payments under any option except as provided by law may be assigned or transferred. In addition to the Settlement Options below, we may provide other options at our discretion: Option 1: Life Annuity Monthly payments will be made during the lifetime of the Annuitant. The monthly payments will cease on the death of the Annuitant. No payments will be due after the death of the Annuitant. Option 2: Life Annuity with Guaranteed Period Monthly payments will be made for the longer of the guaranteed period elected and the lifetime of the Annuitant. The guaranteed periods are 5, 10, 15 or 20 years, or any other period agreed upon in writing by us. After the guaranteed period, payments will cease on the death of the Annuitant, and no payments will be due after the death of the Annuitant. If the Annuitant dies during the guaranteed period, no payments will be due after the guaranteed period.


 
Athene Annuity & Life Assurance Company of New York RIA III (05/26) NY Page 16 RIA III (05/26) NY Option 3: Installment Refund Life Annuity Monthly payments will be made for the Installment Refund Period and thereafter for the lifetime of the Annuitant. The “Installment Refund Period” is the period required for the sum of the payments to equal the total amount applied under this option. After the Installment Refund Period, payments will cease on the death of the Annuitant, and no payments will be due after the death of the Annuitant. If the Annuitant dies during the Installment Refund Period, no payments will be due after the Installment Refund Period. Option 4: Joint and Last Survivor Annuity Monthly payments will be made for the joint lifetime of two Annuitants and in an equal amount during the remaining lifetime of the survivor. Payments will cease, and no further payments will be due, on the death of the last survivor. Payments may also be elected to be made to the survivor in an amount equal to two-thirds or one-half of the payment made during the joint lifetime of the two persons. We will furnish Annuity Settlement Option factors for Option 4 upon request. Option 5: Fixed Period Annuity Monthly payments will be made for the fixed period elected. Payments will cease at the end of the fixed period and no further payments will be due. Any period from 5 to 30 years may be elected; however, fixed periods shorter than 10 years are only available as a Death Benefit Settlement Option. Annuity Settlement Option factors for Options 1, 2, 3, and 5 are shown on the Contract Schedule. 8. Termination Your contract will terminate on the date on which all amounts are paid as required by your contract.


 
Athene Annuity & Life Assurance Company of New York RIA III (05/26) NY RIA III (05/26) NY Individual Single Purchase Payment Index-Linked Deferred Separate Account Annuity Contract Subject to the terms and conditions of your contract, periodic income commencing on the Annuity Date with the option to change the type of Settlement Option payable prior to the Annuity Date. Non- Participating. Free Withdrawal Provision. Administrative Office: Home Office: Mail Processing Center 1 Blue Hill Plz Ste 1672 P.O. Box 1555 P.O. Box 1690 Des Moines, IA 50306-1555 Pearl River, NY 10965 (888) 266-8489 (800) 926-7599


 
Confinement Waiver of Withdrawal Charges Athene Annuity & Life Assurance Company of New York CW III (05/26) NY Page 1 CW III (05/26) NY CONFINEMENT WAIVER OF WITHDRAWAL CHARGES Part of the Contract This endorsement is part of your contract and is subject to all terms and conditions of your contract. Any capitalized terms not defined in this endorsement are defined in the contract. To the extent there are any conflicts between this endorsement and your contract, this endorsement will control. The effective date of this endorsement is the Contract Date. Confinement Waiver After the first Contract Anniversary, but on or before the Annuity Date and before the date the Death Benefit becomes payable under the contract, you may request a Withdrawal up to your Contract Value, if at the time of the request all the following conditions are met: (1) An Owner (or if the Owner is a non-natural person, an Annuitant) is confined to a Qualified Care Facility; (2) The confinement has lasted for at least 60 consecutive days; (3) The confinement began after the Contract Date; (4) The confinement is recommended in writing by a Physician who does not have an ownership interest in, and is not a W-2 employee of, the Qualified Care Facility, unless such an independent Physician cannot reasonably be accessed by the Owner or Annuitant (as applicable); and (5) We receive the Withdrawal request and the Physician's written recommendation of confinement either while the confinement continues or, if confinement has ceased, no later than 90 days following the date the confinement has ceased. Any payment made under this endorsement will not be subject to Withdrawal Charges or Interest Adjustments. “Qualified Care Facility” means a Convalescent Care Facility, Hospice Facility or Hospital, defined as follows: • “Convalescent Care Facility” means an institution that: (1) is licensed by the State as a convalescent nursing facility, a qualified nursing facility, a convalescent hospital, a convalescent unit of a Hospital, an intermediate care facility, or a custodial care facility; (2) is primarily engaged in providing, in addition to room and board, continuous nursing service by or under the supervision of a Physician or a licensed registered nurse (R.N.); (3) maintains a daily patient record available for our review; and (4) administers a planned program of observation and treatment by a Physician in accordance with existing standards of medical practice for confinement. A Convalescent Care Facility does not include a facility, or any part of a facility used primarily for rest care, training or education, or the treatment of alcoholism or chemical dependency. • “Hospice Facility” means an institution that provides a formal inpatient program of care for terminally ill patients with a life expectancy of less than six months, under the direction of a Physician. It must be licensed, certified, or registered in accordance with State law. • “Hospital” means an institution that: (1) is licensed as a hospital and operates under applicable law;


 
Confinement Waiver of Withdrawal Charges Athene Annuity & Life Assurance Company of New York CW III (05/26) NY Page 2 CW III (05/26) NY (2) primarily provides diagnostic and surgical facilities on-site or in other facilities under a prearranged agreement, under the supervision of a staff of one or more duly licensed Physicians, for the medical care and treatment of injured and sick persons on an inpatient basis for a charge; and (3) provides 24-hour nursing service by or under the supervision of a licensed registered nurse (R.N.). A Hospital does not include a facility, or any part of a facility, used primarily for rest care, training or education, or the treatment of alcoholism or chemical dependency. “Physician” means a doctor of medicine or osteopathy who is legally authorized to practice medicine in a State. A Physician cannot be you, an Annuitant, a Beneficiary, or a member of the immediate family of you, an Annuitant, or a Beneficiary. “Immediate family” includes a spouse, domestic partner, civil union partner, child, sibling, parent, grandparent, grandchild, cousin, aunt, uncle, niece, nephew, or any of their spouses, domestic partners, or civil union partners. “State” means each state of the United States of America, the District of Columbia, the Commonwealth of Puerto Rico, the U.S. Virgin Islands, Guam, and American Samoa. Denial of Waiver If we deny a confinement waiver claim, the Withdrawal will not be disbursed until the Owner is notified of the denial and provided the opportunity to accept or reject the Withdrawal proceeds after any Withdrawal Charge and any applicable Interest Adjustment. Termination This endorsement will terminate upon termination of the contract. This endorsement will also terminate upon the change or addition of an Owner (or if the Owner is a non-natural person, upon the change or addition of an Annuitant), except through continuation of the contract by the surviving spouse. Termination of this contract will not prejudice the waiver of any Withdrawal Charges and Interest Adjustments while this endorsement was in force. Blaine T. Doerrfeld Secretary /s/ Blaine T. Doerrfeld


 
Terminal Illness Waiver of Withdrawal Charges Athene Annuity & Life Assurance Company of New York TIW III (05/26) NY Page 1 TIW III (05/26) NY TERMINAL ILLNESS WAIVER OF WITHDRAWAL CHARGES Part of the Contract This endorsement is part of your contract and is subject to all terms and conditions of your contract. Any capitalized terms not defined in this endorsement are defined in the contract. To the extent there are any conflicts between this endorsement and your contract, this endorsement will control. The effective date of this endorsement is the Contract Date. Terminal Illness Waiver After the first Contract Anniversary, but on or before the Annuity Date and before the date the Death Benefit becomes payable under the contract, you may request a Withdrawal up to your Contract Value if at the time of the request all the following conditions are met: (1) An Owner (or if the Owner is a non-natural person, an Annuitant) is diagnosed with a Terminal Illness; (2) The diagnosis was first made after the Contract Date; and (3) The Withdrawal request is accompanied by a written certification of Terminal Illness prepared by a Physician who has examined the affected individual and is qualified to provide the diagnosis. Any payment made under this endorsement will not be subject to Withdrawal Charges or Interest Adjustments. “Terminal Illness” means an illness or injury that, in the opinion of a Physician, is expected to result in death within 12 months. “Physician” means a doctor of medicine or osteopathy who is legally authorized to practice medicine in a State. A Physician cannot be you, an Annuitant, a Beneficiary, or a member of the immediate family of you, an Annuitant, or a Beneficiary. “Immediate family” includes a spouse, domestic partner, civil union partner, child, sibling, parent, grandparent, grandchild, cousin, aunt, uncle, niece, nephew, or any of their spouses, domestic partners, or civil union partners. “State” means each state of the United States of America, the District of Columbia, the Commonwealth of Puerto Rico, the U.S. Virgin Islands, Guam, and American Samoa. Denial of Waiver If we deny a Terminal Illness waiver claim, the Withdrawal will not be disbursed until the Owner is notified of the denial and provided the opportunity to accept or reject the Withdrawal proceeds after any Withdrawal Charge and any applicable Interest Adjustment.


 
Terminal Illness Waiver of Withdrawal Charges Athene Annuity & Life Assurance Company of New York TIW III (05/26) NY Page 2 TIW III (05/26) NY Termination This endorsement will terminate upon termination of the contract. This endorsement will also terminate upon the change or addition of an Owner (or if the Owner is a non-natural person, upon the change or addition of an Annuitant), except through continuation of the contract by the surviving spouse. Termination of this contract shall not prejudice the waiver of any Withdrawal Charges and Interest Adjustments while this endorsement was in force. Blaine T. Doerrfeld Secretary /s/ Blaine T. Doerrfeld


