Exhibit 4.5
BIOXCEL THERAPEUTICS, INC.
AMENDED AND RESTATED WARRANT
TO PURCHASE SHARES OF COMMON STOCK
Warrant No. [●] | Number of Shares: [●] |
| (subject to adjustment) |
Date of Issuance: November 25, 2024 | |
BioXcel Therapeutics, Inc., a Delaware corporation (the “Company”), hereby certifies that, for good and valuable consideration, the receipt and sufficiency of which are hereby acknowledged, [●] or its registered assigns (the “Holder”), is entitled, subject to the terms set forth below, to purchase from the Company up to a total of [●]shares of common stock, $0.001 par value per share (the “Common Stock”) of the Company (each such share, a “Warrant Share” and all such shares, the “Warrant Shares”) at an exercise price per share equal to $0.571 per share (as adjusted from time to time as provided in Section 9 herein, the “Exercise Price”) upon surrender of this Warrant to Purchase Shares of Common Stock (including any Warrants to Purchase Shares of Common Stock issued in exchange, transfer or replacement hereof, the “Warrant”) at any time and from time to time on or after the date hereof (the “Original Issue Date”) and on or prior to 5:00 pm Eastern Time on March 27, 2029 (the “Termination Date”), subject to the following terms and conditions:
1.Definitions. For purposes of this Warrant, the following terms shall have the following meanings:
(a)“Affiliate” means any Person directly or indirectly controlled by, controlling or under common control with, a Holder, as such terms are used in and construed under Rule 405 under the Securities Act, but only for so long as such control shall continue. For purposes of this definition, “control” (including, with correlative meanings, “controlled by,” “controlling” and “under common control with”) means, with respect to a Person, possession, direct or indirect, of (a) the power to direct or cause direction of the management and policies of such Person (whether through ownership of securities or partnership or other ownership interests, by contract or otherwise), or (b) at least 50% of the voting securities (whether directly or pursuant to any option, warrant, or other similar arrangement) or other comparable equity interests.
(b)“Commission” means the United States Securities and Exchange Commission.
(c)“Marketable Securities” means securities meeting all of the following requirements: (i) the issuer thereof is then subject to the reporting requirements of Section 13 or Section 15(d) of the Securities Exchange Act of 1934, as amended (the “Exchange Act”), and is then current in its filing of all required reports and other information under the Securities Act and the Exchange Act; (ii) the class and series of shares or other security of the issuer that would be received by Holder in connection with the Fundamental Transaction (as defined below) were Holder to exercise this Warrant on or prior to the closing thereof is then traded or quoted on a nationally recognized securities exchange, inter-dealer quotation system or over-the-counter market, and (iii) following the closing of such Fundamental Transaction, the Holder would not be restricted from publicly re-selling all of the issuer’s shares and/or other securities that would be received by the Holder in such Fundamental Transaction were the Holder to exercise or convert this Warrant in full on or prior to the closing of such Fundamental Transaction, except to the extent that any such restriction (x) arises solely under federal or state securities laws, rules or
regulations, and (y) does not extend beyond six (6) months from the closing of such Fundamental Transaction.
(d)“Principal Trading Market” means the national securities exchange or other trading market on which the shares of Common Stock are primarily listed on and quoted for trading, which, as of the Original Issue Date, shall be the Nasdaq Capital Market.
(e)“Registration Statement” means the Company’s Registration Statement on Form S-3 (File No. 333-275261), filed with the Commission on November 2, 2023.
(f)“Securities Act” means the Securities Act of 1933, as amended.
(g)“Trading Day” means any weekday on which the Principal Trading Market is open for trading. If the shares of Common Stock are not listed or admitted for trading, “Trading Day” means any day except any Saturday, any Sunday, any day which is a federal legal holiday in the United States or any day on which banking institutions in New York City are authorized or required by law or other governmental action to close.
(h)“Transfer Agent” means Equiniti Trust Company, LLC, the Company’s transfer agent and registrar for the Common Stock, and any successor appointed in such capacity.
(i)“VWAP” means, for any date, the price determined by the first of the following clauses that applies: (i) if the Common Stock is then listed or quoted on a national securities exchange or other trading market, the daily volume weighted average price of the Common Stock for such date (or the nearest preceding date) on the Principal Trading Market as reported by Bloomberg L.P. (based on a Trading Day from 9:30 a.m. (New York City time) to 4:02 p.m. (New York City time)), (ii) if the Common Stock is then listed or quoted for trading and neither OTCQB nor OTCQX is the Principal Trading Market, the volume weighted average price of the Common Stock for such date (or the nearest preceding date) on OTCQB or OTCQX, as applicable, (iii) if the Common Stock is not then listed or quoted for trading on OTCQB or OTCQX and if prices for the Common Stock are then reported in the “Pink Sheets” published by OTC Markets Group, Inc. (or a similar organization or agency succeeding to its functions of reporting prices), the most recent bid price per share of the Common Stock so reported, or (iv) in all other cases, the fair market value of a share of Common Stock as determined by an independent appraiser selected in good faith by the Holder and reasonably acceptable to the Company, the fees and expenses of which shall be paid by the Company.
