Arthur Gold Project, Nevada Technical Report Summary on a Pre-feasibility Study Report current at: 31 December 2025 Report prepared for: AngloGold Ashanti plc Qualified Persons: Mr. Geoffrey Gushée, FAusIMM, Director: Geology Mr. Hamid Taghavi, RM SME, Manager: Mine Engineering and Planning AngloGold Ashanti Technical Report Summary for the Arthur Gold Project – current at 31 December 2025 __________________________________________________________________________________________ 26 March 2026 2 Forward looking statements Certain statements contained in this Technical Report Summary (Report), other than statements of historical fact, including, without limitation, those concerning metal price assumptions, cash flow forecasts, projected capital and operating costs, metal recoveries, mine life and production rates, and other assumptions used in this Report, are forward-looking statements. These forward-looking statements or forecasts are not based on historical facts, but rather reflect current beliefs and expectations concerning future events and generally may be identified by the use of forward-looking words, phrases and expressions such as “believe”, “expect”, “aim”, “anticipate”, “intend”, “foresee”, “forecast”, “predict”, “project”, “estimate”, “likely”, “may”, “might”, “could”, “should”, “would”, “seek”, “plan”, “scheduled”, “possible”, “continue”, “potential”, “outlook”, “target” or other similar words, phrases, and expressions; provided that the absence thereof does not mean that a statement is not forward-looking. Similarly, statements that describe objectives, plans or goals are or may be forward-looking statements. These forward-looking statements or forecasts involve known and unknown risks, uncertainties and other factors that may cause actual results, performance, actions or achievements to differ materially from the anticipated results, performance, actions or achievements expressed or implied in these forward-looking statements. Although AngloGold Ashanti plc (AngloGold Ashanti) believes that the expectations reflected in such forward- looking statements and forecasts are reasonable, no assurance can be given that such expectations will prove to have been correct. Accordingly, results, performance, actions or achievements could differ materially from those set out in the forward-looking statements as a result of, among other factors, changes in economic, social, political and market conditions, including related to inflation or international conflicts, the success of development and operating initiatives, changes in the regulatory environment and other government actions, including environmental approvals, fluctuations in gold prices and exchange rates, the lack of legal challenges or social opposition to our mines or facilities, the outcome of future litigation proceedings, any supply chain disruptions, any public health crises, pandemics or epidemics, the ultimate determination and realisation of Mineral Reserve, the existence or realisation of Mineral Resource, the availability and receipt of required approvals, titles, licences and permits, the availability of sufficient working capital, availability of a qualified work force, the timing and amount of future production, the ability to meet production, cost and capital expenditure targets, the timing and ability to produce studies and analyses, the ultimate ability to mine, process and sell mineral products on economically favourable terms and other timing, business and operational risks and challenges and other factors that may influence future events or conditions. These factors are not necessarily all of the important factors that could cause AngloGold Ashanti’s actual results, performance, actions or achievements to differ materially from those expressed in any forward-looking statements. Other unknown or unpredictable factors could also have material adverse effects on AngloGold Ashanti’s future results, performance, actions or achievements. Consequently, readers are cautioned not to place undue reliance on forward-looking statements. AngloGold Ashanti undertakes no obligation to update publicly or release any revisions to these forward-looking statements to reflect events or circumstances after the date hereof or to reflect the occurrence of unanticipated events, except to the extent required by applicable law. AngloGold Ashanti Technical Report Summary for the Arthur Gold Project – current at 31 December 2025 __________________________________________________________________________________________ 26 March 2026 3 Qualified Persons signatures page This Report is current at 31 December 2025. In preparing this Report, the Qualified Person(s) may have, where necessary, relied on the registrant, AngloGold Ashanti, company reports, property data, public information, and assumptions supplied by AngloGold Ashanti employees and other third party sources, including the reports and documents listed in Chapter 24 of this Report, available at the time of writing this Report. All information provided by AngloGold Ashanti has been identified in Chapter 25: Reliance on information provided by the registrant in this Report. QUALIFIED PERSONS /s/ Geoffrey Gushée Geoffrey Gushée, FAusIMM Director: Geology /s/ Hamid Taghavi Hamid Taghavi, RM SME Manager: Mine Engineering and Planning AngloGold Ashanti Technical Report Summary for the Arthur Gold Project – current at 31 December 2025 __________________________________________________________________________________________ 26 March 2026 4 Table of contents 1. Executive summary .................................................................................................................................. 14 1.1 Property description including mineral rights .................................................................................... 14 1.2 Ownership ....................................................................................................................................... 15 1.3 Geology and mineralisation ............................................................................................................. 15 1.4 Status of exploration, development and operations ......................................................................... 15 1.5 Mining methods ............................................................................................................................... 16 1.6 Mineral processing .......................................................................................................................... 16 1.7 Mineral Resource and Mineral Reserve estimates ........................................................................... 16 1.7.1 Mineral Resource estimates ........................................................................................................ 16 1.7.2 Mineral Resource statement ........................................................................................................ 16 1.7.2.1 Factors that may affect the Mineral Resource estimates ...................................................... 17 1.7.3 Mineral Reserve estimates .......................................................................................................... 18 1.7.4 Mineral Reserve statement .......................................................................................................... 18 1.7.4.1 Factors that may affect the Mineral Reserve estimates ........................................................ 18 1.8 Capital and operating costs ............................................................................................................. 19 1.8.1 Capital costs ................................................................................................................................ 19 1.8.2 Operating costs ........................................................................................................................... 19 1.9 Permitting requirements ................................................................................................................... 19 1.10 Conclusions and recommendations ................................................................................................. 19 2. Introduction .............................................................................................................................................. 20 2.1 Disclose registrant ........................................................................................................................... 20 2.2 Terms of reference ........................................................................................................................... 20 2.3 Purpose of this Report ..................................................................................................................... 20 2.4 Sources of information and data contained in the report or used in its preparation .......................... 21 2.5 Report date ...................................................................................................................................... 21 2.6 Qualified Person(s) site inspections ................................................................................................. 21 2.6.1 Mr. Geoffrey Gushée.................................................................................................................... 21 2.6.2 Mr. Hamid Taghavi ....................................................................................................................... 21 3. Property description ................................................................................................................................. 22 3.1 Location of the property ................................................................................................................... 22 3.2 Ownership ....................................................................................................................................... 25 3.3 Area of the property ......................................................................................................................... 25 3.4 Legal aspects (including environmental liabilities) and permitting .................................................... 26 3.5 Agreements, royalties and liabilities ................................................................................................. 27 4. Accessibility, climate, local resources, infrastructure and physiography ................................................... 27 4.1 Accessibility ..................................................................................................................................... 27 4.2 Climate ............................................................................................................................................ 28 4.3 Local resources and infrastructure ................................................................................................... 28


 