 
Segment Contract Schedule Athene Annuity & Life Assurance Company of New York SCS III (05/26) NY Page [1] SCS III (05/26) NY Segment Contract Schedule Initial Segment Term Period Allocation The Segment Allocation Percentages for the initial Segment Term Period are shown in the table below. Segment Option Buffer Rate Initial Segment Allocation Percentages Performance Lock Available? [[6-Yr Point-to-Point Buffer (SPX)] [10.00]% [0]% [Yes]] [[6-Yr Point-to-Point Buffer (NDX)] [10.00]% [100]% [Yes]] [[6-Yr Point-to-Point Buffer (SPX)] [20.00]% [0]% [Yes]] [[6-Yr Point-to-Point Buffer (NDX)] [20.00]% [0]% [Yes]] [[6-Yr Point-to-Point Buffer (SPX)] [30.00]% [0]% [Yes]] [[6-Yr Point-to-Point Buffer (NDX)] [30.00]% [0]% [Yes]] [[6-Yr Performance Blend Buffer (SPX, RTY, MXEA)] [10.00]% [0]% [Yes]] [[2-Yr Point-to-Point Buffer (SPX)] [10.00]% [0]% [Yes]] [[2-Yr Point-to-Point Buffer (NDX)] [10.00]% [0]% [Yes]] [[2-Yr Point-to-Point Buffer (RTY)] [10.00]% [0]% [Yes]] [[2-Yr Point-to-Point Buffer (MXEA)] [10.00]% [0]% [Yes]] [[2-Yr Point-to-Point Buffer (SPX)] [20.00]% [0]% [Yes]] [[2-Yr Point-to-Point Buffer (NDX)] [20.00]% [0]% [Yes]] [[1-Yr Point-to-Point Buffer (SPX)] [10.00]% [0]% [Yes]] [[1-Yr Point-to-Point Buffer (NDX)] [10.00]% [0]% [Yes]] [[1-Yr Point-to-Point Buffer (RTY)] [10.00]% [0]% [Yes]] [[1-Yr Point-to-Point Buffer (MXEA)] [10.00]% [0]% [Yes]] [[1-Yr Point-to-Point Buffer (SPX)] [20.00]% [0]% [Yes]] [[1-Yr Point-to-Point Buffer (NDX)] [20.00]% [0]% [Yes]] [[6-Yr Dual Direction Buffer (SPX)] [20.00]% [0]% [Yes]] [[6-Yr Dual Trigger Buffer (SPX)] [10.00]% [0]% [Yes]] [[6-Yr Dual Trigger Buffer (SPX)] [20.00]% [0]% [Yes]] [[6-Yr Dual Trigger Buffer (SPX)] [30.00]% [0]% [Yes]] [[1-Yr Dual Trigger Buffer (SPX)] [10.00]% [0]% [Yes]] [[1-Yr Trigger Buffer (SPX)] [10.00]% [0]% [Yes]] [[Fixed] N/A [0]% No]


 
Segment Contract Schedule Athene Annuity & Life Assurance Company of New York SCS III (05/26) NY Page [2] SCS III (05/26) NY Substitution or Discontinuation of an Index If an Index is discontinued or if the calculation of the Index is changed substantially, we will discontinue the Index and substitute a comparable Index for that Index and provide you 30 days’ prior notice of the change at your last known address on file with us. Any substitute Index will be submitted for prior approval to the New York Department of Financial Services. If we discontinue any Index during a Segment Term Period and substitute a similar Index, Segment Credits will be determined as follows: (1) We will determine the Index Change for the Segment Term Period by (i) multiplying together one plus the percentage change in the Index Price of the original Index from the Segment Start Date until the date of the substitution and one plus the percentage change in the Index Price of the substituted Index from the date of the substitution until the Segment End Date, (ii) subtracting one from the result, and then (iii) applying any applicable Cap Rate, Participation Rate, Downside Participation Rate, Trigger Rate, and Buffer Rate. The substituted Index will be incorporated in the Performance Blend Buffer Segment Option, if applicable. (2) The resulting Segment Credit will be added to your Base Segment Value on the scheduled Segment End Date. Addition, Discontinuation, or Suspension of a Segment Option We may add, discontinue, or temporarily suspend any Index-Linked Segment Option at our discretion. If a change is made to an Index-Linked Segment Option, we will notify you of the change. This change will take effect as of the affected Segment Option’s Segment End Date. If you have Base Segment Value in a Segment Option that is discontinued or suspended, the Base Segment Value will remain in that Segment Option until its Segment End Date. After that, the Segment Option will no longer be available. If a Segment Option is no longer available, the Base Segment Value in that option will be automatically transferred to the Fixed Segment Option on the Segment End Date, unless you elect to transfer the Base Segment Value to one or more available Segment Options in accordance with the Base Segment Value Transfers provision of the contract. There will always be at least one Index-Linked Segment Option available. Holding Account Fixed Interest Rate: [3.00%] Initial Segment Start Date: [January] [22], [2026] Fixed Segment Option The Annual Interest Rate for the Fixed Segment Option will not be less than the Minimum Guaranteed Interest Rate. The Initial Minimum Guaranteed Interest Rate established on the Contract Date is guaranteed until the first Fixed Segment Start Date after the Withdrawal Charge Period. After the Withdrawal Charge Period, the Minimum Guaranteed Interest Rate will be redetermined on each Fixed Segment Start Date. Segment Term Period Initial Minimum Guaranteed Interest Rate Initial Annual Interest Rate [1] Year[s] [2.70]% [3.00]%


 
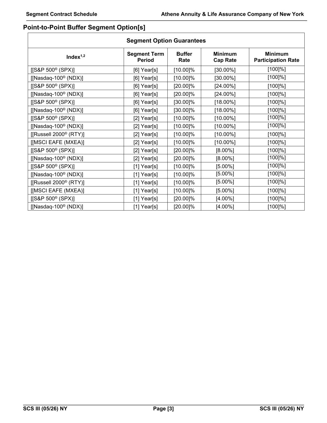
Segment Contract Schedule Athene Annuity & Life Assurance Company of New York SCS III (05/26) NY Page [3] SCS III (05/26) NY Point-to-Point Buffer Segment Option[s] Segment Option Guarantees Index1,2 Segment Term Period Buffer Rate Minimum Cap Rate Minimum Participation Rate [[S&P 500® (SPX)] [6] Year[s] [10.00]% [30.00%] [100]%] [[Nasdaq-100® (NDX)] [6] Year[s] [10.00]% [30.00%] [100]%] [[S&P 500® (SPX)] [6] Year[s] [20.00]% [24.00%] [100]%] [[Nasdaq-100® (NDX)] [6] Year[s] [20.00]% [24.00%] [100]%] [[S&P 500® (SPX)] [6] Year[s] [30.00]% [18.00%] [100]%] [[Nasdaq-100® (NDX)] [6] Year[s] [30.00]% [18.00%] [100]%] [[S&P 500® (SPX)] [2] Year[s] [10.00]% [10.00%] [100]%] [[Nasdaq-100® (NDX)] [2] Year[s] [10.00]% [10.00%] [100]%] [[Russell 2000® (RTY)] [2] Year[s] [10.00]% [10.00%] [100]%] [[MSCI EAFE (MXEA)] [2] Year[s] [10.00]% [10.00%] [100]%] [[S&P 500® (SPX)] [2] Year[s] [20.00]% [8.00%] [100]%] [[Nasdaq-100® (NDX)] [2] Year[s] [20.00]% [8.00%] [100]%] [[S&P 500® (SPX)] [1] Year[s] [10.00]% [5.00%] [100]%] [[Nasdaq-100® (NDX)] [1] Year[s] [10.00]% [5.00%] [100]%] [[Russell 2000® (RTY)] [1] Year[s] [10.00]% [5.00%] [100]%] [[MSCI EAFE (MXEA)] [1] Year[s] [10.00]% [5.00%] [100]%] [[S&P 500® (SPX)] [1] Year[s] [20.00]% [4.00%] [100]%] [[Nasdaq-100® (NDX)] [1] Year[s] [20.00]% [4.00%] [100]%]


 
Segment Contract Schedule Athene Annuity & Life Assurance Company of New York SCS III (05/26) NY Page [4] SCS III (05/26) NY Point-to-Point Buffer Segment Option[s] Continued Initial Segment Term Period Data Index1,2 Segment Term Period Buffer Rate Cap Rate Participation Rate [[S&P 500® (SPX)] [6] Year[s] [10.00]% [N/A] [100]%] [[Nasdaq-100® (NDX)] [6] Year[s] [10.00]% [85.00%] [100]%] [[S&P 500® (SPX)] [6] Year[s] [20.00]% [80.00%] [100]%] [[Nasdaq-100® (NDX)] [6] Year[s] [20.00]% [70.00%] [100]%] [[S&P 500® (SPX)] [6] Year[s] [30.00]% [52.00%] [100]%] [[Nasdaq-100® (NDX)] [6] Year[s] [30.00]% [42.00%] [100]%] [[S&P 500® (SPX)] [2] Year[s] [10.00]% [35.00%] [100]%] [[Nasdaq-100® (NDX)] [2] Year[s] [10.00]% [32.50%] [100]%] [[Russell 2000® (RTY)] [2] Year[s] [10.00]% [55.00%] [100]%] [[MSCI EAFE (MXEA)] [2] Year[s] [10.00]% [N/A] [100]%] [[S&P 500® (SPX)] [2] Year[s] [20.00]% [23.00%] [100]%] [[Nasdaq-100® (NDX)] [2] Year[s] [20.00]% [21.00%] [100]%] [[S&P 500® (SPX)] [1] Year[s] [10.00]% [15.00%] [100]%] [[Nasdaq-100® (NDX)] [1] Year[s] [10.00]% [17.00%] [100]%] [[Russell 2000® (RTY)] [1] Year[s] [10.00]% [22.50%] [100]%] [[MSCI EAFE (MXEA)] [1] Year[s] [10.00]% [16.25%] [100]%] [[S&P 500® (SPX)] [1] Year[s] [20.00]% [10.50%] [100]%] [[Nasdaq-100® (NDX)] [1] Year[s] [20.00]% [12.50%] [100]%]


 
Segment Contract Schedule Athene Annuity & Life Assurance Company of New York SCS III (05/26) NY Page [5] SCS III (05/26) NY Trigger Buffer Segment Option[s] Segment Option Guarantees Index1,2 Segment Term Period Buffer Rate Minimum Trigger Rate [S&P 500® (SPX)] [1] Year[s] [10.00]% [5.00]% Initial Segment Term Period Data Index1,2 Segment Term Period Buffer Rate Trigger Rate [S&P 500® (SPX)] [1] Year[s] [10.00]% [9.75]%


 
Segment Contract Schedule Athene Annuity & Life Assurance Company of New York SCS III (05/26) NY Page [6] SCS III (05/26) NY Dual Trigger Buffer Segment Option[s] Segment Option Guarantees Index1,2 Segment Term Period Buffer Rate Minimum Trigger Rate [S&P 500® (SPX)] [6] Year[s] [10.00]% [30.00]% [S&P 500® (SPX)] [6] Year[s] [20.00]% [24.00]% [S&P 500® (SPX)] [6] Year[s] [30.00]% [18.00]% [S&P 500® (SPX)] [1] Year[s] [10.00]% [5.00]% Initial Segment Term Period Data Index1,2 Segment Term Period Buffer Rate Trigger Rate [S&P 500® (SPX)] [6] Year[s] [10.00]% [46.00]% [S&P 500® (SPX)] [6] Year[s] [20.00]% [35.00]% [S&P 500® (SPX)] [6] Year[s] [30.00]% [40.00]% [S&P 500® (SPX)] [1] Year[s] [10.00]% [8.25]%


 
Segment Contract Schedule Athene Annuity & Life Assurance Company of New York SCS III (05/26) NY Page [7] SCS III (05/26) NY Dual Direction Buffer Segment Option[s] Segment Option Guarantees Index1,2 Segment Term Period Buffer Rate Minimum Cap Rate Minimum Participation Rate Minimum Downside Participation Rate [S&P 500® (SPX)] [6] Year[s] [20.00]% [24.00%] [100]% [100]% Initial Segment Term Period Data Index1,2 Segment Term Period Buffer Rate Cap Rate Participation Rate Downside Participation Rate [S&P 500® (SPX)] [6] Year[s] [20.00]% [65.00%] [100]% [100]%


 
Segment Contract Schedule Athene Annuity & Life Assurance Company of New York SCS III (05/26) NY Page [8] SCS III (05/26) NY Performance Blend Buffer Segment Option[s] Segment Option Guarantees Index1,2 Index Allocation Percentage Segment Term Period Buffer Rate Minimum Cap Rate Minimum Participation Rate Index X: [S&P 500® (SPX)] Index Y: [Russell 2000® (RTY)] Index Z: [MSCI EAFE (MXEA)] Allocation 1 [50%] Allocation 2 [30%] Allocation 3 [20%] [6] Year[s] [10.00]% [30.00%] [100]% Initial Segment Term Period Data Index1,2 Index Allocation Percentage Segment Term Period Buffer Rate Cap Rate Participation Rate Index X: [S&P 500® (SPX)] Index Y: [Russell 2000® (RTY)] Index Z: [MSCI EAFE (MXEA)] Allocation 1 [50%] Allocation 2 [30%] Allocation 3 [20%] [6] Year[s] [10.00]% [65.00%] [100]% 1Index-linked returns do not include the portion of returns generated by the underlying Index that come from dividends. 2The elements used in determining the crediting rates for the Segment Option are not guaranteed and can be changed by us, subject to guarantees in the contract, and any such changes can affect Segment Credits.