2.Issuance of Securities; Registration of Warrants. This Warrant, as initially issued by the Company, is offered and sold pursuant to the Registration Statement. As of the Original Issue Date, the Warrant Shares are issuable under the Registration Statement. Accordingly, the Warrant and, assuming issuance pursuant to the Registration Statement or an exchange meeting the requirements of Section 3(a)(9) of the Securities Act as in effect on the Original Issue Date, the Warrant Shares, are not “restricted securities” under Rule 144 promulgated under the Securities Act. The Company shall register ownership of this Warrant, upon records to be maintained by the Company for that purpose (the “Warrant Register”), in the name of the record Holder (which shall include the initial Holder or, as the case may be, any assignee to which this Warrant is assigned hereunder) from time to time. The Company may deem and treat the registered Holder of this Warrant as the absolute owner hereof for the purpose of any exercise hereof or any distribution to the Holder, and for all other purposes, absent actual notice to the contrary.
3.Registration of Transfers. Subject to compliance with all applicable securities laws, the Company shall, or will cause its Transfer Agent to, register the transfer of all or any portion of this Warrant in the Warrant Register, upon surrender of this Warrant, and payment for all applicable taxes (if any). Upon any such registration or transfer, a new warrant to purchase shares of Common Stock in substantially the
| 2 | |
Warrant No. CS-1 | | |
form of this Warrant (any such new warrant, a “New Warrant”) evidencing the portion of this Warrant so transferred shall be issued to the transferee, and a New Warrant evidencing the remaining portion of this Warrant not so transferred, if any, shall be issued to the transferring Holder. The acceptance of the New Warrant by the transferee thereof shall be deemed the acceptance by such transferee of all of the rights and obligations in respect of the New Warrant that the Holder has in respect of this Warrant. The Company shall, or will cause its Transfer Agent to, prepare, issue and deliver at the Company’s own expense any New Warrant under this Section 3. Until due presentment for registration of transfer, the Company may treat the registered Holder hereof as the owner and holder for all purposes, and the Company shall not be affected by any notice to the contrary.
4.Exercise and Duration of Warrants.
(a)All or any part of this Warrant shall be exercisable by the registered Holder in the manner set forth herein at any time and from time to time on or after the Original Issue Date and on or prior to the Termination Date.
(b)The Holder may exercise this Warrant by delivering to the Company (i) an exercise notice, in the form attached as Schedule 1 hereto (the “Exercise Notice”), completed and duly signed, and (ii) payment of the Exercise Price for the number of Warrant Shares as to which this Warrant is being exercised (which may take the form of a “cashless exercise” if so indicated in the Exercise Notice pursuant to Section 10 below), and the date on which the last of such items is delivered to the Company (as determined in accordance with the notice provisions hereof) is an “Exercise Date.” No later than one Trading Day following the delivery of such Exercise Notice, the Holder shall deliver to the Company payment of the Exercise Price for the number of Warrant Shares as to which this Warrant is being exercised by wire transfer or cashier’s check drawn on a United States bank unless the cashless exercise procedures specified in Section 10 below is specified in the applicable Exercise Notice. The Holder shall not be required to deliver the original Warrant in order to effect an exercise hereunder. No ink original Exercise Notice shall be required, nor shall any medallion guarantee (or other type of guarantee or notarization) of any Exercise Notice be required. Execution and delivery of the Exercise Notice shall have the same effect as cancellation of the original Warrant and issuance of a New Warrant evidencing the right to purchase the remaining number of Warrant Shares, if any. The Holder and any assignee, by acceptance of this Warrant, acknowledge and agree that, by reason of the provisions of this paragraph, following the purchase of a portion of the Warrant Shares hereunder, the number of Warrant Shares available for purchase hereunder at any given time may be less than the amount stated on the face hereof.
5.Delivery of Warrant Shares.
(a)Upon exercise of this Warrant, the Company shall promptly (but in no event later than two (2) Trading Days after the Exercise Date), upon the request of the Holder, credit such aggregate number of shares of Common Stock to which the Holder is entitled pursuant to such exercise to the Holder’s or its designee’s balance account with The Depository Trust Company (“DTC”) through its Deposit Withdrawal Agent Commission system, or if the Transfer Agent is not participating in the Fast Automated Securities Transfer Program (the “FAST Program”), issue and dispatch by overnight courier to the address as specified in the Exercise Notice, a certificate, registered in the Company’s share register in the name of the Holder or its designee, for the number of shares of Common Stock to which the Holder is entitled pursuant to such exercise. The Holder, or any natural person or legal entity (each, a “Person”) so designated by the Holder to receive Warrant Shares, shall be deemed to have become the holder of record of such Warrant Shares as of the Exercise Date, irrespective of the date such Warrant Shares are credited to the Holder’s DTC account or the date of delivery of the certificates evidencing such Warrant Shares, as the case may be.