AngloGold Ashanti Technical Report Summary for the Arthur Gold Project – current at 31 December 2025 __________________________________________________________________________________________ 26 March 2026 5 4.4 Physiography ................................................................................................................................... 28 4.4.1 Topography, elevation, and vegetation ......................................................................................... 28 4.4.2 Surface water setting ................................................................................................................... 28 4.4.3 Surface water drainage ................................................................................................................ 28 4.4.4 Surface water recharge................................................................................................................ 29 5. History ..................................................................................................................................................... 29 6. Geological setting, mineralisation and deposit ......................................................................................... 29 6.1 Geological setting ............................................................................................................................ 29 6.1.1 Regional ...................................................................................................................................... 29 6.1.2 Local ............................................................................................................................................ 31 6.1.3 Property ....................................................................................................................................... 33 6.2 Geological model and data density .................................................................................................. 34 6.3 Mineralisation .................................................................................................................................. 37 7. Exploration ............................................................................................................................................... 42 7.1 Nature and extent of relevant exploration work ................................................................................ 42 7.2 Drilling techniques and spacing ....................................................................................................... 49 7.3 Results ............................................................................................................................................ 51 7.4 Locations of drill holes and other samples ....................................................................................... 52 7.5 Hydrogeology .................................................................................................................................. 54 7.5.1 Nature and quality of sampling methods ...................................................................................... 55 7.5.1.1 Hydrostratigraphic information ............................................................................................. 55 7.5.1.2 Groundwater levels and pressure response ......................................................................... 57 7.5.1.3 Hydraulic testing and inflow observations ............................................................................. 57 7.5.1.4 Surface water parameters (relevance to recharge/runoff inputs) .......................................... 57 7.5.2 Laboratory techniques for flow parameters and quality assurance and quality control (QA/QC) ... 57 7.5.3 Water quality laboratory testing (baseline characterisation) ......................................................... 57 7.5.4 Permeable zones/aquifers ........................................................................................................... 58 7.5.5 Recharge and discharge rates ..................................................................................................... 58 7.5.6 Water balance .............................................................................................................................. 58 7.5.7 Groundwater models used ........................................................................................................... 59 7.6 Geotechnical testing and analysis ................................................................................................... 59 7.6.1 Merlin deposit .............................................................................................................................. 59 7.6.1.1 Rock testing ......................................................................................................................... 60 7.6.1.2 Soil testing ........................................................................................................................... 60 7.6.2 Silicon deposit ............................................................................................................................. 60 7.6.2.1 Rock testing ......................................................................................................................... 60 8. Sample preparation, analysis and security ............................................................................................... 61 8.1 Sample preparation ......................................................................................................................... 61 8.2 Sampling governance ...................................................................................................................... 61 AngloGold Ashanti Technical Report Summary for the Arthur Gold Project – current at 31 December 2025 __________________________________________________________________________________________ 26 March 2026 6 8.3 Quality control and quality assurance (QA/QC)................................................................................ 62 8.3.1 Certified reference material .......................................................................................................... 62 8.3.2 Blank samples ............................................................................................................................. 62 8.3.3 Duplicates .................................................................................................................................... 63 8.4 Qualified Person's opinion on adequacy .......................................................................................... 63 9. Data verification ....................................................................................................................................... 63 9.1 Data verification procedures ............................................................................................................ 63 9.1.1 Internal reviews ........................................................................................................................... 63 9.1.2 External audit ............................................................................................................................... 63 9.2 Limitations on, or failure to conduct verification ............................................................................... 64 9.3 Qualified Person's opinion on data adequacy .................................................................................. 64 9.3.1 Mr. Geoffrey Gushée.................................................................................................................... 64 9.3.2 Mr. Hamid Taghavi ....................................................................................................................... 64 10. Mineral processing and metallurgical testing ....................................................................................... 64 10.1 Introduction ...................................................................................................................................... 64 10.2 Merlin deposit .................................................................................................................................. 65 10.2.1 Mineral processing and metallurgical testing ............................................................................ 65 10.2.1.1 Metallurgical sampling ...................................................................................................... 65 10.2.1.2 Mineralogy ....................................................................................................................... 67 10.2.1.3 Comminution testing ........................................................................................................ 68 10.2.1.4 Gravity recovery testwork ................................................................................................. 68 10.2.1.5 Flotation testwork ............................................................................................................. 68 10.2.1.6 Bottle roll cyanidation ....................................................................................................... 68 10.2.1.7 Solid liquid separation (SLS) tests .................................................................................... 69 10.2.1.8 Column leach tests ........................................................................................................... 69 10.2.2 Metallurgical results ................................................................................................................. 69 10.2.2.1 Comminution testing ........................................................................................................ 69 10.2.2.2 Gravity recovery testwork ................................................................................................. 70 10.2.2.3 Milling cyanidation ............................................................................................................ 70 10.2.2.4 Pressure filtration ............................................................................................................. 73 10.2.2.5 Heap leach cyanidation .................................................................................................... 