 
Segment Contract Schedule Athene Annuity & Life Assurance Company of New York SCS III (05/26) NY Page [9] SCS III (05/26) NY [S&P 500® Price Return Index The S&P 500® Index (the “Index”) is a product of S&P Dow Jones Indices LLC or its affiliates (“SPDJI”) and has been licensed for use by Athene Annuity & Life Assurance Company of New York (“Athene”). S&P®, S&P 500®, SPX®, US 500®, The 500®, iBoxx®, iTraxx® and CDX® are trademarks of S&P Global, Inc. or its affiliates (“S&P”); Dow Jones® is a registered trademark of Dow Jones Trademark Holdings LLC (“Dow Jones”). Athene’s products are not sponsored, endorsed, sold or promoted by SPDJI, Dow Jones, S&P or any of their respective affiliates (collectively, “S&P Dow Jones Indices”). S&P Dow Jones Indices does not make any representation or warranty, express or implied, to the owners of Athene’s products or any member of the public regarding the advisability of investing in securities generally or in Athene’s products particularly or the ability of the Index to track general market performance. Past performance of an index is not an indication or guarantee of future results. S&P Dow Jones Indices’ only relationship to Athene with respect to the Index is the licensing of the Index and certain trademarks, service marks and/or trade names of S&P Dow Jones Indices and/or its licensors. The Index is determined, composed and calculated by S&P Dow Jones Indices without regard to Athene or Athene’s products. S&P Dow Jones Indices has no obligation to take the needs of Athene or the owners of Athene’s products into consideration in determining, composing or calculating the Index. S&P Dow Jones Indices has no obligation or liability in connection with the administration, marketing or trading of Athene’s products. There is no assurance that investment products based on the Index will accurately track index performance or provide positive investment returns. S&P Dow Jones Indices LLC is not an investment adviser, commodity trading advisor, commodity pool operator, broker dealer, fiduciary, “promoter” (as defined in the Investment Company Act of 1940, as amended), “expert” as enumerated within 15 U.S.C. § 77k(a) or tax advisor. Inclusion of a security, commodity, crypto currency or other asset within an index is not a recommendation by S&P Dow Jones Indices to buy, sell, or hold such security, commodity, crypto currency or other asset, nor is it considered to be investment advice or commodity trading advice. NEITHER S&P DOW JONES INDICES NOR THIRD PARTY LICENSOR GUARANTEES THE ADEQUACY, ACCURACY, TIMELINESS AND/OR THE COMPLETENESS OF THE INDEX OR ANY DATA RELATED THERETO OR ANY COMMUNICATION, INCLUDING BUT NOT LIMITED TO, ORAL OR WRITTEN COMMUNICATION (INCLUDING ELECTRONIC COMMUNICATIONS) WITH RESPECT THERETO. S&P DOW JONES INDICES SHALL NOT BE SUBJECT TO ANY DAMAGES OR LIABILITY FOR ANY ERRORS, OMISSIONS, OR DELAYS THEREIN. S&P DOW JONES INDICES MAKES NO EXPRESS OR IMPLIED WARRANTIES, AND EXPRESSLY DISCLAIMS ALL WARRANTIES, OF MERCHANTABILITY OR FITNESS FOR A PARTICULAR PURPOSE OR USE OR AS TO RESULTS TO BE OBTAINED BY ATHENE, OWNERS OF ATHENE’S PRODUCTS, OR ANY OTHER PERSON OR ENTITY FROM THE USE OF THE INDEX OR WITH RESPECT TO ANY DATA RELATED THERETO. WITHOUT LIMITING ANY OF THE FOREGOING, IN NO EVENT WHATSOEVER SHALL S&P DOW JONES INDICES BE LIABLE FOR ANY INDIRECT, SPECIAL, INCIDENTAL, PUNITIVE, OR CONSEQUENTIAL DAMAGES INCLUDING BUT NOT LIMITED TO, LOSS OF PROFITS, TRADING LOSSES, LOST TIME OR GOODWILL, EVEN IF THEY HAVE BEEN ADVISED OF THE POSSIBILITY OF SUCH DAMAGES, WHETHER IN CONTRACT, TORT, STRICT LIABILITY, OR OTHERWISE. S&P DOW JONES INDICES HAS NOT REVIEWED, PREPARED AND/OR CERTIFIED ANY PORTION OF, NOR DOES S&P DOW JONES INDICES HAVE ANY CONTROL OVER, THE ATHENE PRODUCT REGISTRATION STATEMENT, PROSPECTUS OR OTHER OFFERING MATERIALS. THERE ARE NO THIRD-PARTY BENEFICIARIES OF ANY AGREEMENTS OR ARRANGEMENTS BETWEEN S&P DOW JONES INDICES AND ATHENE, OTHER THAN THE LICENSORS OF S&P DOW JONES INDICES.]


 
Segment Contract Schedule Athene Annuity & Life Assurance Company of New York SCS III (05/26) NY Page [10] SCS III (05/26) NY [Russell 2000® Price Return Index Athene annuity products (the “Products”) have been developed solely by Athene Annuity & Life Assurance Company of New York. The Products are not in any way connected to or sponsored, endorsed, sold or promoted by the London Stock Exchange Group plc and its group undertakings (collectively, the “LSE Group”). FTSE Russell is a trading name of certain of the LSE Group companies. All rights in the Russell 2000 Index (the “Index”) vest in the relevant LSE Group company which owns the Index. “Russell®” and “Russell 2000®” are trademarks of the relevant LSE Group company and are used by any other LSE Group company under license. The Index is calculated by or on behalf of FTSE International Limited or its affiliate, agent or partner. The LSE Group does not accept any liability whatsoever to any person arising out of (a) the use of, reliance on or any error in the Index or (b) investment in or operation of the Products. The LSE Group makes no claim, prediction, warranty or representation either as to the results to be obtained from the Products or the suitability of the Index for the purpose to which it is being put by Athene Annuity & Life Assurance Company of New York.] [MSCI EAFE Price Return Index THIS PRODUCT IS NOT SPONSORED, ENDORSED, SOLD OR PROMOTED BY MSCI INC. (“MSCI”), ANY OF ITS AFFILIATES, ANY OF ITS INFORMATION PROVIDERS OR ANY OTHER THIRD PARTY INVOLVED IN, OR RELATED TO, COMPILING, COMPUTING OR CREATING ANY MSCI INDEX (COLLECTIVELY, THE “MSCI PARTIES”). THE MSCI INDEXES ARE THE EXCLUSIVE PROPERTY OF MSCI. MSCI AND THE MSCI INDEX NAMES ARE SERVICE MARK(S) OF MSCI OR ITS AFFILIATES AND HAVE BEEN LICENSED FOR USE FOR CERTAIN PURPOSES BY ATHENE ANNUITY & LIFE ASSURANCE COMPANY OF NEW YORK. NONE OF THE MSCI PARTIES MAKES ANY REPRESENTATION OR WARRANTY, EXPRESS OR IMPLIED, TO THE ISSUER OR OWNERS OF THIS PRODUCT OR ANY OTHER PERSON OR ENTITY REGARDING THE ADVISABILITY OF INVESTING IN PRODUCTS GENERALLY OR IN THIS PRODUCT PARTICULARLY OR THE ABILITY OF ANY MSCI INDEX TO TRACK CORRESPONDING STOCK MARKET PERFORMANCE. MSCI OR ITS AFFILIATES ARE THE LICENSORS OF CERTAIN TRADEMARKS, SERVICE MARKS AND TRADE NAMES AND OF THE MSCI INDEXES WHICH ARE DETERMINED, COMPOSED AND CALCULATED BY MSCI WITHOUT REGARD TO THIS PRODUCT OR THE ISSUER OR OWNERS OF THIS PRODUCT OR ANY OTHER PERSON OR ENTITY. NONE OF THE MSCI PARTIES HAS ANY OBLIGATION TO TAKE THE NEEDS OF THE ISSUER OR OWNERS OF THIS PRODUCT OR ANY OTHER PERSON OR ENTITY INTO CONSIDERATION IN DETERMINING, COMPOSING OR CALCULATING THE MSCI INDEXES. NONE OF THE MSCI PARTIES IS RESPONSIBLE FOR OR HAS PARTICIPATED IN THE DETERMINATION OF THE TIMING OF, PRICES AT, OR QUANTITIES OF THIS PRODUCT TO BE ISSUED OR IN THE DETERMINATION OR CALCULATION OF THE EQUATION BY OR THE CONSIDERATION INTO WHICH THIS PRODUCT IS REDEEMABLE. FURTHER, NONE OF THE MSCI PARTIES HAS ANY OBLIGATION OR LIABILITY TO THE ISSUER OR OWNERS OF THIS PRODUCT OR ANY OTHER PERSON OR ENTITY IN CONNECTION WITH THE ADMINISTRATION, MARKETING OR OFFERING OF THIS PRODUCT. ALTHOUGH MSCI SHALL OBTAIN INFORMATION FOR INCLUSION IN OR FOR USE IN THE CALCULATION OF THE MSCI INDEXES FROM SOURCES THAT MSCI CONSIDERS RELIABLE, NONE OF THE MSCI PARTIES WARRANTS OR GUARANTEES THE ORIGINALITY, ACCURACY AND/OR THE COMPLETENESS OF ANY MSCI INDEX OR ANY DATA INCLUDED THEREIN. NONE OF THE MSCI PARTIES MAKES ANY WARRANTY, EXPRESS OR IMPLIED, AS TO RESULTS TO BE OBTAINED BY THE ISSUER OF THE PRODUCT, OWNERS OF THE PRODUCT, OR ANY OTHER PERSON OR ENTITY, FROM THE USE OF ANY MSCI INDEX OR ANY DATA INCLUDED THEREIN. NONE OF THE MSCI PARTIES SHALL HAVE ANY LIABILITY FOR ANY ERRORS, OMISSIONS OR INTERRUPTIONS OF OR IN CONNECTION WITH ANY MSCI INDEX OR ANY DATA INCLUDED THEREIN. FURTHER, NONE OF THE MSCI PARTIES MAKES ANY EXPRESS OR IMPLIED WARRANTIES OF ANY KIND, AND THE MSCI PARTIES HEREBY EXPRESSLY DISCLAIM ALL WARRANTIES OF MERCHANTABILITY AND FITNESS FOR A PARTICULAR PURPOSE, WITH RESPECT TO EACH MSCI INDEX AND ANY DATA INCLUDED THEREIN. WITHOUT LIMITING ANY OF THE FOREGOING, IN NO EVENT SHALL ANY OF THE MSCI PARTIES HAVE ANY LIABILITY FOR ANY DIRECT, INDIRECT, SPECIAL, PUNITIVE, CONSEQUENTIAL OR ANY OTHER DAMAGES (INCLUDING LOST PROFITS) EVEN IF NOTIFIED OF THE POSSIBILITY OF SUCH DAMAGES.