| 3 | |
Warrant No. CS-1 | | |
(b)If by the close of the second (2nd) Trading Day after the Exercise Date, the Company fails to deliver to the Holder a certificate representing the required number of Warrant Shares in the manner required pursuant to Section 5(a) or fails to credit the Holder’s DTC account for such number of Warrant Shares to which the Holder is entitled, and if after such second (2nd) Trading Day and prior to the receipt of such Warrant Shares, the Holder purchases (in an open market transaction, provided such purchases shall be made in a commercially reasonable manner at prevailing market prices) shares of Common Stock to deliver in satisfaction of a sale by the Holder of the Warrant Shares which the Holder anticipated receiving upon such exercise (a “Buy-In”), then the Company shall, within two (2) Trading Days after the Holder’s request, in the Holder’s sole discretion, either (i) pay cash to the Holder in an amount equal to the Holder’s total purchase price (including commercially reasonable brokerage commissions, if any) for the shares of Common Stock so purchased, at which point the Company’s obligation to deliver such Warrant Shares shall terminate, or (ii) (A) pay in cash to the Holder the amount, if any, by which (1) the Holder’s total purchase price (including commercially reasonable brokerage commissions, if any) for the shares of Common Stock purchased in the Buy-In exceeds (2) the product of (x) the number of Warrant Shares that the Company was required to deliver to the Holder in connection with the exercise at issue, times (y) the price at which the sell order giving rise to such purchase obligation was executed (assuming such sale was executed on commercially reasonable terms at prevailing market prices and, if the sale was executed in multiple transactions, the volume weighted average price), and (B) at the option of the Holder, either (1) reinstate the portion of the Warrant and equivalent number of Warrant Shares for which such exercise was not honored (in which case such exercise shall be deemed rescinded) or (2) deliver to the Holder the number of shares of Common Stock that would have been issued had the Company timely complied with its exercise and delivery obligations hereunder. The provisions of this Section 5(b) shall be the only remedy available to the Holder in the event the Company fails to deliver to the Holder the required number of Warrant Shares in the manner required pursuant to Section 5(a) and a Buy-In occurs. Irrespective of whether there is a Buy-In, no remedy shall be available, notwithstanding the requirements of Section 5(a), unless and until the Company fails to deliver to the Holder the required number of Warrant Shares by the close of the third Trading Day after the Exercise Date.
(c)To the extent permitted by law and subject to Section 5(b), the Company’s obligations to issue and deliver Warrant Shares in accordance with and subject to the terms hereof (including the limitations set forth in Section 10 below) are absolute and unconditional, irrespective of any action or inaction by the Holder to enforce the same, any waiver or consent with respect to any provision hereof, the recovery of any judgment against any Person or any action to enforce the same, or any setoff, counterclaim, recoupment, limitation or termination, or any breach or alleged breach by the Holder or any other Person of any obligation to the Company or any violation or alleged violation of law by the Holder or any other Person, and irrespective of any other circumstance that might otherwise limit such obligation of the Company to the Holder in connection with the issuance of Warrant Shares. Subject to Section 5(b), nothing herein shall limit the Holder’s right to pursue any other remedies available to it hereunder, at law or in equity including, without limitation, a decree of specific performance and/or injunctive relief with respect to the Company’s failure to timely deliver certificates representing shares of Common Stock upon exercise of the Warrant as required pursuant to the terms hereof.
6.Charges, Taxes and Expenses.
(a)Issuance and delivery of certificates for shares of Common Stock upon exercise of this Warrant shall be made without charge to the Holder for any issue or transfer tax, transfer agent fee or other similar incidental tax or expense (excluding any applicable stamp duties) in respect of the issuance of such certificates, all of which taxes and expenses shall be paid by the Company; provided, however, that the Company shall not be required to pay any tax that may be payable in respect of any transfer involved in the registration of any certificates for Warrant Shares or the Warrants in a name other than that of the
| 4 | |
Warrant No. CS-1 | | |
Holder thereof. The Holder shall be responsible for all other tax liability that may arise as a result of holding or transferring this Warrant or receiving Warrant Shares upon exercise hereof.
(b)Each Holder agrees that applicable withholding taxes (including backup withholding) may be withheld from payments and deemed payments on or with respect to this Warrant, and if any such withholding taxes (including backup withholding) are paid on behalf of the Holder, then those withholding taxes may be set off against payments of cash or the delivery of shares of Common Stock or other consideration, if any, in respect of this Warrant (or any payments on Common Stock) or sales proceeds received by, or other funds or assets of, the Holder.
(c)On the Original Issue Date (or in the case of any transferee, the date such transferee becomes Holder), and thereinafter upon reasonable request or as required under applicable law, to the extent permitted by applicable law, tax forms or other documentation (including any applicable IRS Form W-8/W-9) reasonably satisfactory to the Company or other applicable withholding agent to establish an exemption from United States withholding tax on payments and deliveries hereunder as well as an exemption from, or a reduction in the rate of, U.S. withholding that may apply to any dividend or constructive dividend (e.g., under Section 305(c) of the Internal Revenue Code of 1986, as amended). The Company may determine in its reasonable discretion the amount and the timing of any such constructive dividend.
7.Replacement of Warrant. If this Warrant is mutilated, lost, stolen or destroyed, the Company shall issue or cause to be issued in exchange and substitution for and upon cancellation hereof, or in lieu of and substitution for this Warrant, a New Warrant, but only upon receipt of evidence reasonably satisfactory to the Company of such loss, theft or destruction (in such case) and, in each case, a customary and reasonable indemnity and surety bond, if requested by the Company. Applicants for a New Warrant under such circumstances shall also comply with such other reasonable regulations and procedures and pay such other reasonable third-party costs as the Company may prescribe. If a New Warrant is requested as a result of a mutilation of this Warrant, then the Holder shall deliver such mutilated Warrant to the Company as a condition precedent to the Company’s obligation to issue the New Warrant.
8.Reservation of Warrant Shares. The Company covenants that it will, at all times while this Warrant is issued and outstanding, reserve and keep available out of the aggregate of its authorized but unissued and otherwise unreserved shares of Common Stock, solely for the purpose of enabling it to issue Warrant Shares upon exercise of this Warrant as herein provided, the number of Warrant Shares that are initially issuable and deliverable upon the exercise of this entire Warrant, free from preemptive rights or any other contingent purchase rights of persons other than the Holder (taking into account the adjustments and restrictions of Section 9). The Company covenants that all Warrant Shares so issuable and deliverable shall, upon issuance and the payment of the applicable Exercise Price in accordance with the terms hereof, be duly and validly authorized, issued and fully paid and non-assessable. The Company will take all such action as may be reasonably necessary to assure that such shares of Common Stock may be issued as provided herein without violation of any applicable law or regulation, or of any requirements of any securities exchange or automated quotation system upon which the shares of Common Stock may be listed. The Company further covenants that it will not, without the prior written consent of the Holder, take any actions to increase the par value of the shares of Common Stock at any time while this Warrant is issued and outstanding.