73 10.2.2.6 Agglomeration .................................................................................................................. 77 10.3 Silicon deposit ................................................................................................................................. 78 10.3.1 Mineral processing and metallurgical testing ............................................................................ 78 10.3.2 Metallurgical results ................................................................................................................. 78 10.4 Qualified Person's opinion on data adequacy .................................................................................. 81 11. Mineral Resource estimates ................................................................................................................ 81 11.1 Introduction ...................................................................................................................................... 81 11.2 Merlin deposit .................................................................................................................................. 82 AngloGold Ashanti Technical Report Summary for the Arthur Gold Project – current at 31 December 2025 __________________________________________________________________________________________ 26 March 2026 7 11.2.1 Exploratory data analysis ......................................................................................................... 82 11.2.2 Geological model ..................................................................................................................... 82 11.2.3 Density assignment .................................................................................................................. 85 11.2.4 Grade capping/outlier restriction .............................................................................................. 86 11.2.5 Composites .............................................................................................................................. 87 11.2.6 Variography .............................................................................................................................. 88 11.2.7 Estimation methods ................................................................................................................. 90 11.2.8 Validation ................................................................................................................................. 91 11.2.9 Mineral Resource confidence classification .............................................................................. 91 11.2.10 Reasonable prospects of economic extraction ......................................................................... 91 11.2.11 Input assumptions .................................................................................................................... 92 11.2.12 Commodity price ...................................................................................................................... 92 11.2.13 Cut-off grade ............................................................................................................................ 92 11.3 Silicon deposit ................................................................................................................................. 93 11.3.1 Exploratory data analysis ......................................................................................................... 93 11.3.2 Geological model ..................................................................................................................... 94 11.3.3 Density assignment .................................................................................................................. 94 11.3.4 Grade capping/outlier restriction .............................................................................................. 95 11.3.5 Composites .............................................................................................................................. 95 11.3.6 Variography .............................................................................................................................. 96 11.3.7 Estimation methods ................................................................................................................. 97 11.3.8 Validation ................................................................................................................................. 97 11.3.9 Mineral Resource confidence classification .............................................................................. 98 11.3.10 Input assumptions .................................................................................................................... 98 11.3.11 Commodity price ...................................................................................................................... 98 11.3.12 Cut-off grade ............................................................................................................................ 98 11.4 Mineral Resource statement ............................................................................................................ 99 11.5 Factors that may affect the Mineral Resource estimates ................................................................ 101 11.5.1 Merlin deposit ........................................................................................................................ 101 11.5.2 Silicon deposit ........................................................................................................................ 101 11.6 Qualified Person's opinion ............................................................................................................. 102 12. Mineral Reserve estimates ................................................................................................................ 102 12.1 Key assumptions, parameters and methods used ......................................................................... 102 12.1.1 Modifying factors .................................................................................................................... 102 12.1.1.1 Environmental ................................................................................................................ 102 12.1.1.2 Dilution and ore loss ....................................................................................................... 103 12.1.1.3 Geotechnical .................................................................................................................. 103 12.1.1.4 Infrastructure .................................................................................................................. 103 12.1.1.5 Economic ....................................................................................................................... 103 AngloGold Ashanti Technical Report Summary for the Arthur Gold Project – current at 31 December 2025 __________________________________________________________________________________________ 26 March 2026 8 12.1.1.6 Metallurgical recoveries .................................................................................................. 103 12.1.1.7 Legal .............................................................................................................................. 104 12.1.1.8 Social ............................................................................................................................. 104 12.1.1.9 Governmental ................................................................................................................ 104 12.1.1.10 Royalties ........................................................................................................................ 104 12.1.1.11 Mining method................................................................................................................ 104 12.1.1.12 Hydrology/hydrogeology ................................................................................................. 104 12.1.1.13 Adjustment factors ......................................................................................................... 104 12.1.1.14 Processing ..................................................................................................................... 104 12.1.1.15 Cut-off grade .................................................................................................................. 105 12.2 Mineral Reserve classification and uncertainty .............................................................................. 106 12.3 Mineral Reserve summary ............................................................................................................. 106 12.4 Mineral Reserve statement ............................................................................................................ 106 12.5 Factors that may affect the Mineral Reserve estimates .................................................................. 107 12.6 Qualified Person's opinion ............................................................................................................. 108 13. Mining methods ................................................................................................................................. 108 13.1 Introduction .................................................................................................................................... 108 13.2 Geotechnical considerations .......................................................................................................... 109 13.3 Requirements for stripping, mining and backfilling ......................................................................... 111 13.4 Mine design ................................................................................................................................... 111 13.5 Waste dump design parameters .................................................................................................... 114 13.6 Surface waste dump and ore stockpile .......................................................................................... 115 13.6.1 Surface waste dump .............................................................................................................. 115 13.6.2 Ore stockpile .......................................................................................................................... 115 13.7 Production schedule ...................................................................................................................... 116 13.8 Mine equipment, machinery and personnel ................................................................................... 