 
Segment Contract Schedule Athene Annuity & Life Assurance Company of New York SCS III (05/26) NY Page [11] SCS III (05/26) NY No purchaser, seller or holder of this product, or any other person or entity, should use or refer to any MSCI trade name, trademark or service mark to sponsor, endorse, market or promote this product without first contacting MSCI to determine whether MSCI’s permission is required. Under no circumstances may any person or entity claim any affiliation with MSCI without the prior written permission of MSCI.] [Nasdaq-100® Price Return Index The Product(s) is not sponsored, endorsed, sold or promoted by Nasdaq, Inc. or its affiliates (Nasdaq, with its affiliates, are referred to as the “Corporations”). The Corporations have not passed on the legality or suitability of, or the accuracy or adequacy of descriptions and disclosures relating to, the Product(s). The Corporations make no representation or warranty, express or implied to the owners of the Product(s) or any member of the public regarding the advisability of investing in securities generally or in the Product(s) particularly, or the ability of the Nasdaq-100® Index to track general stock market performance. The Corporations' only relationship to Athene Annuity & Life Assurance Company of New York (“Licensee”) is in the licensing of the Nasdaq®, Nasdaq-100®, and Nasdaq-100® Index, and certain trade names of the Corporations and the use of the Nasdaq-100® Index which is determined, composed and calculated by Nasdaq without regard to Licensee or the Product(s). Nasdaq has no obligation to take the needs of the Licensee or the owners of the Product(s) into consideration in determining, composing or calculating the Nasdaq-100® Index. The Corporations are not responsible for and have not participated in the determination of the timing of, prices at, or quantities of the Product(s) to be issued or in the determination or calculation of the equation by which the Product(s) is to be converted into cash. The Corporations have no liability in connection with the administration, marketing or trading of the Product(s). THE CORPORATIONS DO NOT GUARANTEE THE ACCURACY AND/OR UNINTERRUPTED CALCULATION OF NASDAQ-100® INDEX OR ANY DATA INCLUDED THEREIN. THE CORPORATIONS MAKE NO WARRANTY, EXPRESS OR IMPLIED, AS TO RESULTS TO BE OBTAINED BY LICENSEE, OWNERS OF THE PRODUCT(S) OR ANY OTHER PERSON OR ENTITY FROM THE USE OF THE NASDAQ-100® INDEX OR ANY DATA INCLUDED THEREIN. THE CORPORATIONS MAKE NO EXPRESS OR IMPLIED WARRANTIES, AND EXPRESSLY DISCLAIM ALL WARRANTIES OF MERCHANTABILITY OR FITNESS FOR A PARTICULAR PURPOSE OR USE WITH RESPECT TO THE NASDAQ-100® INDEX OR ANY DATA INCLUDED THEREIN. WITHOUT LIMITING ANY OF THE FOREGOING, IN NO EVENT SHALL THE CORPORATIONS HAVE ANY LIABILITY FOR ANY LOST PROFITS OR SPECIAL, INCIDENTAL, PUNITIVE, INDIRECT, OR CONSEQUENTIAL DAMAGES, EVEN IF NOTIFIED OF THE POSSIBILITY OF SUCH DAMAGES.]


 
Fixed Strategy Endorsement Athene Annuity & Life Assurance Company of New York Fixed III (05/26) NY Page 1 Fixed III (05/26) NY Fixed Strategy Endorsement General Endorsement Provisions Fixed Segment Option This endorsement establishes the “Fixed Segment Option” for your contract. The components of the Fixed Strategy are shown on the Segment Contract Schedule. Part of the Contract This endorsement is part of your contract and is subject to all terms and conditions of your contract. Any capitalized terms not defined in this endorsement are defined in the contract. To the extent there are any conflicts between this endorsement and your contract, this endorsement will control. The effective date of this endorsement is the Contract Date. Segment Value Base Segment Value The Base Segment Value for the Fixed Segment Option on the Initial Segment Start Date is the amount of the Holding Account allocated to that Segment Option. On any other date, the Base Segment Value for the Fixed Segment Option is equal to A + B + C – D – E, where: A is the Base Segment Value as of the previous day; B is the amount of Segment Credits that are credited to the Fixed Segment Option on this date; C is any amount transferred from your contract’s other Segment Options to the Fixed Segment Option on this date; D is any amount transferred from the Fixed Segment Option to your contract’s other Segment Options on this date; and E is any Withdrawals deducted on this date from the Fixed Segment Option. Segment Value The Segment Value for the Fixed Segment Option on any date is equal to the Base Segment Value on that date.


 
Fixed Strategy Endorsement Athene Annuity & Life Assurance Company of New York Fixed III (05/26) NY Page 2 Fixed III (05/26) NY Segment Credits Segment Credits are credited to the Fixed Segment Option daily in a compounding fashion at an annual interest rate based on a 365-day year (the “Annual Interest Rate”). The initial Annual Interest Rate is guaranteed for the initial Segment Term Period only. The initial Annual Interest Rate and the Segment Term Period are shown on the Segment Contract Schedule. At the end of the initial Segment Term Period and any subsequent Segment Term Periods, we will declare a renewal Annual Interest Rate. The initial Annual Interest Rate and any renewal Annual Interest Rate declared during the Withdrawal Charge Period will not be less than the Initial Minimum Guaranteed Interest Rate shown on the Segment Contract Schedule. The Initial Minimum Guaranteed Interest Rate is guaranteed until the first Fixed Segment Start Date after the Withdrawal Charge Period. After the Withdrawal Charge Period, the renewal Annual Interest Rate we declare will not be less than the Minimum Guaranteed Interest Rate, which will be calculated in compliance with NYSIL §4223 and redetermined on each Fixed Segment Start Date. The Minimum Guaranteed Interest Rate, as redetermined on each Fixed Segment Start Date after the Withdrawal Charge Period, will be equal to A – B, but will not be less than 1.00% or greater than 3.00%, where: A is the average of all the daily reported five-year Constant Maturity Treasury Rates during the first month of the calendar quarter prior to the applicable Segment Start Date rounded to the nearest 1/20th of one percent (5 basis points); and B is 125 basis points. Blaine T. Doerrfeld Secretary /s/ Blaine T. Doerrfeld


 
Point-to-Point Buffer Strategy Endorsement Athene Annuity & Life Assurance Company of New York Buffer PTP III (05/26) NY Page 1 Buffer PTP III (05/26) NY Point-to-Point Buffer Strategy Endorsement General Endorsement Provisions Point-to-Point Buffer Segment Options This endorsement establishes one or more “Point-to-Point Buffer Segment Options” for your contract. Each Point-to-Point Buffer Segment Option will have an Index, a Segment Term Period, a Cap Rate, a Participation Rate, and a Buffer Rate. The available Point-to-Point Buffer Segment Options and their components are shown on the Segment Contract Schedule. A Point-to-Point Buffer Segment Option provides a Segment Credit Percentage equal to the Index Change, up to the Cap Rate and subject to the applicable Participation Rate, if the Index Change is positive. If the Index Change is zero, the Segment Credit Percentage is equal to zero. If the Index Change is negative, the Buffer Rate is the amount of negative Index Change that we absorb. For losses greater than the Buffer Rate, the Segment Credit Percentage is equal to the Index Change plus the Buffer Rate. Upon the expiration of each Segment Term Period, the Base Segment Value will be reallocated to the same Point-to-Point Buffer Segment Option subject to a new Cap Rate and Participation Rate, unless you notify us of other transfer instructions at least two Business Days prior to the Segment End Date. If an expiring Point-to-Point Buffer Segment Option is no longer available, the Base Segment Value will be transferred to the Fixed Segment Option. Part of the Contract This endorsement is part of your contract and is subject to all terms and conditions of your contract. Any capitalized terms not defined in this endorsement are defined in the contract. To the extent there are any conflicts between this endorsement and your contract, this endorsement will control. The effective date of this endorsement is the Contract Date. Definitions Buffer Rate The Buffer Rate is the amount of negative Index Change that we will absorb when calculating Segment Credits. A negative Segment Credit will apply for any negative Index Change not fully offset by the Buffer Rate. The Buffer Rate for each Point-to-Point Buffer Segment Option is shown on the Segment Contract Schedule and is guaranteed not to change. Cap Rate The Cap Rate is the maximum positive Index Change that may be used in the calculation of Segment Credits. The initial Cap Rate for each Point-to-Point Buffer Segment Option is shown on the Segment Contract Schedule and is guaranteed for the first Segment Term Period only. A new Cap Rate determined by us will become effective on each Segment Start Date. The Cap Rate for each Point- to-Point Buffer Segment Option is guaranteed to never be less than the Minimum Cap Rate shown on the Segment Contract Schedule.


 
Point-to-Point Buffer Strategy Endorsement Athene Annuity & Life Assurance Company of New York Buffer PTP III (05/26) NY Page 2 Buffer PTP III (05/26) NY Index Price The Index Price for any date is the closing price of the Index on that date. The closing price of the Index is the price reported by the provider of the Index at the end of each Business Day. Any subsequent change in the reported price will not be reflected in the Index Price used to calculate Segment Credits for the applicable Point-to-Point Buffer Segment Option. If the Index Price for a Point-to-Point Buffer Segment Option is not available on any given day, then the Index Price as of the first preceding day on which the Index Price is available will be utilized. The value of an Index does not include dividends paid by the companies issuing the stocks comprising the Index. Participation Rate The Participation Rate is used in the calculation of Segment Credits. It is a percentage multiplied by any positive Index Change after the Cap Rate is applied. The initial Participation Rate is shown on the Segment Contract Schedule and is guaranteed for the first Segment Term Period only. A new Participation Rate determined by us will become effective on each Segment Start Date. The Participation Rate for each Point-to-Point Buffer Segment Option is guaranteed to never be less than the Minimum Participation Rate shown on the Segment Contract Schedule. Proportional Withdrawal A Proportional Withdrawal is the portion of a Withdrawal that reduces the Base Segment Value in the same proportion that the Base Segment Value bears to the Segment Value, as described in the Base Segment Value section of this endorsement. Segment Value Base Segment Value The Base Segment Value for any Point-to-Point Buffer Segment Option on the Initial Segment Start Date is the amount of the Holding Account allocated to that Segment Option. On any other date, the Base Segment Value for any Point-to-Point Buffer Segment Option is equal to A + B + C – D – E, where: A is the Base Segment Value as of the previous day; B is the amount of Segment Credits that are credited to this Point-to-Point Buffer Segment Option on this date; C is any amount transferred from your contract’s other Segment Options to this Point-to- Point Buffer Segment Option on this date; D is any amount transferred from this Point-to-Point Buffer Segment Option to your contract’s other Segment Options on this date; and E is any Proportional Withdrawal deducted from this Point-to-Point Buffer Segment Option on this date.