9.Certain Adjustments. The Exercise Price and number of Warrant Shares issuable upon exercise of this Warrant are subject to adjustment from time to time as set forth in this Section 9.
(a)Stock Dividends and Splits. If the Company, at any time while this Warrant is issued and outstanding, (i) pays a stock dividend on its shares of Common Stock or otherwise makes a distribution on any class of capital shares issued and outstanding on the Original Issue Date and in
| 5 | |
Warrant No. CS-1 | | |
accordance with the terms of such stock on the Original Issue Date or as amended, as described in the Registration Statement, that is payable in shares of Common Stock, (ii) subdivides its issued and outstanding shares of Common Stock into a larger number of shares of Common Stock, (iii) combines its issued and outstanding shares of Common Stock into a smaller number of shares of Common Stock or (iv) issues by reclassification of capital shares any additional shares of Common Stock of the Company, then in each such case the number of Warrant Shares shall be multiplied by a fraction, the numerator of which shall be the number of shares of Common Stock issued and outstanding immediately before such event and the denominator of which shall be the number of shares of Common Stock issued and outstanding immediately after such event. Any adjustment made pursuant to clause (i) of this paragraph shall become effective immediately after the record date for the determination of stockholders entitled to receive such dividend or distribution, provided, however, that if such record date shall have been fixed and such dividend is not fully paid on the date fixed therefor, the number of Warrant Shares shall be recomputed accordingly as of the close of business on such record date and thereafter the number of Warrant Shares shall be adjusted pursuant to this paragraph as of the time of actual payment of such dividends. Any adjustment pursuant to clause (ii), (iii) or (iv) of this paragraph shall become effective immediately after the effective date of such subdivision or combination or reclassification.
(b)Pro Rata Distributions. If the Company, at any time while this Warrant is issued and outstanding, distributes to all holders of shares of Common Stock for no consideration (i) evidences of its indebtedness, (ii) any security (other than a distribution of shares of Common Stock covered by the preceding paragraph), (iii) rights or warrants to subscribe for or purchase any security, or (iv) cash or any other asset (in each case, “Distributed Property”), then, upon any exercise of this Warrant that occurs after the record date fixed for determination of stockholders entitled to receive such distribution, the Holder shall be entitled to receive, in addition to the Warrant Shares otherwise issuable upon such exercise (if applicable), the Distributed Property that such Holder would have been entitled to receive in respect of such number of Warrant Shares had the Holder been the record holder of such Warrant Shares immediately prior to such record date without regard to any limitation on exercise contained therein.
(c)Fundamental Transactions. If, at any time while this Warrant is issued and outstanding (i) the Company effects any merger or consolidation of the Company with or into another Person, in which the Company is not the surviving entity and in which the stockholders of the Company immediately prior to such merger or consolidation do not own, directly or indirectly, at least 50% of the outstanding capital stock or at least 50% of the voting power of the surviving entity immediately after such merger or consolidation, (ii) the Company effects any sale to another Person of all or substantially all of its assets in one transaction or a series of related transactions, (iii) pursuant to any tender offer or exchange offer (whether by the Company or another Person), holders of capital stock tender shares representing more than 50% of the outstanding capital stock of the Company or more than 50% of the voting power of the capital stock of the Company, and the Company or such other Person, as applicable, accepts such tender for payment, (iv) the Company consummates a share purchase agreement or other business combination (including, without limitation, a reorganization, recapitalization, spin-off or scheme of arrangement) with another Person whereby such other Person acquires more than 50% of the outstanding capital stock of the Company or more than 50% of the voting power of the capital stock of the Company (except for any such transaction in which the stockholders of the Company immediately prior to such transaction maintain, in substantially the same proportions, the voting power of such Person immediately after the transaction) or (v) the Company effects any reclassification of the shares of Common Stock or any compulsory share exchange pursuant to which the shares of Common Stock are effectively converted into or exchanged for other securities, cash or property (other than as a result of a subdivision or combination of shares of Common Stock covered by Section 9(a) above) (in any such case, a “Fundamental Transaction”), then following such Fundamental Transaction the Holder shall have the right to receive, upon exercise of this Warrant, the same amount and kind of securities, cash or property as it would have been entitled to receive upon the occurrence of such Fundamental Transaction if it had been, immediately prior to such
| 6 | |
Warrant No. CS-1 | | |
Fundamental Transaction, the holder of the number of Warrant Shares then issuable upon exercise in full of this Warrant without regard to any limitations on exercise contained herein (the “Alternate Consideration”). The Company shall not effect any Fundamental Transaction in which the Company is not the surviving entity or the Alternate Consideration includes securities of another Person unless (i) the Alternate Consideration consists solely of cash, solely of Marketable Securities or a combination of cash and Marketable Securities or (ii) prior to, simultaneously with or promptly following the consummation thereof, any successor to the Company, surviving entity or other Person (including any purchaser of assets of the Company) shall assume the obligation to deliver to the Holder such Alternate Consideration as, in accordance with the foregoing provisions, the Holder may be entitled to receive, and the other obligations under this Warrant. The provisions of this Section 9(c) shall similarly apply to subsequent transactions analogous of a Fundamental Transaction type. Notwithstanding anything to the contrary, in the event of a