119 13.9 Final mine outline .......................................................................................................................... 119 14. Processing and recovery methods ..................................................................................................... 119 14.1 Comminution design criteria .......................................................................................................... 119 14.2 Mill process plant ........................................................................................................................... 121 14.2.1 Comminution .......................................................................................................................... 123 14.2.2 Gravity concentration ............................................................................................................. 124 14.2.3 CIL and adsorption circuit ...................................................................................................... 124 14.2.4 Adsorption, desorption and carbon regeneration circuit ......................................................... 124 14.2.5 Acid wash .............................................................................................................................. 124 14.2.6 Elution circuit – Pressure Zadra process ................................................................................ 125 14.2.7 Carbon regeneration and make-up addition ........................................................................... 125 14.2.8 Electrowinning and gold room ................................................................................................ 126 14.2.9 Tailings thickening and filtration.............................................................................................. 126


 
AngloGold Ashanti Technical Report Summary for the Arthur Gold Project – current at 31 December 2025 __________________________________________________________________________________________ 26 March 2026 9 14.2.10 Filtered tailing storage facility ................................................................................................. 126 14.2.11 Heap leach ............................................................................................................................ 126 14.2.12 Heap leach crushing .............................................................................................................. 128 14.2.13 Heap leach facility .................................................................................................................. 129 14.2.14 Carbon adsorption plant ......................................................................................................... 129 14.3 Reagents ....................................................................................................................................... 129 14.3.1 Milk of lime ............................................................................................................................. 129 14.3.2 Sodium cyanide ..................................................................................................................... 130 14.3.3 Sodium hydroxide (NaOH) ..................................................................................................... 130 14.3.4 Hydrochloric acid (HCl) .......................................................................................................... 130 14.3.5 Flocculant .............................................................................................................................. 130 14.3.6 Activated carbon .................................................................................................................... 130 14.3.7 Anti-scalant ............................................................................................................................ 130 14.3.8 Oxygen .................................................................................................................................. 130 14.3.9 Gold room smelting fluxes ...................................................................................................... 131 15. Infrastructure ..................................................................................................................................... 131 15.1 Access roads and site roads .......................................................................................................... 131 15.2 Water demand, supply, and management ...................................................................................... 131 15.3 Power ............................................................................................................................................ 131 15.4 Hydrocarbon demand, supply and infrastructure ............................................................................ 132 15.5 Built infrastructure .......................................................................................................................... 132 15.5.1 Transportation infrastructure .................................................................................................. 133 15.5.2 Mine access road, corridor and haul roads ............................................................................ 133 15.5.3 Industrial waste disposal facilities .......................................................................................... 133 15.5.4 Other infrastructure ................................................................................................................ 133 15.6 Transportation facilities .................................................................................................................. 134 15.6.1 Ground freight road ................................................................................................................ 134 15.6.2 Ground freight rail .................................................................................................................. 134 15.6.3 Sea freight ............................................................................................................................. 135 15.6.4 Air freight ............................................................................................................................... 135 15.7 Conclusion ..................................................................................................................................... 136 16. Market studies ................................................................................................................................... 136 16.1 Market for mine products ............................................................................................................... 136 16.2 Commodity price forecasts ............................................................................................................ 136 16.3 Contracts ....................................................................................................................................... 137 17. Environmental studies, permitting plans, negotiations, or agreements with local individuals or groups .... .......................................................................................................................................................... 137 17.1 Permitting ...................................................................................................................................... 137 17.2 Environmental ............................................................................................................................... 139 17.2.1 Requirements and plans for waste tailings disposal, site monitoring and water management 139 AngloGold Ashanti Technical Report Summary for the Arthur Gold Project – current at 31 December 2025 __________________________________________________________________________________________ 26 March 2026 10 17.3 Socio-economic impacts ................................................................................................................ 139 17.4 Mine closure and reclamation ........................................................................................................ 140 17.4.1 Closure and reclamation planning .......................................................................................... 141 17.5 Qualified Person's opinion on adequacy of current plans ............................................................... 141 17.6 Commitments to ensure local procurement and hiring ................................................................... 142 18. Capital and operating costs ............................................................................................................... 143 18.1 Introduction .................................................................................................................................... 143 18.2 Capital costs .................................................................................................................................. 143 18.3 Operating costs ............................................................................................................................. 144 18.4 Risk assessment ........................................................................................................................... 144 19. Economic analysis ............................................................................................................................. 145 19.1 Key assumptions, parameters and methods .................................................................................. 145 19.2 Taxes ............................................................................................................................................. 145 19.3 Results of economic analysis ......................................................................................................... 146 19.4 Sensitivity analysis ........................................................................................................................ 149 20. Adjacent properties ........................................................................................................................... 151 21. Other relevant data and information .................................................................................................. 151 22. Interpretation and conclusions ........................................................................................................... 