 
Point-to-Point Buffer Strategy Endorsement Athene Annuity & Life Assurance Company of New York Buffer PTP III (05/26) NY Page 3 Buffer PTP III (05/26) NY Any Proportional Withdrawal from this Point-to-Point Buffer Segment Option on this date will equal F x (G / H), where: F is the Withdrawal of Segment Value for this Point-to-Point Buffer Segment Option on this date; G is the Base Segment Value immediately prior to the Withdrawal for this Point-to-Point Buffer Segment Option on this date; and H is the Segment Value immediately prior to the Withdrawal for this Point-to-Point Buffer Segment Option on this date. Segment Value The Segment Value for this Point-to-Point Buffer Segment Option on any date is equal to A + B, where: A is the Base Segment Value of this Point-to-Point Buffer Segment Option on that date; and B is any applicable Equity Adjustment for this Point-to-Point Buffer Segment Option on that date. Segment Credits Segment Credits, if any, will be calculated and added to a Point-to-Point Buffer Segment Option only on a Segment End Date. On each Segment End Date, we will calculate the Index Change. The “Index Change” is equal to (A / B) - 1, where: A is the Index Price for the Segment End Date; and B is the Index Price for the Segment Start Date. The “Segment Credit Percentage” is the percentage applied to the Base Segment Value to determine the Segment Credit. On the Segment End Date, the Segment Credit Percentage will be determined as follows: • If the Index Change is greater than or equal to zero, the Segment Credit Percentage will be the lesser of A and B, where: A is the greater of: ▪ zero; and ▪ the Index Change multiplied by the Participation Rate; and B is the greater of: ▪ zero; and ▪ the Participation Rate multiplied by the Cap Rate.


 
Point-to-Point Buffer Strategy Endorsement Athene Annuity & Life Assurance Company of New York Buffer PTP III (05/26) NY Page 4 Buffer PTP III (05/26) NY • If the Index Change is less than zero, the Segment Credit Percentage will be the lesser of: ▪ zero; and ▪ the Index Change plus the Buffer Rate. The amount of Segment Credits added to this Point-to-Point Buffer Segment Option will be equal to the Base Segment Value as of the previous day multiplied by the Segment Credit Percentage. Equity Adjustment Equity Adjustment Factor For purposes of calculating the Equity Adjustment described in the contract, the Equity Adjustment Factor for a Point-to-Point Buffer Segment Option is equal to A - B x (1 - Y), where: A is the value of certain derivative instruments on the day we calculate the Segment Value for the applicable Segment Option; B is the value of certain derivative instruments on the Segment Start Date for the applicable Segment Option; and Y is the number of days elapsed from the Segment Start Date to the day we calculate the Segment Value, divided by the number of days in the Segment Term Period. On each Business Day, we will calculate the value of the derivative instruments for a Point-to-Point Buffer Segment Option using the Black-Scholes European option pricing formula. We use market data from third-party sources to calculate the value of the derivative instruments. If we are delayed in receiving this data and cannot calculate the current value of the derivative instruments as of that day, we will use the prior Business Day's value. Our method of estimating the current value of the derivative instruments is on file with the New York Department of Financial Services. You may obtain the Equity Adjustment Factor by contacting us at the Administrative Office phone number noted on the cover page of your contract. Blaine T. Doerrfeld Secretary /s/ Blaine T. Doerrfeld


 
Performance Blend Buffer Strategy Endorsement Athene Annuity & Life Assurance Company of New York Performance Blend III (05/26) NY Page 1 Performance Blend III (05/26) NY Performance Blend Buffer Strategy Endorsement General Endorsement Provisions Performance Blend Buffer Segment Options This endorsement establishes one or more “Performance Blend Buffer Segment Options” for your contract. Performance Blend Buffer Segment Options calculate an Aggregate Index Change based on three underlying Indices rather than an Index Change based on a single underlying Index. Each Performance Blend Buffer Segment Option will have Indices, Index Allocation Percentages, a Segment Term Period, a Cap Rate, a Participation Rate, and a Buffer Rate. The available Performance Blend Buffer Segment Options and their components are shown on the Segment Contract Schedule. A Performance Blend Buffer Segment Option provides a Segment Credit Percentage equal to the Aggregate Index Change, up to the Cap Rate and subject to the applicable Participation Rate, if the Aggregate Index Change is positive. If the Aggregate Index Change is zero, the Segment Credit Percentage is equal to zero. If the Aggregate Index Change is negative, the Buffer Rate is the amount of negative Aggregate Index Change that we absorb. For losses greater than the Buffer Rate, the Segment Credit Percentage is equal to the Aggregate Index Change plus the Buffer Rate. Upon the expiration of each Segment Term Period, the Base Segment Value will be reallocated to the same Performance Blend Buffer Segment Option subject to a new Cap Rate, Participation Rate, and Index Allocation Percentages, unless you notify us of other transfer instructions at least two Business Days prior to the Segment End Date. If an expiring Performance Blend Buffer Segment Option is no longer available, the Base Segment Value will be transferred to the Fixed Segment Option. Performance Blend Buffer Segment Options with a 6-year Segment Term Period are only available on the Initial Segment Start Date shown on the Contract Schedule. Part of the Contract This endorsement is part of your contract and is subject to all terms and conditions of your contract. Any capitalized terms not defined in this endorsement are defined in the contract. To the extent there are any conflicts between this endorsement and your contract, this endorsement will control. The effective date of this endorsement is the Contract Date. Definitions Buffer Rate The Buffer Rate is the amount of negative Aggregate Index Change that we will absorb when calculating Segment Credits. A negative Segment Credit will apply for any negative Aggregate Index Change not fully offset by the Buffer Rate. The Buffer Rate for each Performance Blend Buffer Segment Option is shown on the Segment Contract Schedule and is guaranteed not to change.


 
Performance Blend Buffer Strategy Endorsement Athene Annuity & Life Assurance Company of New York Performance Blend III (05/26) Page 2 Performance Blend III (05/26) Cap Rate The Cap Rate is the maximum positive Aggregate Index Change that may be used in the calculation of Segment Credits. The initial Cap Rate for each Performance Blend Buffer Segment Option is shown on the Segment Contract Schedule and is guaranteed for the first Segment Term Period only. A new Cap Rate determined by us will become effective on each Segment Start Date. The Cap Rate for each Performance Blend Buffer Segment Option is guaranteed to never be less than the Minimum Cap Rate shown on the Segment Contract Schedule. Index Price The Index Price for any date is the closing price of the Index on that date. The closing price of the Index is the price reported by the provider of the Index at the end of each Business Day. Any subsequent change in the reported price will not be reflected in the Index Price used to calculate Segment Credits for the applicable Performance Blend Buffer Segment Option. If the Index Price for a Performance Blend Buffer Segment Option is not available on any given day, then the Index Price as of the first preceding day on which the Index Price is available will be utilized. The value of an Index does not include dividends paid by the companies issuing the stocks comprising the Index. Index Allocation Percentages The Index Allocation Percentages (designated as Allocation 1, Allocation 2, and Allocation 3 on the Segment Contract Schedule) are used in the calculation of Segment Credits and the Equity Adjustment Factor. They are guaranteed for the first Segment Term Period only. New Index Allocation Percentages determined by us will become effective on each Segment Start Date. The Index Allocation Percentages will never be less than 1% and their sum must equal 100%. Participation Rate The Participation Rate is used in the calculation of Segment Credits. It is a percentage multiplied by any positive Aggregate Index Change after the Cap Rate is applied. The initial Participation Rate is shown on the Segment Contract Schedule and is guaranteed for the first Segment Term Period only. A new Participation Rate determined by us will become effective on each Segment Start Date. The Participation Rate for each Performance Blend Buffer Segment Option is guaranteed to never be less than the Minimum Participation Rate shown on the Segment Contract Schedule. Proportional Withdrawal A Proportional Withdrawal is the portion of a Withdrawal that reduces the Base Segment Value in the same proportion that the Base Segment Value bears to the Segment Value, as described in the Base Segment Value section of this endorsement. Segment Value Base Segment Value The Base Segment Value for any Performance Blend Buffer Segment Option on the Initial Segment Start Date is the amount of the Holding Account allocated to that Segment Option. On any other date, the Base Segment Value for any Performance Blend Buffer Segment Option is equal to A + B + C – D – E, where: A is the Base Segment Value as of the previous day;


 
Performance Blend Buffer Strategy Endorsement Athene Annuity & Life Assurance Company of New York Performance Blend III (05/26) NY Page 3 Performance Blend III (05/26) NY B is the amount of Segment Credits that are credited to this Performance Blend Buffer Segment Option on this date; C is any amount transferred from your contract’s other Segment Options to this Performance Blend Buffer Segment Option on this date; D is any amount transferred from this Performance Blend Buffer Segment Option to your contract’s other Segment Options on this date; and E is any Proportional Withdrawal deducted from this Performance Blend Buffer Segment Option on this date. Any Proportional Withdrawal from this Performance Blend Buffer Segment Option on this date will equal F x (G / H), where: F is the Withdrawal of Segment Value for this Performance Blend Buffer Segment Option on this date; G is the Base Segment Value immediately prior to the Withdrawal for this Performance Blend Buffer Segment Option on this date; and H is the Segment Value immediately prior to the Withdrawal for this Performance Blend Buffer Segment Option on this date. Segment Value The Segment Value for this Performance Blend Buffer Segment Option on any date is equal to A + B, where: A is the Base Segment Value of this Performance Blend Buffer Segment Option on that date; and B is any applicable Equity Adjustment for this Performance Blend Buffer Segment Option on that date. Segment Credits Segment Credits, if any, will be calculated and added to a Performance Blend Buffer Segment Option only on a Segment End Date. On each Segment End Date, we will calculate the Index Change for each Index. The “Index Change” is equal to (A / B) - 1, where: A is the Index Price for the Segment End Date; and B is the Index Price for the Segment Start Date. The Index Change will be calculated for the three Indices, designated as Index X, Index Y, and Index Z on the Segment Contract Schedule. Each Index Allocation Percentage (Allocation 1, Allocation 2, and Allocation 3) will then be applied the Index Changes in order from highest to lowest. The results will then be added together to produce the “Aggregate Index Change,” calculated as A + B + C, where: A is Allocation 1 multiplied by the highest Index Change; B is Allocation 2 multiplied by the second highest Index Change; and C is Allocation 3 multiplied by the lowest Index Change.