Fundamental Transaction, the Company or any successor entity to the Company shall, at the Holder’s option, exercisable at any time concurrently with, or within 30 days after, the consummation of the Fundamental Transaction (or, if later, the date of the public announcement of the applicable Fundamental Transaction), purchase this Warrant from the Holder by paying to the Holder an amount of cash equal to the Black Scholes Value (as defined below) of the remaining unexercised portion of this Warrant on the date of the consummation of such Fundamental Transaction; provided, however, that, if the Fundamental Transaction is not within the Company's control, including not approved by the Company's Board of Directors, the Holder shall only be entitled to receive from the Company or any successor entity to the Company the same type or form of consideration (and in the same proportion), at the Black Scholes Value of the unexercised portion of this Warrant, that is being offered and paid to the holders of Common Stock of the Company in connection with the Fundamental Transaction, whether that consideration be in the form of cash, stock or any combination thereof, or whether the holders of Common Stock are given the choice to receive from among alternative forms of consideration in connection with the Fundamental Transaction; provided, further, that if holders of Common Stock of the Company are not offered or paid any consideration in such Fundamental Transaction, such holders of Common Stock will be deemed to have received common stock of the successor entity (which entity may be the Company following such Fundamental Transaction) in such Fundamental Transaction. “Black Scholes Value” means the value of this Warrant based on the Black-Scholes Option Pricing Model obtained from the “OV” function on Bloomberg, L.P. (“Bloomberg”) determined as of the day of consummation of the applicable Fundamental Transaction for pricing purposes and reflecting (A) a risk-free interest rate corresponding to the U.S. Treasury rate for a period equal to the time between the date of the public announcement of the applicable contemplated Fundamental Transaction and the Termination Date, (B) an expected volatility equal to the greater of (1) the 30 day volatility, (2) the 100 day volatility or (3) the 365 day volatility, each of clauses (1)-(3) as obtained from the HVT function on Bloomberg (determined utilizing a 365 day annualization factor) as of the Trading Day immediately following the public announcement of the applicable contemplated Fundamental Transaction, (C) the underlying price per share used in such calculation shall be the highest VWAP during the period beginning on the Trading Day immediately preceding the public announcement of the applicable contemplated Fundamental Transaction (or the consummation of the applicable Fundamental Transaction, if earlier) and ending on the Trading Day of the Holder’s request pursuant to this Section 9(c), (D) a remaining option time equal to the time between the date of the public announcement of the applicable contemplated Fundamental Transaction and the Termination Date and (E) a zero cost of borrow. The payment of the Black Scholes Value will be made by wire transfer of immediately available funds (or such other consideration) within five (5) Trading Days of the Holder’s election (or, if later, on the date of consummation of the Fundamental Transaction).
(d)Exercise Price. Simultaneously with any adjustment to the number of Warrant Shares pursuant to Section 9, the Exercise Price shall be increased or decreased proportionately, so that after such adjustment the aggregate Exercise Price payable hereunder for the increased or decreased number of Warrant Shares shall be the same as the aggregate Exercise Price in effect immediately prior to such
| 7 | |
Warrant No. CS-1 | | |
adjustment. Notwithstanding the foregoing, in no event may the Exercise Price be adjusted below the par value of the shares of Common Stock then in effect.
(e)Calculations. All calculations under this Section 9 shall be made to the nearest one-millionth of one cent or the nearest share, as applicable.
(f)Notice of Adjustments. Upon the occurrence of each adjustment pursuant to this Section 9, the Company at its expense will, at the written request of the Holder, promptly compute such adjustment, in good faith, in accordance with the terms of this Warrant and prepare a certificate setting forth such adjustment, including a statement of the adjusted Exercise Price and adjusted number or type of Warrant Shares or other securities issuable upon exercise of this Warrant (as applicable), describing the transactions giving rise to such adjustments and showing in detail the facts upon which such adjustment is based. Upon written request, the Company will promptly deliver a copy of each such certificate to the Holder and to the Company’s transfer agent.
(g)Notice of Corporate Events. If, while this Warrant is issued and outstanding, the Company (i) declares a dividend or any other distribution of cash, securities or other property in respect of its shares of Common Stock, including, without limitation, any granting of rights or warrants to subscribe for or purchase any capital stock of the Company or any subsidiary, (ii) authorizes or approves, enters into any agreement contemplating or solicits stockholder approval for any Fundamental Transaction or (iii) authorizes the voluntary dissolution, liquidation or winding up of the affairs of the Company, then, except if such notice and the contents thereof shall be deemed to constitute material non-public information, the Company shall deliver to the Holder a notice of such transaction at least ten (10) days prior to the applicable record or effective date on which a Person would need to hold shares of Common Stock in order to participate in or vote with respect to such transaction; provided, however, that the failure to deliver such notice or any defect therein shall not affect the validity of the corporate action required to be described in such notice. In addition, if while this Warrant is issued and outstanding, the Company authorizes or approves, enters into any agreement contemplating or solicits stockholder approval for any Fundamental Transaction contemplated by Section 9(c), other than a Fundamental Transaction under clause (iii) of Section 9(c), then, except if such notice and the contents thereof shall be deemed to constitute material non-public information, the Company shall deliver to the Holder a notice of such Fundamental Transaction at least ten (10) days prior to the date such Fundamental Transaction is consummated.