151 22.1 Introduction .................................................................................................................................... 151 22.2 Geology and Mineralisation ........................................................................................................... 152 22.3 Mining methods and Mineral Reserve ............................................................................................ 152 22.4 Recovery methods ......................................................................................................................... 152 22.5 Infrastructure ................................................................................................................................. 153 22.6 Environmental aspects .................................................................................................................. 153 23. Recommendations ............................................................................................................................ 154 24. References ........................................................................................................................................ 155 24.1 References .................................................................................................................................... 155 24.1.1 External ................................................................................................................................. 155 24.1.2 Internal ................................................................................................................................... 155 24.2 Glossary of terms .......................................................................................................................... 156 24.3 Abbreviations and acronyms.......................................................................................................... 162 25. Reliance on information provided by the registrant ............................................................................ 165 26. Appendix ........................................................................................................................................... 167 List of figures Figure 3.1. Map of Nevada showing the location of Beatty. ............................................................................. 23 Figure 3.2. Map showing a portion of the Beatty district with locations of the currently proposed open pits for the Silicon and Merlin deposits as well as planned infrastructure. ......................................................................... 24 Figure 3.3. Outline of the AngloGold Ashanti claims in Nevada, USA, including the proposed Silicon and Merlin open pits. ........................................................................................................................................................ 25 AngloGold Ashanti Technical Report Summary for the Arthur Gold Project – current at 31 December 2025 __________________________________________________________________________________________ 26 March 2026 11 Figure 6.1. Graphic log of the principal stratigraphic divisions exposed in the Arthur Gold Project area. ......... 30 Figure 6.2. Regional overview of the Arthur Gold Project in relation to other AngloGold Ashanti-owned projects. ....................................................................................................................................................................... 31 Figure 6.3. Simplified geological map showing the locations of the Silicon and Merlin deposits. ..................... 32 Figure 6.4. Simplified plan view of the three main structural groups at the Merlin and Silicon deposits with outlines of the current mineralisation extents, major faults, and simplified open pit outlines. ........................... 33 Figure 6.5. Southwest to northeast cross-section view across the Silicon deposit, highlighting the location of gold mineralisation associated with the Silicon-Tramway fault corridor, elevation in metres above mean sea level. ............................................................................................................................................................... 35 Figure 6.6. West to east cross-section view across the Merlin deposit, highlighting the extent of gold mineralisation depicted by the block model (overlay volume showing gold grade in ppm) and the major down- to-the-east faults (e.g., Bare Mountains fault and Merlin fault). ........................................................................ 36 Figure 6.7. Silicon updated litho-structural model highlighting stratigraphy and stratigraphically controlled mineralisation depicted by grade shells hosted both in the Picture Rock and Sierra Blanca units as well as within the main fault corridor...................................................................................................................................... 37 Figure 6.8. Cross section: Merlin litho-structural model highlighting stratigraphy, silica-adularia alteration and mineralisation primarily hosted in the Bullfrog and Tram Tuffs of the Crater Flats Group. ................................ 39 Figure 6.9. Long section: Merlin litho-structural model highlighting stratigraphy and mineralisation depicted by the block model, primarily hosted in the Bullfrog and Tram Tuffs of the Crater Flat Group. .............................. 41 Figure 7.1. Map showing the Arthur Gold Project pit outlines and mercury (Hg) results from surface rock grab samples. ......................................................................................................................................................... 43 Figure 7.2. Map showing sample location for soil and spectral programme conducted in Silicon. ................... 44 Figure 7.3. Plan view map of the drill hole collars within the Merlin and Silicon deposits. ................................ 48 Figure 7.4. Map showing the Arthur Gold Project pit outlines, associated block model extents for the Silicon and Merlin block model, and exploration drillholes used in each model. ................................................................ 50 Figure 7.5. Cross section of the Silicon deposit showing mineralisation focused along the Tramway fault and preferentially hosted by the Picture Rock Rhyolite flow unit. ........................................................................... 53 Figure 7.6. Long section of the Merlin deposit highlights broad mineralised zones, especially within the Bullfrog and Tram Tuff. ................................................................................................................................................. 54 Figure 7.7. Selected groundwater testing and monitoring locations from Itasca reporting. .............................. 56 Figure 10.1. Merlin geometallurgical clusters of 30ft composites with grades above 0.2g/t gold. ..................... 66 Figure 10.2. Merlin sample locations by test program, Mineral Resource and Mineral Reserve pit shells........ 67 Figure 10.3. Merlin Bottle Roll Test Results, 2024 and 2025 Testing Programs (KCA MER02 and MLI 4903), results by grind size (P80 µm). ......................................................................................................................... 71 Figure 10.4. Gold recovery vs head grade by ore types, oxide material. ......................................................... 72 Figure 10.5. Silver recovery vs head grade. .................................................................................................... 73 Figure 10.6. Column leach test results. ........................................................................................................... 74 Figure 10.7. Coarse (1.7mm) bottle roll test results, composite grade below 1.7g/mt gold. ............................. 76 Figure 10.8. Coarse bottle test recovery versus HPGR column leach test recovery. ....................................... 77 Figure 10.9. Hydraulic conductivity at 122m simulated stack height. ............................................................... 78 Figure 11.1. Mineral Resource model boundaries for the Arthur Gold Project. ................................................ 81 Figure 11.2. Fault block boundaries for Merlin – plan view. ............................................................................. 84 Figure 13.1. Phase one of the Merlin open pit. .............................................................................................. 112 Figure 13.2. Phase two of the Merlin open pit. .............................................................................................. 113 AngloGold Ashanti Technical Report Summary for the Arthur Gold Project – current at 31 December 2025 __________________________________________________________________________________________ 26 March 2026 12 Figure 13.3. Phase three of the Merlin open pit. ............................................................................................ 114 Figure 13.4. Mineral Reserve plan pit, surface waste dump, ore stockpile area. ........................................... 115 Figure 13.5. Proposed Project layout for the Merlin open pit. ........................................................................ 116 Figure 14.1. Milling flowsheet - mill and CIL processing circuit process flow diagram. ................................... 122 Figure 14.2. Heap leach flowsheet - heap leach and CIC processing circuit process flow diagram. .............. 127 Figure 19.1. NPV Sensitivity analysis for the Merlin open pit. ........................................................................ 149 List of tables Table 1.1. Gold Mineral Resource statement. .................................................................................................. 17 Table 1.2. Silver Mineral Resource statement. ................................................................................................ 17 Table 1.3. Gold Mineral Reserve statement. .................................................................................................... 18 Table 1.4. Silver Mineral Reserve statement. .................................................................................................. 18 Table 6.1. Project alteration types based on thin section petrology and TerraSpec analysis. ........................... 38 Table 7.1. Geophysical surveys undertaken for exploration of the Project area. .............................................. 45 Table 7.2. Summary of exploration drilling type and operator. ......................................................................... 