 
Performance Blend Buffer Strategy Endorsement Athene Annuity & Life Assurance Company of New York Performance Blend III (05/26) NY Page 4 Performance Blend III (05/26) NY The “Segment Credit Percentage” is the percentage applied to the Base Segment Value to determine the Segment Credit. On the Segment End Date, the Segment Credit Percentage will be determined as follows: • If the Aggregate Index Change is greater than or equal to zero, the Segment Credit Percentage will be the lesser of A and B, where: A is the greater of: ▪ zero; and ▪ the Aggregate Index Change multiplied by the Participation Rate; and B is the greater of: ▪ zero; and ▪ the Participation Rate multiplied by the Cap Rate. • If the Aggregate Index Change is less than zero, the Segment Credit Percentage will be the lesser of: ▪ zero; and ▪ the Aggregate Index Change plus the Buffer Rate. The amount of Segment Credits added to this Performance Blend Buffer Segment Option will be equal to the Base Segment Value as of the previous day multiplied by the Segment Credit Percentage. Equity Adjustment Equity Adjustment Factor For purposes of calculating the Equity Adjustment described in the contract, the Equity Adjustment Factor for a Performance Blend Buffer Segment Option is equal to A - B x (1 - Y), where: A is the value of certain derivative instruments on the day we calculate the Segment Value for the applicable Segment Option; B is the value of certain derivative instruments on the Segment Start Date for the applicable Segment Option; and Y is the number of days elapsed from the Segment Start Date to the day we calculate the Segment Value, divided by the number of days in the Segment Term Period. On each Business Day, we will calculate the value of the derivative instruments for the Performance Blend Buffer Segment Option using the Monte Carlo Simulation method. We use market data from third-party sources to calculate the value of the derivative instruments. If we are delayed in receiving this data and cannot calculate the current value of the derivative instruments as of that day, we will use the prior Business Day's value. Our method of estimating the current value of the derivative instruments is on file with the New York Department of Financial Services.


 
Performance Blend Buffer Strategy Endorsement Athene Annuity & Life Assurance Company of New York Performance Blend III (05/26) NY Page 5 Performance Blend III (05/26) NY You may obtain the Equity Adjustment Factor by contacting us at the Administrative Office phone number noted on the cover page of your contract. Blaine T. Doerrfeld Secretary /s/ Blaine T. Doerrfeld


 
Dual Direction Buffer Strategy Endorsement Athene Annuity & Life Assurance Company of New York Dual Direction III (05/26) NY Page 1 Dual Direction III (05/26) NY Dual Direction Buffer Strategy Endorsement General Endorsement Provisions Dual Direction Buffer Segment Options This endorsement establishes one or more “Dual Direction Buffer Segment Options” for your contract. Each Dual Direction Buffer Segment Option will have an Index, a Segment Term Period, a Cap Rate, a Participation Rate, a Downside Participation Rate, and a Buffer Rate. The available Dual Direction Buffer Segment Options and their components are shown on the Segment Contract Schedule. A Dual Direction Buffer Segment Option provides a Segment Credit Percentage equal to the Index Change, up to the Cap Rate and subject to the applicable Participation Rate, if the Index Change is positive. If the Index Change is zero, the Segment Credit Percentage is equal to zero. If the Index Change is negative but fully offset by the Buffer Rate, it provides a Segment Credit Percentage equal to the absolute value of the Index Change subject to a Downside Participation Rate. For losses greater than the Buffer Rate, the Segment Credit Percentage is equal to the Index Change plus the Buffer Rate. Upon the expiration of each Segment Term Period, the Base Segment Value will be reallocated to the same Dual Direction Buffer Segment Option subject to a new Cap Rate, Participation Rate, and Downside Participation Rate, unless you notify us of other transfer instructions at least two Business Days prior to the Segment End Date. If an expiring Dual Direction Buffer Segment Option is no longer available, the Base Segment Value will be transferred to the Fixed Segment Option. Part of the Contract This endorsement is part of your contract and is subject to all terms and conditions of your contract. Any capitalized terms not defined in this endorsement are defined in the contract. To the extent there are any conflicts between this endorsement and your contract, this endorsement will control. The effective date of this endorsement is the Contract Date. Definitions Buffer Rate The Buffer Rate is the amount of negative Index Change that we will absorb when calculating Segment Credits. A negative Segment Credit will apply for any negative Index Change not fully offset by the Buffer Rate. The Buffer Rate for each Dual Direction Buffer Segment Option is shown on the Segment Contract Schedule and is guaranteed not to change. Cap Rate The Cap Rate is the maximum positive Index Change that may be used in the calculation of Segment Credits. The initial Cap Rate for each Dual Direction Buffer Segment Option is shown on the Segment Contract Schedule and is guaranteed for the first Segment Term Period only. A new Cap Rate determined by us will become effective on each Segment Start Date. The Cap Rate for each Dual Direction Buffer Segment Option is guaranteed to never be less than the Minimum Cap Rate shown on the Segment Contract Schedule.


 
Dual Direction Buffer Strategy Endorsement Athene Annuity & Life Assurance Company of New York Dual Direction III (05/26) NY Page 2 Dual Direction III (05/26) NY Downside Participation Rate The Downside Participation Rate is used in the calculation of Segment Credits. It is a percentage that is multiplied by the absolute value of the Index Change if the Index Change is negative but fully offset by the Buffer Rate. The initial Downside Participation Rate for each Dual Direction Buffer Segment Option is shown on the Segment Contract Schedule and is guaranteed for the first Segment Term Period only. A new Downside Participation Rate determined by us will become effective on each Segment Start Date. The Downside Participation Rate for each Dual Direction Buffer Segment Option is guaranteed to never be less than the Minimum Downside Participation Rate shown on the Segment Contract Schedule. Index Price The Index Price for any date is the closing price of the Index on that date. The closing price of the Index is the price reported by the provider of the Index at the end of each Business Day. Any subsequent change in the reported price will not be reflected in the Index Price used to calculate Segment Credits for the applicable Dual Direction Buffer Segment Option. If the Index Price for a Dual Direction Buffer Segment Option is not available on any given day, then the Index Price as of the first preceding day on which the Index Price is available will be utilized. The value of an Index does not include dividends paid by the companies issuing the stocks comprising the Index. Participation Rate The Participation Rate is used in the calculation of Segment Credits. It is a percentage multiplied by any positive Index Change after the Cap Rate is applied. The initial Participation Rate is shown on the Segment Contract Schedule and is guaranteed for the first Segment Term Period only. A new Participation Rate determined by us will become effective on each Segment Start Date. The Participation Rate for each Dual Direction Buffer Segment Option is guaranteed to never be less than the Minimum Participation Rate shown on the Segment Contract Schedule. Proportional Withdrawal A Proportional Withdrawal is the portion of a Withdrawal that reduces the Base Segment Value in the same proportion that the Base Segment Value bears to the Segment Value, as described in the Base Segment Value section of this endorsement. Segment Value Base Segment Value The Base Segment Value for any Dual Direction Buffer Segment Option on the Initial Segment Start Date is the amount of the Holding Account allocated to that Segment Option. On any other date, the Base Segment Value for any Dual Direction Buffer Segment Option is equal to A + B + C – D – E, where: A is the Base Segment Value as of the previous day; B is the amount of Segment Credits that are credited to this Dual Direction Buffer Segment Option on this date; C is any amount transferred from your contract’s other Segment Options to this Dual Direction Buffer Segment Option on this date; D is any amount transferred from this Dual Direction Buffer Segment Option to your contract’s other Segment Options on this date; and


 
Dual Direction Buffer Strategy Endorsement Athene Annuity & Life Assurance Company of New York Dual Direction III (05/26) NY Page 3 Dual Direction III (05/26) NY E is any Proportional Withdrawal deducted from this Dual Direction Buffer Segment Option on this date. Any Proportional Withdrawal from this Dual Direction Buffer Segment Option on this date will equal F x (G / H), where: F is the Withdrawal of Segment Value for this Dual Direction Buffer Segment Option on this date; G is the Base Segment Value immediately prior to the Withdrawal for this Dual Direction Buffer Segment Option on this date; and H is the Segment Value immediately prior to the Withdrawal for this Dual Direction Buffer Segment Option on this date. Segment Value The Segment Value for this Dual Direction Buffer Segment Option on any date is equal to A + B, where: A is the Base Segment Value of this Dual Direction Buffer Segment Option on that date; and B is any applicable Equity Adjustment for this Dual Direction Buffer Segment Option on that date. Segment Credits Segment Credits, if any, will be calculated and added to a Dual Direction Buffer Segment Option only on a Segment End Date. On each Segment End Date, we will calculate the Index Change. The “Index Change” is equal to (A / B) - 1, where: A is the Index Price for the Segment End Date; and B is the Index Price for the Segment Start Date. The “Segment Credit Percentage” is the percentage applied to the Base Segment Value to determine the Segment Credit. On the Segment End Date, the Segment Credit Percentage will be determined as follows: • If the Index Change is greater than or equal to zero, the Segment Credit Percentage will be the lesser of A and B, where: A is the greater of: ▪ zero; and ▪ the Index Change multiplied by the Participation Rate; and B is the greater of: ▪ zero; and ▪ the Participation Rate multiplied by the Cap Rate.


 
Dual Direction Buffer Strategy Endorsement Athene Annuity & Life Assurance Company of New York Dual Direction III (05/26) NY Page 4 Dual Direction III (05/26) NY • If the Index Change is negative but fully offset by the Buffer Rate, the Segment Credit Percentage will be equal to the absolute value of the Index Change multiplied by the Downside Participation Rate. • If the Index Change is negative and not fully offset by the Buffer Rate, the Segment Credit Percentage will be equal to the Index Change plus the Buffer Rate. The amount of Segment Credits added to this Dual Direction Buffer Segment Option will be equal to the Base Segment Value as of the previous day multiplied by the Segment Credit Percentage. Equity Adjustment Equity Adjustment Factor For purposes of calculating the Equity Adjustment described in the contract, the Equity Adjustment Factor for a Dual Direction Buffer Segment Option is equal to A - B x (1 - Y), where: A is the value of certain derivative instruments on the day we calculate the Segment Value for the applicable Segment Option; B is the value of certain derivative instruments on the Segment Start Date for the applicable Segment Option; and Y is the number of days elapsed from the Segment Start Date to the day we calculate the Segment Value, divided by the number of days in the Segment Term Period. On each Business Day, we will calculate the value of the derivative instruments for a Dual Direction Buffer Segment Option using the Black-Scholes European option pricing formula. We use market data from third-party sources to calculate the value of the derivative instruments. If we are delayed in receiving this data and cannot calculate the current value of the derivative instruments as of that day, we will use the prior Business Day's value. Our method of estimating the current value of the derivative instruments is on file with the New York Department of Financial Services. You may obtain the Equity Adjustment Factor by contacting us at the Administrative Office phone number noted on the cover page of your contract. Blaine T. Doerrfeld Secretary /s/ Blaine T. Doerrfeld