(h)Voluntary Adjustment by Company. Subject to the rules and regulations of the trading market, the Company may at any time during the term of this Warrant reduce the then current Exercise Price to any amount and for any period of time deemed appropriate by the Board of Directors of the Company. The Company may extend the duration of this Warrant by delaying the Termination Date; provided, however, that the Company will provide notice of not less than ten (10) days to the Holder.
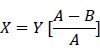
10.Payment of Cashless Exercise Price. If at the time of exercise hereof there is no effective registration statement registering, or the prospectus contained therein is not available for the issuance of the Warrant Shares to the Holder, then this Warrant may also be exercised, in whole or in part, at such time by means of a “cashless exercise” in which the Holder shall be entitled to receive a number of Warrant Shares in an exchange of securities effected pursuant to Section 3(a)(9) of the Securities Act as determined as follows:

where:
“X” equals the number of Warrant Shares to be issued to the Holder;
| 8 | |
Warrant No. CS-1 | | |
“Y” equals the total number of Warrant Shares with respect to which this Warrant is then being exercised (determined solely for purposes of this definition as if the Warrant were exercised by means of a cash exercise rather than a cashless basis);
“A” equals the last VWAP immediately preceding the delivery of the applicable Exercise Notice (to clarify, the “last VWAP” will be the last VWAP as calculated over an entire Trading Day such that, in the event that this Warrant is exercised at a time that the Trading Market is open, the prior Trading Day’s VWAP shall be used in this calculation); and
“B” equals the Exercise Price per Warrant Share then in effect on the Exercise Date.
For purposes of Rule 144 promulgated under the Securities Act, it is intended, understood and acknowledged that the Warrant Shares issued in such a “cashless exercise” transaction shall take on the registered characteristics of the Warrants being exercised and shall be deemed to have been acquired by the Holder, and the holding period for the Warrant Shares shall be deemed to have commenced, on the date this Warrant was originally issued (provided that the Commission continues to take the position that such treatment is proper at the time of such exercise).
Except as set forth in Section 5(b) or Section 13, in no event will the exercise of this Warrant be settled in cash.
11.Limitations on Exercise.
(a)Notwithstanding anything to the contrary contained herein, the Company shall not effect any exercise of this Warrant, and the Holder shall not be entitled to exercise this Warrant for a number of Warrant Shares in excess of that number of Warrant Shares which, upon giving effect or immediately prior to such exercise, would result in (i) the aggregate number of shares of Common Stock beneficially owned by the Holder, its Affiliates and any other Persons whose beneficial ownership of shares of Common Stock would be aggregated with the Holder’s for purposes of Section 13(d) of the Exchange Act (such as any other members of a Section 13(d) “group”) exceeding 4.99% (the “Maximum Percentage”) of the total number of issued and outstanding shares of Common Stock of the Company following such exercise, or (ii) the combined voting power of the securities of the Company beneficially owned by the Holder and its Affiliates and any other Persons whose beneficial ownership of shares of Common Stock would be aggregated with the Holder’s for purposes of Section 13(d) of the Exchange Act (such as any other members of a Section 13(d) “group”) exceeding 4.99% of the combined voting power of all of the securities of the Company then outstanding following such exercise. For purposes of this Warrant, in determining the number of outstanding shares of Common Stock, the Holder may rely on the number of outstanding shares of Common Stock as reflected in (x) the Company’s most recent Form 10-Q or Form 10-K, as the case may be, filed with the Commission prior to the date hereof, (y) a more recent public announcement by the Company or (z) any other notice by the Company or its transfer agent setting forth the number of shares of Common Stock outstanding. Upon the written request of the Holder, the Company shall within three (3) Trading Days confirm in writing or by electronic mail to the Holder the number of shares of Common Stock then outstanding. In any case, the number of outstanding shares of Common Stock shall be determined after giving effect to the conversion or exercise of securities of the Company, including this Warrant, by the Holder since the date as of which such number of outstanding shares of Common Stock was reported. By written notice to the Company, the Holder may from time to time increase or decrease the Maximum Percentage to any other percentage specified not in excess of 19.99% specified in such notice; provided that any such increase will not be effective until the sixty-first (61st) day after such notice is delivered to the Company. For purposes of this Section 11(a), the aggregate number of shares of Common Stock or voting securities beneficially owned by the Holder and its Affiliates and any other Persons whose beneficial ownership of shares of Common Stock would be aggregated with the Holder’s for purposes of Section 13(d) of the Exchange Act (such as any other members of a Section 13(d) “group”) shall include the shares of
| 9 | |
Warrant No. CS-1 | | |
Common Stock issuable upon the exercise of this Warrant with respect to which such determination is being made, but shall exclude the number of shares of Common Stock which would be issuable upon (x) exercise of the remaining unexercised and non-cancelled portion of this Warrant by the Holder and (y) exercise or conversion of the unexercised, non-converted or non-cancelled portion of any other securities of the Company that do not have voting power (including without limitation any securities of the Company which would entitle the holder thereof to acquire at any time shares of Common Stock, including without limitation any debt, preferred stock, right, option, warrant or other instrument that is at any time convertible into or exercisable or exchangeable for, or otherwise entitles the holder thereof to receive, shares of Common Stock), is subject to a limitation on conversion or exercise analogous to the limitation contained herein and is beneficially owned by the Holder or any of its Affiliates and other Persons whose beneficial ownership of shares of Common Stock would be aggregated with the Holder’s for purposes of Section 13(d) of the Exchange Act (such as any other members of a Section 13(d) “group”).