46 Table 7.3. Summary of the Arthur Gold Project exploration drill holes by year, hole type, and total depth for all operators......................................................................................................................................................... 51 Table 10.1. Metallurgical testing programs, Silicon and Merlin deposits. ......................................................... 65 Table 10.2. Comminution test results summary. .............................................................................................. 69 Table 10.3. Pilot HPGR test results summary. ................................................................................................. 70 Table 10.4. Column leach test results. ............................................................................................................. 74 Table 10.5. Silicon estimated recovery. ........................................................................................................... 80 Table 11.1. Fault block domains for Merlin. ..................................................................................................... 83 Table 11.2. Block model coding for lithological units. ....................................................................................... 85 Table 11.3. Bulk density assignment for un-estimated blocks. ......................................................................... 85 Table 11.4. Grade capping and distance restrictions by estimation domain. .................................................... 87 Table 11.5. Gaussian variogram parameters for gold per domain. ................................................................... 89 Table 11.6. Block model construction parameters for Merlin. ........................................................................... 90 Table 11.7. Calculation of breakeven cut-off grade for Merlin. ......................................................................... 92 Table 11.8. Data in the Silicon drill database. .................................................................................................. 93 Table 11.9. Specific gravity used in Silicon block model by redox and gold domain. ........................................ 94 Table 11.10. Statistics of gold composites for Silicon. ...................................................................................... 96 Table 11.11. Statistics of silver composites for Silicon. .................................................................................... 96 Table 11.12. Variogram parameters for gold per domain. ................................................................................ 96 Table 11.13. Search orientations for Silicon estimate. ..................................................................................... 97 Table 11.14. Block model construction parameters for Silicon. ........................................................................ 97 Table 11.15. Calculation of breakeven cut-off grade for Silicon........................................................................ 99 Table 11.16. Calculation of breakeven cut-off grade for Silicon processing. .................................................... 99 Table 11.17. Gold Mineral Resource statement. ............................................................................................ 100 Table 11.18. Silver Mineral Resource statement. ........................................................................................... 100


 
AngloGold Ashanti Technical Report Summary for the Arthur Gold Project – current at 31 December 2025 __________________________________________________________________________________________ 26 March 2026 13 Table 12.1. Merlin crushed leach recoveries. ................................................................................................ 103 Table 12.2. Merlin mill recoveries. ................................................................................................................. 104 Table 12.3. Mineral Reserve modifying factors for the Merlin open pit, current at 31 December 2025. .......... 105 Table 12.4. Inputs to gold cut-off grade by mineralisation type. ..................................................................... 105 Table 12.5. Gold Mineral Reserve statement. ................................................................................................ 107 Table 12.6. Silver Mineral Reserve statement. .............................................................................................. 107 Table 13.1. Merlin geotechnical domains....................................................................................................... 110 Table 13.2. Design specifications. ................................................................................................................. 110 Table 13.3. Mine schedule material movement by phase/period. .................................................................. 111 Table 13.4. Yearly mine production schedule in tonnes and ounces by year. ................................................. 118 Table 14.1. Design criteria for the mill process plant. .................................................................................... 119 Table 14.2. Design criteria for the heap leach operation. ............................................................................... 120 Table 15.1. Summary of proposed on-site buildings. ..................................................................................... 132 Table 15.2. Logistics study summary. ............................................................................................................ 136 Table 17.1. Key permits and authorisations. .................................................................................................. 138 Table 18.1. Capital costs included in the financial model for the Merlin open pit. ........................................... 143 Table 18.2. Operating costs used for the Merlin open pit. .............................................................................. 144 Table 19.1. Cash flow forecast for Merlin open pit. ........................................................................................ 146 Table 19.2. Cash flow forecast for Merlin open pit over the LOM. .................................................................. 147 Table 19.2. Cash flow forecast for Merlin open pit over the LOM (continued). ............................................... 148 Table 19.3. NPV Cash flow sensitivity to the gold price, grade processed, operating costs, capital. .............. 149 Table 19.4. NPV Cash flow sensitivity to the gold price. ................................................................................ 150 Table 19.5. Cash flow sensitivity to the Project capital costs. ........................................................................ 150 Table 19.6. Cash flow sensitivity to the gold grade. ....................................................................................... 150 Table 19.7. Cash flow sensitivity to the mine operating expenditure. ............................................................. 151 Table 19.8. Cash flow sensitivity to the processing operating expenditure..................................................... 151 AngloGold Ashanti Technical Report Summary for the Arthur Gold Project – current at 31 December 2025 __________________________________________________________________________________________ 26 March 2026 14 1. Executive summary 1.1 Property description including mineral rights This Technical Report Summary (the Report) was prepared for AngloGold Ashanti plc (AngloGold Ashanti) on the Arthur Gold Project (previously the Silicon and Expanded Silicon project, referred to as ‘the Project’ or the ‘Arthur Gold Project’) in Nevada, USA by Mr. Geoffrey Gushée, FAusIMM, and Mr. Hamid Taghavi, RM SME. The in-country operating subsidiary is AngloGold Ashanti North America Inc. (AngloGold Ashanti North America). The Arthur Gold Project is a development-stage property that includes the Silicon and Merlin gold deposits. A Mineral Reserve has been estimated for the Merlin deposit following project studies that support a pre-feasibility study. The Project is located approximately 12km east of the town of Beatty in Nye County, Nevada, 110km from Pahrump and 190km from Las Vegas, USA. The Project is within the Bare Mountains sub-district of the Bullfrog Hills-Bare Mountains District. AngloGold Ashanti North America controls approximately 7,938 unpatented and patented mining claims, covering roughly 155,500 acres in the Beatty district. These claims encompass multiple project areas and deposits, including the Arthur Gold Project. In the Beatty district, east of US Highway 95, AngloGold Ashanti controls a total of 5,685 unpatented lode mining claims, encompassing multiple deposits with 2,669 claims encompassing the Arthur Gold Project, and approximately 805 claims covering the Merlin and Silicon deposits. Silicon was first presented to AngloGold Ashanti in early-2016 as an earn-in option with then-owners Renaissance Gold Inc. (RenGold), with the option agreement signed 21 June 2017. This agreement gave AngloGold Ashanti an option to acquire a 100% interest in the Project through total payments of $3M to RenGold over three years. The option over the Arthur Gold Project was fully exercised on 3 June 2020, with RenGold (now Triple Flag Precious Metals) maintaining a 1% net smelter return (NSR). The NSR applies to certain claims and any additions resulting from AngloGold Ashanti’s acquisition and location of unpatented mining claims within a defined area of interest described in the option agreement. AngloGold Ashanti acquired Corvus Gold Inc. (Corvus Gold) in December 2021 and the Coeur Sterling, Inc. (Coeur Sterling) Crown and Sterling claims in November 2022, which consolidated the Arthur Gold Project land package with the Lynnda Strip and C-Horst discoveries, which cover the southern end of the Merlin deposit. There are no significant encumbrances affecting AngloGold Ashanti’s ability to hold or operate these claims beyond standard federal and state permitting requirements. Mining rights on federal land are obtained and maintained under established US federal and Nevada state mining laws, which provide a predictable legal and administrative framework for claim location, maintenance, and development. AngloGold Ashanti acquires and retains these mineral rights through annual claim maintenance filings and fees, compliance with applicable regulations, and satisfaction of any conditions imposed under approved operating permits. Activities that involve surface disturbance on