 
Trigger Buffer Strategy Endorsement Athene Annuity & Life Assurance Company of New York Trigger III (05/26) NY Page 1 Trigger III (05/26) NY Trigger Buffer Strategy Endorsement General Endorsement Provisions Trigger Buffer Segment Options This endorsement establishes one or more “Trigger Buffer Segment Options” for your contract. Each Trigger Buffer Segment Option will have an Index, a Segment Term Period, a Trigger Rate, and a Buffer Rate. The available Trigger Buffer Segment Options and their components are shown on the Segment Contract Schedule. A Trigger Buffer Segment Option provides a Segment Credit Percentage equal to the Trigger Rate if the Index Change is positive or equal to zero. If the Index Change is negative but fully offset by the Buffer Rate, the Segment Credit Percentage will be zero. For losses greater than the Buffer Rate, the Segment Credit Percentage will be equal to the Index Change plus the Buffer Rate. Upon the expiration of each Segment Term Period, the Base Segment Value will be reallocated to the same Trigger Buffer Segment Option subject to a new Trigger Rate, unless you notify us of other transfer instructions at least two Business Days prior to the Segment End Date. If an expiring Trigger Buffer Segment Option is no longer available, the Base Segment Value will be transferred to the Fixed Segment Option. Trigger Buffer Segment Options with a 6-year Segment Term Period are only available on the Initial Segment Start Date shown on the Segment Contract Schedule. Part of the Contract This endorsement is part of your contract and is subject to all terms and conditions of your contract. Any capitalized terms not defined in this endorsement are defined in the contract. To the extent there are any conflicts between this endorsement and your contract, this endorsement will control. The effective date of this endorsement is the Contract Date. Definitions Buffer Rate The Buffer Rate is the amount of negative Index Change that we will absorb when calculating Segment Credits. A negative Segment Credit will apply for any negative Index Change not fully offset by the Buffer Rate. The Buffer Rate for each Trigger Buffer Segment Option is shown on the Segment Contract Schedule and is guaranteed not to change. Index Price The Index Price for any date is the closing price of the Index on that date. The closing price of the Index is the price reported by the provider of the Index at the end of each Business Day. Any subsequent change in the reported price will not be reflected in the Index Price used to calculate Segment Credits for the applicable Trigger Buffer Segment Option. If the Index Price for a Trigger Buffer Segment Option is not available on any given day, then the Index Price as of the first preceding day on which the Index Price is available will be utilized. The value of an Index does not include dividends paid by the companies issuing the stocks comprising the Index.


 
Trigger Buffer Strategy Endorsement Athene Annuity & Life Assurance Company of New York Trigger III (05/26) NY Page 2 Trigger III (05/26) NY Proportional Withdrawal A Proportional Withdrawal is the portion of a Withdrawal that reduces the Base Segment Value in the same proportion that the Base Segment Value bears to the Segment Value, as described in the Base Segment Value section of this endorsement. Trigger Rate The Trigger Rate is the rate used in the calculation of the Segment Credit if the Index Change is greater than or equal to zero. The initial Trigger Rate is shown on the Segment Contract Schedule and is guaranteed for the first Segment Term Period only. A new Trigger Rate determined by us will become effective on each Segment Start Date. The Trigger Rate for each Trigger Buffer Segment Option is guaranteed to never be less than the Minimum Trigger Rate shown on the Segment Contract Schedule. Segment Value Base Segment Value The Base Segment Value for any Trigger Buffer Segment Option on the Initial Segment Start Date is the amount of the Holding Account allocated to that Segment Option. On any other date, the Base Segment Value for any Trigger Buffer Segment Option is equal to A + B + C – D – E, where: A is the Base Segment Value as of the previous day; B is the amount of Segment Credits that are credited to this Trigger Buffer Segment Option on this date; C is any amount transferred from your contract’s other Segment Options to this Trigger Buffer Segment Option on this date; D is any amount transferred from this Trigger Buffer Segment Option to your contract’s other Segment Options on this date; and E is any Proportional Withdrawal deducted from this Trigger Buffer Segment Option on this date. Any Proportional Withdrawal from this Trigger Buffer Segment Option on this date will equal F x (G / H), where: F is the Withdrawal of Segment Value for this Trigger Buffer Segment Option on this date; G is the Base Segment Value immediately prior to the Withdrawal for this Trigger Buffer Segment Option on this date; and H is the Segment Value immediately prior to the Withdrawal for this Trigger Buffer Segment Option on this date. Segment Value The Segment Value for this Trigger Buffer Segment Option on any date is equal to A + B, where: A is the Base Segment Value of this Trigger Buffer Segment Option on that date; and B is any applicable Equity Adjustment for this Trigger Buffer Segment Option on that date.


 
Trigger Buffer Strategy Endorsement Athene Annuity & Life Assurance Company of New York Trigger III (05/26) NY Page 3 Trigger III (05/26) NY Segment Credits Segment Credits, if any, will be calculated and added to a Trigger Buffer Segment Option only on a Segment End Date. On each Segment End Date, we will calculate the Index Change. The “Index Change” is equal to (A / B) - 1, where: A is the Index Price for the Segment End Date; and B is the Index Price for the Segment Start Date. The “Segment Credit Percentage” is the percentage applied to the Base Segment Value to determine the Segment Credit. On the Segment End Date, the Segment Credit Percentage will be determined as follows: • If the Index Change is greater than or equal to zero, the Segment Credit Percentage will be equal to the Trigger Rate. • If the Index Change is less than zero, the Segment Credit Percentage will be the lesser of: ▪ zero; and ▪ the Index Change plus the Buffer Rate. The amount of Segment Credits added to this Trigger Buffer Segment Option will be equal to the Base Segment Value as of the previous day multiplied by the Segment Credit Percentage. Equity Adjustment Equity Adjustment Factor For purposes of calculating the Equity Adjustment described in the contract, the Equity Adjustment Factor for a Trigger Buffer Segment Option is equal to A - B x (1 - Y), where: A is the value of certain derivative instruments on the day we calculate the Segment Value for the applicable Segment Option; B is the value of certain derivative instruments on the Segment Start Date for the applicable Segment Option; and Y is the number of days elapsed from the Segment Start Date to the day we calculate the Segment Value, divided by the number of days in the Segment Term Period. On each Business Day, we will calculate the value of the derivative instruments for a Trigger Buffer Segment Option using the Black-Scholes European option pricing formula. We use market data from third-party sources to calculate the value of the derivative instruments. If we are delayed in receiving this data and cannot calculate the current value of the derivative instruments as of that day, we will use the prior Business Day's value. Our method of estimating the current value of the derivative instruments is on file with the New York Department of Financial Services.


 
Trigger Buffer Strategy Endorsement Athene Annuity & Life Assurance Company of New York Trigger III (05/26) NY Page 4 Trigger III (05/26) NY You may obtain the Equity Adjustment Factor by contacting us at the Administrative Office phone number noted on the cover page of your contract. Blaine T. Doerrfeld Secretary /s/ Blaine T. Doerrfeld


 
Dual Trigger Buffer Strategy Endorsement Athene Annuity & Life Assurance Company of New York Dual Trigger III (05/26) NY Page 1 Dual Trigger III (05/26) NY Dual Trigger Buffer Strategy Endorsement General Endorsement Provisions Dual Trigger Buffer Segment Options This endorsement establishes one or more “Dual Trigger Buffer Segment Options” for your contract. Each Dual Trigger Buffer Segment Option will have an Index, a Segment Term Period, a Trigger Rate, and a Buffer Rate. The available Dual Trigger Buffer Segment Options and their components are shown on the Segment Contract Schedule. A Dual Trigger Buffer Segment Option provides a Segment Credit Percentage equal to the Trigger Rate if the Index Change is positive, zero, or negative but fully offset by the Buffer Rate. If the Index Change is negative and not fully offset by the Buffer Rate, the Segment Credit Percentage is equal to the Index Change plus the Buffer Rate. Upon the expiration of each Segment Term Period, the Base Segment Value will be reallocated to the same Dual Trigger Buffer Segment Option subject to a new Trigger Rate, unless you notify us of other transfer instructions at least two Business Days prior to the Segment End Date. If an expiring Dual Trigger Buffer Segment Option is no longer available, the Base Segment Value will be transferred to the Fixed Segment Option. Dual Trigger Buffer Segment Options with a 6-year Segment Term Period are only available on the Initial Segment Start Date shown on the Segment Contract Schedule. Part of the Contract This endorsement is part of your contract and is subject to all terms and conditions of your contract. Any capitalized terms not defined in this endorsement are defined in the contract. To the extent there are any conflicts between this endorsement and your contract, this endorsement will control. The effective date of this endorsement is the Contract Date. Definitions Buffer Rate The Buffer Rate is the amount of negative Index Change that we will absorb when calculating Segment Credits. A negative Segment Credit will apply for any negative Index Change not fully offset by the Buffer Rate. The Buffer Rate for each Dual Trigger Buffer Segment Option is shown on the Segment Contract Schedule and is guaranteed not to change. Index Price The Index Price for any date is the closing price of the Index on that date. The closing price of the Index is the price reported by the provider of the Index at the end of each Business Day. Any subsequent change in the reported price will not be reflected in the Index Price used to calculate Segment Credits for the applicable Dual Trigger Buffer Segment Option. If the Index Price for a Dual Trigger Buffer Segment Option is not available on any given day, then the Index Price as of the first preceding day on which the Index Price is available will be utilized. The value of an Index does not include dividends paid by the companies issuing the stocks comprising the Index.


 
Dual Trigger Buffer Strategy Endorsement Athene Annuity & Life Assurance Company of New York Dual Trigger III (05/26) NY Page 2 Dual Trigger III (05/26) NY Proportional Withdrawal A Proportional Withdrawal is the portion of a Withdrawal that reduces the Base Segment Value in the same proportion that the Base Segment Value bears to the Segment Value, as described in the Base Segment Value section of this endorsement. Trigger Rate The Trigger Rate is the rate used in the calculation of the Segment Credit if the Index Change is positive, zero, or negative but fully offset by the Buffer Rate. The initial Trigger Rate is shown on the Segment Contract Schedule and is guaranteed for the first Segment Term Period only. A new Trigger Rate determined by us will become effective on each Segment Start Date. The Trigger Rate for each Dual Trigger Buffer Segment Option is guaranteed to never be less than the Minimum Trigger Rate shown on the Segment Contract Schedule. Segment Value Base Segment Value The Base Segment Value for any Dual Trigger Buffer Segment Option on the Initial Segment Start Date is the amount of the Holding Account allocated to that Segment Option. On any other date, the Base Segment Value for any Dual Trigger Buffer Segment Option is equal to A + B + C – D – E, where: A is the Base Segment Value as of the previous day; B is the amount of Segment Credits that are credited to this Dual Trigger Buffer Segment Option on this date; C is any amount transferred from your contract’s other Segment Options to this Dual Trigger Buffer Segment Option on this date; D is any amount transferred from this Dual Trigger Buffer Segment Option to your contract’s other Segment Options on this date; and E is any Proportional Withdrawal deducted from this Dual Trigger Buffer Segment Option on this date. Any Proportional Withdrawal from this Dual Trigger Buffer Segment Option on this date will equal F x (G / H), where: F is the Withdrawal of Segment Value for this Dual Trigger Buffer Segment Option on this date; G is the Base Segment Value immediately prior to the Withdrawal for this Dual Trigger Buffer Segment Option on this date; and H is the Segment Value immediately prior to the Withdrawal for this Dual Trigger Buffer Segment Option on this date. Segment Value The Segment Value for this Dual Trigger Buffer Segment Option on any date is equal to A + B, where: A is the Base Segment Value of this Dual Trigger Buffer Segment Option on that date; and