(b)This Section 11 shall not restrict the number of shares of Common Stock which a Holder may receive or beneficially own in order to determine the amount of securities or other consideration that such Holder may receive in the event of a Fundamental Transaction as contemplated in Section 9(c) of this Warrant.
12.No Fractional Shares. No fractional Warrant Shares will be issued in connection with any exercise of this Warrant. In lieu of any fractional shares that would otherwise be issuable, the number of Warrant Shares to be issued shall be rounded down to the next whole number and the Company shall pay the Holder in cash the fair market value (based on the last VWAP immediately preceding the time of delivery of the applicable Exercise Notice) for any such fractional shares.
13.Notices. Any and all notices or other communications or deliveries hereunder (including, without limitation, any Exercise Notice) shall be in writing and shall be deemed given and effective on the earliest of (i) the date of transmission, if such notice or communication is delivered via confirmed e-mail prior to 5:30 P.M., New York City time, on a Trading Day, (ii) the next Trading Day after the date of transmission, if such notice or communication is delivered via confirmed e-mail on a day that is not a Trading Day or later than 5:30 P.M., New York City time, on any Trading Day, (iii) the Trading Day following the date of mailing, if sent by nationally recognized overnight courier service specifying next business day delivery, or (iv) upon actual receipt by the Person to whom such notice is required to be given, if by hand delivery. The addresses and e-mail addresses for such communications shall be:
If to the Company:
BioXcel Therapeutics, Inc.
555 Long Wharf Drive
New Haven, CT 06511
Attention: Javier Rodriguez, Senior Vice President,
Chief Legal Officer and Corporate Secretary
Email: jrodriguez@bioxceltherapeutics.com
With a copy (which will not constitute notice) to:
Latham & Watkins LLP
200 Clarendon Street
Boston, MA 02116
Attn: Peter N. Handrinos; Keith L. Halverstam
Email: peter.handrinos@lw.com; keith.halverstam@lw.com
| 10 | |
Warrant No. CS-1 | | |
If to the Holder, to its address or e-mail address set forth herein or on the books and records of the Company.
Or, in each of the above instances, to such other address or e-mail address as the recipient party has specified by written notice given to each other party at least five (5) days prior to the effectiveness of such change.
14.Warrant Agent. The Company shall initially serve as warrant agent under this Warrant. Upon ten (10) days’ notice to the Holder, the Company may appoint a new warrant agent. Any corporation into which the Company or any new warrant agent may be merged or any corporation resulting from any consolidation to which the Company or any new warrant agent shall be a party or any corporation to which the Company or any new warrant agent transfers substantially all of its corporate trust or stockholders services business shall be a successor warrant agent under this Warrant without any further act. Any such successor warrant agent shall promptly cause notice of its succession as warrant agent to be mailed (by first class mail, postage prepaid) to the Holder at the Holder’s last address as shown on the Warrant Register.
15.Miscellaneous.
(a)No Rights as a Stockholder. The Holder, solely in such Person’s capacity as a holder of this Warrant, shall not be entitled to vote or receive dividends or be deemed the holder of capital stock of the Company for any purpose, nor shall anything contained in this Warrant be construed to confer upon the Holder, solely in such Person’s capacity as the Holder of this Warrant, any of the rights of a stockholder of the Company or any right to vote, give or withhold consent to any corporate action (whether any reorganization, issue of stock, reclassification of stock, consolidation, merger, amalgamation, conveyance or otherwise), receive notice of meetings, receive dividends or subscription rights, or otherwise, prior to the issuance to the Holder of the Warrant Shares which such Person is then entitled to receive upon the due exercise of this Warrant. In addition, nothing contained in this Warrant shall be construed as imposing any liabilities on the Holder to purchase any securities (upon exercise of this Warrant or otherwise) or as a stockholder of the Company, whether such liabilities are asserted by the Company or by creditors of the Company.
(b)Authorized Shares. Except and to the extent as waived or consented to by the Holder, the Company shall not by any action, including, without limitation, amending its certificate or articles of incorporation or through any reorganization, transfer of assets, consolidation, merger, amalgamation, dissolution, issue or sale of securities or any other voluntary action, avoid or seek to avoid the observance or performance of any of the terms of this Warrant, but will at all times in good faith assist in the carrying out of all such terms and in the taking of all such actions as may be necessary or appropriate to protect the rights of Holder as set forth in this Warrant against impairment. Without limiting the generality of the foregoing, the Company will (i) not increase the par value of any Warrant Shares above the amount payable therefor upon such exercise immediately prior to such increase in par value, (ii) take all such action as may be necessary or appropriate in order that the Company may validly and legally issue fully paid and non-assessable Warrant Shares upon the exercise of this Warrant, and (iii) use commercially reasonable efforts to obtain all such authorizations, exemptions or consents from any public regulatory body having jurisdiction thereof as may be necessary to enable the Company to perform its obligations under this Warrant.
(c)Successors and Assigns. Subject to compliance with applicable securities laws, this Warrant may be assigned by the Holder. This Warrant may not be assigned by the Company without the written consent of the Holder, except to a successor in the event of a Fundamental Transaction in which this Warrant is not automatically “cashless exercised”. This Warrant shall be binding on and inure to the benefit of the Company and the Holder and their respective successors and assigns. Subject to the preceding sentence, nothing in this Warrant shall be construed to give to any Person other than the Company and the Holder any legal or equitable right, remedy or cause of action under this Warrant. This Warrant may be amended only in writing signed by the Company and the Holder, or their successors and assigns.
| 11 | |
Warrant No. CS-1 | | |
(d)Amendment and Waiver. Except as otherwise provided herein, this Warrant may be modified or amended or the provisions hereof waived with the written consent of the Company and the Holder.