federal land require approval of a Plan of Operations submitted to the Bureau of Land Management (BLM). Depending on the scope and potential impacts of the proposed activities, the Project may require an Environmental Assessment or a full Environmental Impact Statement under the National Environmental Policy Act. Once the Plan of Operations and related permits are reviewed, modified as necessary, and approved by the responsible agencies, AngloGold Ashanti then receives the right to conduct mining operations on the specified claims in accordance with the approved plans and permit conditions. In addition to the Triple Flag 1% NSR, there are certain claims within the Arthur Gold Project that are also subject to a 1.5% NSR allocated to Franco Nevada Corporation and Altius. The royalties have no buyback provisions. A small selection of claims is also subject to a 2.0% NSR in favour of Imperial Metals which is subject to a 50% buy back provision. No state or federal production royalties apply; however, the State of Nevada assesses a graduated Net Proceeds of Minerals tax on mining revenues, ranging from 0.75% to 1.1%. Exploration drilling completed at the Arthur Gold Project comprises 1,063 holes for a total of 528,620.7m. At Silicon 262 reverse circulation (RC) drill holes, 65 diamond drill holes (DD) and 40 RC pre-collar/diamond tail (RD) for a total of 146,109m were completed. At Merlin 138 RC, 48 DD, and 447 RD holes for a total of 373,305.7m were completed. Recent drilling focused on the Merlin deposit with Mineral Resource definition drilling to provide sufficient geological and grade confidence to support an Indicated Mineral Resource estimate. Other work completed on the property include detailed geological mapping at a 1:5,000 scale over a total of AngloGold Ashanti Technical Report Summary for the Arthur Gold Project – current at 31 December 2025 __________________________________________________________________________________________ 26 March 2026 15 58km2. Ground geophysics was carried out on the Project, including 1,307km of induced polarisation/resistivity, ground magnetics and gravity surveys. Geochemical sampling comprising outcrop rock chip sampling and a 2.6 x 2.3km soil survey was also carried out at various phases of the exploration programme. The drilling programme is continuing to infill and further delineate the deposit, as well as collect testwork material in support of further engineering studies. 1.2 Ownership The relevant land containing the Project Mineral Resource is owned by the US federal government. Use of this land is administered through the US Department of the Interior by the BLM. The US government is required by law to administer the claims in a manner that will facilitate multiple uses of the property whenever feasible (e.g., allowing for both prospecting and recreational uses of BLM land). Relevant US federal and Nevada state laws provide procedures through which mining enterprises can claim mining rights through what are known as unpatented mining claims. Once initially staked in accordance with federal and state statutes, AngloGold Ashanti can maintain its claims by submitting annual maintenance fees and additional filings reflecting their intent to maintain the claim. AngloGold Ashanti's unpatented mining claims, together with certain required permits that have already been obtained or will be obtained in due course, provide it the exclusive right to explore for and produce gold and certain other valuable minerals from the lands covered by the claims. There is no expiration of AngloGold Ashanti's rights to operation on its mining claims so long as required fees and filings are made in a timely manner. The Arthur Gold Project is 100% owned by AngloGold Ashanti North America Inc., which is wholly owned by AngloGold Ashanti plc. 1.3 Geology and mineralisation The two deposits lie within the southern extension of the Walker Lane mineral belt and overlies the far-western margins of the southwestern Nevada volcanic field. The southwestern Nevada volcanic field comprises an overlapping complex of calderas (Timber Mountain Caldera Complex) about 30km to the east of Silicon, that developed between 11 and 15Ma. The geology comprises a stack of rhyolitic ignimbrite sheets, cut by complex normal faulting. The Merlin and Silicon deposits are interpreted as a low sulphidation epithermal gold system. Mineralisation occurred during multiple hydrothermal events is interpreted to have occurred between ca. 13 and 11.6Ma associated with large scale ignimbrite events. Mineralisation at Merlin exhibits strong stratigraphic and structural controls. High-grade gold is associated with epithermal veins and vein stockworks (e.g. Lynnda Vein) and occasionally as gold grains on manganese oxide coated fractures. At Silicon the dominant structural control is the Silicon-Tramway fault corridor where high-grade gold is associated with epithermal veins and vein stockworks in close (±30m) proximity to the steeply dipping fault. Moderate grade (±0.5g/t gold) disseminated gold is closely associated with the Picture Rock rhyolite flow which has a near-horizontal geometry. At Merlin a significant portion of the low to moderate-grade mineralisation occurs as broad oxidised disseminated zones within silica-adularia altered Bullfrog Tuff and Tram Tuff units. Merlin mineralisation is cut off to the east by the normal displacement, east-dipping Bare Mountains fault. Mineralisation wanes to the south where it becomes narrower and low grade. Additional drilling is required to define the limits of mineralisation to the west and better understand the mineralisation and fault system between Merlin and Silicon to the north. In general, gold grades appear associated with the presence of silica-adularia alteration, veins with complex and diverse texture, and hematite/ manganese oxide staining. Two or more hydrothermal events, one related to the early formation adularia-quartz-pyrite mineralisation and a subsequent hydrothermal breccia/vein event are interpreted based on cross-cutting relationships. The oxidation profile extends to depths >500m. 1.4 Status of exploration, development and operations The Arthur Gold Project is classified as a development stage project. The Silicon deposit includes a Mineral Resource only. Exploration successes at the Merlin deposit pivoted activity from the Silicon deposit to the Merlin area in 2023, focusing on increasing confidence in the Merlin deposit to support further studies. The Merlin deposit has advanced to a pre-feasibility study level and includes a Mineral Resource and Mineral Reserve estimate. Further exploration, hydrogeological, and geotechnical drilling is currently underway to support progression to the next study phase. Baseline environmental and archaeological surveys have been completed AngloGold Ashanti Technical Report Summary for the Arthur Gold Project – current at 31 December 2025 __________________________________________________________________________________________ 26 March 2026 16 to support the Project, and additional surveys are in progress to collect additional data needed for advancement of the Project permitting. 1.5 Mining methods Silicon and Merlin are large medium-grade deposits, with a smaller high-grade strike. The nature of the mineralisation lends itself to conventional large-scale open pit mining. Mining is planned to be conducted using conventional drill-and-blast techniques, followed by load-and-haul operations using a fleet of large hydraulic excavators and electric rope shovels supported by rigid-frame haul trucks. Mined material will be transported to the run-of-mine (ROM) stockpile area, where it will be segregated into short-term and long- term stockpiles based on grade and processing destination prior to reclaim and delivery to the primary crushing circuit. The Merlin Mineral Reserve estimate supporting the mine plan has been prepared at the pre-feasibility study level and incorporates updated modifying factors, geotechnical parameters, and operational assumptions consistent with pre-feasibility study-level engineering. 1.6 Mineral processing Mineralised rock from the Merlin and Silicon open pits will be processed at a rate of 12.5Mtpa in an oxide mill (7Mtpa) or on a heap leach pad with tertiary crushing (5.5Mtpa). Mineralised material will be delivered to the crushing circuits or long-term stockpiles located near the open pit mine. Higher-grade ore will be three-stage crushed with gyratory crusher, cone crusher and high-pressure grinding rolls and ground to P80 106 µm in a ball mill closed with hydrocyclones. Centripetal concentrators will collect gravity recoverable gold and silver from the hydrocyclone underflow. Gravity concentrate will be processed on site by intensive sodium cyanide leaching. The ground slurry will be processed in a conventional carbon-in- leach (CIL) circuit, where sodium cyanide will be used to dissolve gold and silver from the mineralised material. Tailings will be filtered and placed in a dedicated impoundment for filtered tailings. Lower grade material will be three-stage crushed with gyratory crusher, cone crusher and high-pressure grinding rolls (HPGR) and agglomerated with cement in a drum agglomerator. The agglomerated ore will be conveyor stacked on a permanent heap leach pad. Sodium cyanide solution will be applied to percolate through the heap leach pad and dissolve gold and silver from the mineralised material. The gold and silver will be recovered from the pregnant solution in a vertical carbon in column (CIC) circuit. Loaded carbon produced from either the CIL circuit or the vertical CIC circuit will be processed in carbon desorption and regeneration circuit. Gold doré will be produced in an on-site facility and sold to a third party refinery. 1.7 Mineral Resource and Mineral Reserve estimates 1.7.1 Mineral Resource estimates The Merlin Mineral Resource is based on a $2,150/oz pit optimisation, considering the same costs of the Mineral Reserve for bulk mining with milling and heap leaching treatment to demonstrate reasonable prospects of economic extraction, based on cut-off grades to consider mining and treatment of oxide and transitional material. The Silicon Mineral Resource is based on a $1,750/oz pit optimisation. 1.7.2 Mineral Resource statement The Mineral Resource for mineralisation assumed to be amenable to open pit methods is reported in situ. The Mineral Resource is reported exclusive of the Mineral Resource converted to Mineral Reserve. Mineral Resource that is not Mineral Reserve does not have demonstrated economic viability. The Mineral Resource is current at 31 December 2025 and is shown in Table 1.1 (gold) and Table 1.2 (silver).