 
Dual Trigger Buffer Strategy Endorsement Athene Annuity & Life Assurance Company of New York Dual Trigger III (05/26) NY Page 3 Dual Trigger III (05/26) NY B is any applicable Equity Adjustment for this Dual Trigger Buffer Segment Option on that date. Segment Credits Segment Credits, if any, will be calculated and added to a Dual Trigger Buffer Segment Option only on a Segment End Date. On each Segment End Date, we will calculate the Index Change. The “Index Change” is equal to (A / B) - 1, where: A is the Index Price for the Segment End Date; and B is the Index Price for the Segment Start Date. The “Segment Credit Percentage” is the percentage applied to the Base Segment Value to determine the Segment Credit. On the Segment End Date, the Segment Credit Percentage will be determined as follows: • If the Index Change is positive, zero, or negative but fully offset by the Buffer Rate, the Segment Credit Percentage will be equal to the Trigger Rate. • If the Index Change is negative and not fully offset by the Buffer Rate, the Segment Credit Percentage will be equal to the Index Change plus the Buffer Rate. The amount of Segment Credits added to this Dual Trigger Buffer Segment Option will be equal to the Base Segment Value as of the previous day multiplied by the Segment Credit Percentage. Equity Adjustment Equity Adjustment Factor For purposes of calculating the Equity Adjustment described in the contract, the Equity Adjustment Factor for a Dual Trigger Buffer Segment Option is equal to A - B x (1 - Y), where: A is the value of certain derivative instruments on the day we calculate the Segment Value for the applicable Segment Option; B is the value of certain derivative instruments on the Segment Start Date for the applicable Segment Option; and Y is the number of days elapsed from the Segment Start Date to the day we calculate the Segment Value, divided by the number of days in the Segment Term Period. On each Business Day, we will calculate the value of the derivative instruments for a Dual Trigger Buffer Segment Option using the Black-Scholes European option pricing formula. We use market data from third-party sources to calculate the value of the derivative instruments. If we are delayed in receiving this data and cannot calculate the current value of the derivative instruments as of that day, we will use the prior Business Day's value. Our method of estimating the current value of the derivative instruments is on file with the New York Department of Financial Services.


 
Dual Trigger Buffer Strategy Endorsement Athene Annuity & Life Assurance Company of New York Dual Trigger III (05/26) NY Page 4 Dual Trigger III (05/26) NY You may obtain the Equity Adjustment Factor by contacting us at the Administrative Office phone number noted on the cover page of your contract. Blaine T. Doerrfeld Secretary /s/ Blaine T. Doerrfeld


 
Guaranteed Minimum Death Benefit Endorsement Athene Annuity & Life Assurance Company of New York GMDB III (05/26) NY Page 1 GMDB III (05/26) NY Guaranteed Minimum Death Benefit Endorsement Part of the Contract This endorsement is part of your contract and is subject to all terms and conditions of your contract. Any capitalized terms not defined in this endorsement are defined in the contract. To the extent there are any conflicts between this endorsement and your contract, this endorsement will control. The effective date of this endorsement is the Contract Date. Death Benefit If the amount of the Death Benefit provided under your contract is less than the Return of Premium Benefit, then the amount of the Death Benefit will be increased to equal the Return of Premium Benefit. Return of Premium Benefit The “Return of Premium Benefit” is equal to A – B, where: A is the Purchase Payment; and B is the sum of net proceeds from all prior Withdrawals. Net proceeds from prior Withdrawals are equal to the Contract Value withdrawn after the application of Withdrawal Charges and Interest Adjustments. Death of Owner This endorsement will terminate upon the date of death of the Owner (or the Annuitant if the Owner is not a natural person) except as provided in the Spousal Continuation section of this endorsement. Spousal Continuation If the surviving spouse of the deceased Owner (or the deceased Annuitant if the Owner is not a natural person) is the sole Beneficiary and elects to continue your contract as provided for in the “Death of an Owner prior to the Annuity Date” provision of your contract, this endorsement will also continue if the surviving spouse becomes the sole Annuitant and sole Owner of your contract. Termination The Owner may not elect to terminate this endorsement once it is effective. This endorsement will terminate upon the earliest of the following dates: (1) the date we pay the Death Benefit; (2) the date your contract is surrendered for its Cash Surrender Value; (3) the date the Withdrawal Charge Period ends;


 
Guaranteed Minimum Death Benefit Endorsement Athene Annuity & Life Assurance Company of New York GMDB III (05/26) NY Page 2 GMDB III (05/26) NY (4) the date the Owner changes or an additional Owner is added after the Contract Date, unless the contract is continued by the surviving spouse in accordance with this endorsement; and (5) if the Owner is a non-natural person, the date the Annuitant changes or an additional Annuitant is added after the Contract Date, unless the contract is continued by the surviving spouse in accordance with this endorsement. Blaine T. Doerrfeld Secretary /s/ Blaine T. Doerrfeld


 
Performance Lock Endorsement Athene Annuity & Life Assurance Company of New York Performance Lock III (05/26) NY Page 1 Performance Lock III (05/26) NY Performance Lock Endorsement Data Section Minimum Performance Lock Notification Period [Last Business Day prior to a Segment End Date] Latest Re-Entry Date [14] Days prior to the next Segment Anniversary Re-Entry Request Maximum [16] per Segment Year General Endorsement Provisions Part of the Contract This endorsement is part of your contract and is subject to all terms and conditions of your contract. Any capitalized terms not defined in this endorsement are defined in the contract (including the Strategy Endorsements). To the extent there are any conflicts between this endorsement and your contract, this endorsement will control. The effective date of this endorsement is the Contract Date. Definitions Performance Lock Performance Lock is a feature that allows you to capture the Segment Value during the Segment Term Period of an Index-Linked Segment Option. Performance Lock Date The Performance Lock Date is the Business Day on which we receive a valid Performance Lock request. If a request is received on a non-Business Day, or after the close of a Business Day, the Performance Lock Date will be the following Business Day. Re-Entry Request A Re-Entry Request is a request to transfer the Segment Value (including any fixed interest accrued since the Performance Lock Date) from a locked Index-Linked Segment Option into any currently available Index-Linked Segment Option. Benefit Performance Lock Availability The availability of the Performance Lock feature on each Index-Linked Segment Option is specified on the Segment Contract Schedule. We reserve the right to limit the availability of the Performance Lock feature for certain Index-Linked Segment Options. We will notify you if availability changes.


 
Performance Lock Endorsement Athene Annuity & Life Assurance Company of New York Performance Lock III (05/26) NY Page 2 Performance Lock III (05/26) NY Exercising a Performance Lock If available, a Performance Lock may be exercised for any of the Index-Linked Segment Options which has a positive Base Segment Value. A Performance Lock cannot be exercised on the Fixed Segment Option. A Performance Lock may be exercised at different times for each Indexed-Linked Segment Option during its Segment Term Period (other than on a Segment Start Date or Segment End Date). Performance Lock requests must be received in accordance with the Minimum Performance Lock Notification Period shown in the Data Section. A Performance Lock may not be applied retroactively and must apply to the entire Segment Value. For purposes of the Performance Lock, the Segment Value is determined as of the end of the Performance Lock Date, after all other transactions have been recorded. Once exercised, a Performance Lock is irrevocable. Notwithstanding anything to the contrary in the Strategy Endorsements, a locked Index-Linked Segment Option will not receive a Segment Credit on the Segment End Date, nor will there be any further change in the Segment Value due to the Equity Adjustment. From the Performance Lock Date until the earlier of (1) the Business Day we process a valid Re-Entry Request and (2) the Segment Anniversary immediately following the Performance Lock, the locked Segment Value will earn interest at the current Annual Interest Rate used for the Fixed Segment Option. At the end of that period, a new Segment Term Period will begin, and a new Cap Rate, Participation Rate, Downside Participation Rate, and Trigger Rate will apply, as applicable. Re-Entry Requests A Re-Entry Request may be made as early as the same Business Day in which a Performance Lock is exercised but no later than the Latest Re-Entry Date shown in the Data Section. The number of Re-Entry Requests that may be made in a single Segment Year may not exceed the Re-Entry Request Maximum shown in the Data Section. After the maximum is reached, you may not make a Re-Entry Request on a locked Index-Linked Segment Option for the remainder of the Segment Year. Each Re-Entry Request may include instructions to transfer all of the locked Segment Value to one or more other Index-Linked Segment Options. Each Re-Entry Request may also include re-allocation instructions for more than one locked Index-Linked Segment Option. A Re-Entry Request cannot transfer Segment Value into any Segment Option with a 6-year Segment Term Period. This means you may not allocate locked funds to any Segment Option with a 6-year Segment Term Period until the next Segment Anniversary. A valid Re-Entry Request will be processed on the Business Day we receive it. Any Re-Entry Request received on a non-Business Day, or after the close of a Business Day, will be processed on the following Business Day. A new Segment Term Period will start on the Business Day we process the Re-Entry Request. The new Segment Term Period will equal (1) the number of days from and including the Business Day we process the Re-Entry Request to but excluding the next Segment Anniversary, plus (2) the length of the full Segment Term Period for the Index-Linked Segment Option selected. As a result, the Segment Term Period following a Re-Entry Request will be longer than the standard Segment Term Period for the Segment Option selected. The Base Segment Value on the Segment Start Date will be the Segment Value of the locked Index-Linked Segment Option, including any fixed interest that has accrued since the Performance Lock Date.


 
Performance Lock Endorsement Athene Annuity & Life Assurance Company of New York Performance Lock III (05/26) NY Page 3 Performance Lock III (05/26) NY For example, if a Performance Lock and Re-Entry Request are processed on July 22, 2026 for a 1- year Index-Linked Segment Option that began on January 22, 2026 and another 1-year Index-Linked Segment Option is selected, the new Segment Term Period will be (1) the number of days from and including July 22, 2026, through January 21, 2027, plus (2) 1 year. The new Segment End Date after the Re-Entry Request is processed will be January 22, 2028. If you do not exercise a Re-Entry Request between the Performance Lock Date and the Latest Re- Entry Date, you may provide us with transfer instructions for the locked Segment Value to take effect on the next Segment Anniversary following the Performance Lock. If we do not receive your transfer instructions at least two Business days before that Segment Anniversary, the Segment Value (including any fixed interest accrued since the Performance Lock Date) will be reallocated to the same Index-Linked Segment Option (if still available) for a new Segment Term Period with a new Cap Rate, Participation Rate, Downside Participation Rate, and Trigger Rate, as applicable. If that Index-Linked Segment Option is no longer available, the Segment Value will be transferred to the Fixed Segment Option. Blaine T. Doerrfeld Secretary /s/ Blaine T. Doerrfeld