(e)Acceptance. Receipt of this Warrant by the Holder shall constitute acceptance of and agreement to all of the terms and conditions contained herein.
(f)Governing Law; Jurisdiction. ALL QUESTIONS CONCERNING THE CONSTRUCTION, VALIDITY, ENFORCEMENT AND INTERPRETATION OF THIS WARRANT SHALL BE GOVERNED BY AND CONSTRUED AND ENFORCED IN ACCORDANCE WITH THE LAWS OF THE STATE OF NEW YORK WITHOUT REGARD TO THE PRINCIPLES OF CONFLICTS OF LAW THEREOF. EACH OF THE COMPANY AND THE HOLDER HEREBY IRREVOCABLY SUBMITS TO THE EXCLUSIVE JURISDICTION OF THE STATE AND FEDERAL COURTS SITTING IN THE CITY OF NEW YORK, BOROUGH OF MANHATTAN, FOR THE ADJUDICATION OF ANY DISPUTE HEREUNDER OR IN CONNECTION HEREWITH OR WITH ANY TRANSACTION CONTEMPLATED HEREBY OR DISCUSSED HEREIN (INCLUDING WITH RESPECT TO THE ENFORCEMENT OF ANY OF THE TRANSACTION DOCUMENTS), AND HEREBY IRREVOCABLY WAIVES, AND AGREES NOT TO ASSERT IN ANY SUIT, ACTION OR PROCEEDING, ANY CLAIM THAT IT IS NOT PERSONALLY SUBJECT TO THE JURISDICTION OF ANY SUCH COURT. EACH OF THE COMPANY AND THE HOLDER HEREBY IRREVOCABLY WAIVES PERSONAL SERVICE OF PROCESS AND CONSENTS TO PROCESS BEING SERVED IN ANY SUCH SUIT, ACTION OR PROCEEDING BY MAILING A COPY THEREOF VIA REGISTERED OR CERTIFIED MAIL OR OVERNIGHT DELIVERY (WITH EVIDENCE OF DELIVERY) TO SUCH PERSON AT THE ADDRESS IN EFFECT FOR NOTICES TO IT AND AGREES THAT SUCH SERVICE SHALL CONSTITUTE GOOD AND SUFFICIENT SERVICE OF PROCESS AND NOTICE THEREOF. NOTHING CONTAINED HEREIN SHALL BE DEEMED TO LIMIT IN ANY WAY ANY RIGHT TO SERVE PROCESS IN ANY MANNER PERMITTED BY LAW. EACH OF THE COMPANY AND THE HOLDER HEREBY WAIVES ALL RIGHTS TO A TRIAL BY JURY.
(g)Headings. The headings herein are for convenience only, do not constitute a part of this Warrant and shall not be deemed to limit or affect any of the provisions hereof.
(h)Severability. In case any one or more of the provisions of this Warrant shall be invalid or unenforceable in any respect, the validity and enforceability of the remaining terms and provisions of this Warrant shall not in any way be affected or impaired thereby, and the Company and the Holder will attempt in good faith to agree upon a valid and enforceable provision which shall be a commercially reasonable substitute therefor, and upon so agreeing, shall incorporate such substitute provision in this Warrant.
[REMAINDER OF PAGE INTENTIONALLY LEFT BLANK]
| 12 | |
Warrant No. CS-1 | | |
IN WITNESS WHEREOF, the Company has caused this Warrant to be duly executed by its authorized officer as of the date first indicated above.
| BIOXCEL THERAPEUTICS, INC. | |
| | |
| By: | |
| Name: | Richard Steinhart |
| Title: | Senior Vice President and Chief Financial Officer |
| 13 | |
Warrant No. CS-1 | | |
Schedule 1
FORM OF EXERCISE NOTICE
[To be executed by the Holder to purchase shares of Common Stock under the Warrant]
Ladies and Gentlemen:
(1)The undersigned is the Holder of Warrant No. CS-1 (the “Warrant”) issued by BioXcel Therapeutics, Inc., a Delaware corporation (the “Company”). Capitalized terms used herein and not otherwise defined herein have the respective meanings set forth in the Warrant.
(2)The undersigned hereby exercises its right to purchase Warrant Shares pursuant to the Warrant.
(3)The Holder intends that payment of the Exercise Price shall be made as (check one):
☐Cash Exercise
☐“Cashless Exercise” under Section 10 of the Warrant
(4)Pursuant to this Exercise Notice, the Company shall deliver to the Holder Warrant Shares determined in accordance with the terms of the Warrant. The Warrant Shares shall be delivered to the following DWAC Account Number:
(5)By its delivery of this Exercise Notice, the undersigned represents and warrants to the Company that in giving effect to the exercise evidenced hereby the Holder will not beneficially own in excess of the number of shares of Common Stock (as determined in accordance with Section 13(d) of the Securities Exchange Act of 1934, as amended) permitted to be owned under Section 11(a) of the Warrant to which this notice relates.
Dated: | | |
| | |
Name of Holder: | | |
| | |
By: | | |
| | |
Name: | | |
| | |
Title: | | |
(Signature must conform in all respects to name of Holder as specified on the face of the Warrant)
| 14 | |
Warrant No. CS-1 | | |