 
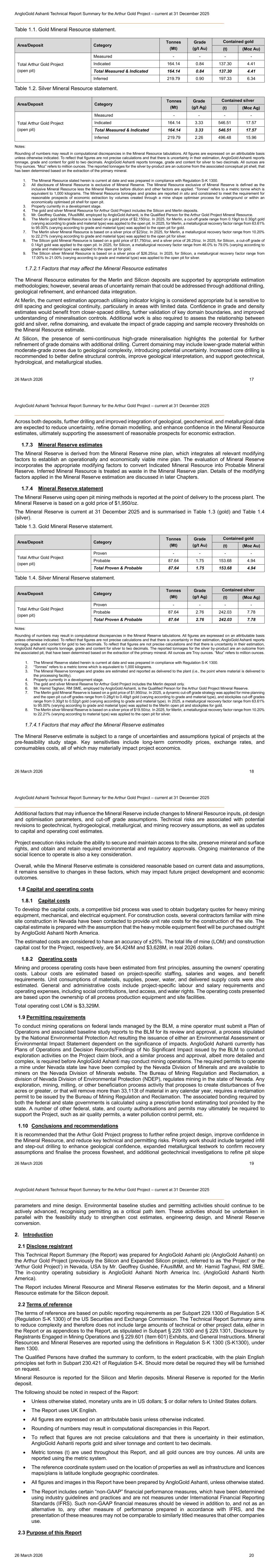
AngloGold Ashanti Technical Report Summary for the Arthur Gold Project – current at 31 December 2025 __________________________________________________________________________________________ 26 March 2026 17 Table 1.1. Gold Mineral Resource statement. Area/Deposit Category Tonnes (Mt) Grade (g/t Au) Contained gold (t) (Moz Au) Total Arthur Gold Project (open pit) Measured - - - - Indicated 164.14 0.84 137.30 4.41 Total Measured & Indicated 164.14 0.84 137.30 4.41 Inferred 219.79 0.90 197.33 6.34 Table 1.2. Silver Mineral Resource statement. Area/Deposit Category Tonnes (Mt) Grade (g/t Ag) Contained silver (t) (Moz Ag) Total Arthur Gold Project (open pit) Measured - - - - Indicated 164.14 3.33 546.51 17.57 Total Measured & Indicated 164.14 3.33 546.51 17.57 Inferred 219.79 2.26 496.48 15.96 Notes: Rounding of numbers may result in computational discrepancies in the Mineral Resource tabulations. All figures are expressed on an attributable basis unless otherwise indicated. To reflect that figures are not precise calculations and that there is uncertainty in their estimation, AngloGold Ashanti reports tonnage, grade and content for gold to two decimals. AngloGold Ashanti reports tonnage, grade and content for silver to two decimals. All ounces are Troy ounces. “Moz” refers to million ounces. The reported tonnages for the silver by-product are an outcome from the associated conceptual pit shell, that has been determined based on the extraction of the primary mineral. 1. The Mineral Resource stated herein is current at date and was prepared in compliance with Regulation S-K 1300. 2. All disclosure of Mineral Resource is exclusive of Mineral Reserve. The Mineral Resource exclusive of Mineral Reserve is defined as the inclusive Mineral Resource less the Mineral Reserve before dilution and other factors are applied. “Tonnes” refers to a metric tonne which is equivalent to 1,000 kilograms. The Mineral Resource tonnages and grades are reported in situ and constrained to meet the requirement for reasonable prospects of economic extraction by volumes created through a mine shape optimiser process for underground or within an economically optimised pit shell for open pit. 3. Property currently in a development stage. 4. The gold and silver Mineral Resource for Arthur Gold Project includes the Silicon and Merlin deposits. 5. Mr. Geoffrey Gushée, FAusIMM, employed by AngloGold Ashanti, is the Qualified Person for the Arthur Gold Project Mineral Resource. 6. The Merlin gold Mineral Resource is based on a gold price of $2,150/oz. In 2025, for Merlin, a cut-off grade range from 0.19g/t to 0.30g/t gold (varying according to grade and material type) was applied to the open pit. In 2025, for Merlin, a metallurgical recovery factor range from 63.61% to 95.00% (varying according to grade and material type) was applied to the open pit for gold. 7. The Merlin silver Mineral Resource is based on a silver price of $23/oz. In 2025, for Merlin, a metallurgical recovery factor range from 10.20% to 22.21% (varying according to grade and material type) was applied to the open pit for silver. 8. The Silicon gold Mineral Resource is based on a gold price of $1,750/oz, and a silver price of 26.25/oz. In 2025, for Silicon, a cut-off grade of 0.14g/t gold was applied to the open pit. In 2025, for Silicon, a metallurgical recovery factor range from 46.0% to 79.0% (varying according to grade and material type) was applied to the open pit for gold. 9. The Silicon silver Mineral Resource is based on a silver price of $26.25/oz. In 2025, for Silicon, a metallurgical recovery factor range from 17.00% to 21.00% (varying according to grade and material type) was applied to the open pit for silver. 1.7.2.1 Factors that may affect the Mineral Resource estimates The Mineral Resource estimates for the Merlin and Silicon deposits are supported by appropriate estimation methodologies; however, several areas of uncertainty remain that could be addressed through additional drilling, geological refinement, and enhanced data integration. At Merlin, the current estimation approach utilising indicator kriging is considered appropriate but is sensitive to drill spacing and geological continuity, particularly in areas with limited data. Confidence in grade and density estimates would benefit from closer-spaced drilling, further validation of key domain boundaries, and improved understanding of mineralisation controls. Additional work is also required to assess the relationship between gold and silver, refine domaining, and evaluate the impact of grade capping and sample recovery thresholds on the Mineral Resource estimate. At Silicon, the presence of semi-continuous high-grade mineralisation highlights the potential for further refinement of grade domains with additional drilling. Current domaining may include lower-grade material within moderate-grade zones due to geological complexity, introducing potential uncertainty. Increased core drilling is recommended to better define structural controls, improve geological interpretation, and support geotechnical, hydrological, and metallurgical studies. AngloGold Ashanti Technical Report Summary for the Arthur Gold Project – current at 31 December 2025 __________________________________________________________________________________________ 26 March 2026 18 Across both deposits, further drilling and improved integration of geological, geochemical, and metallurgical data are expected to reduce uncertainty, refine domain modelling, and enhance confidence in the Mineral Resource estimates, ultimately supporting the assessment of reasonable prospects for economic extraction. 1.7.3 Mineral Reserve estimates The Mineral Reserve is derived from the Mineral Reserve mine plan, which integrates all relevant modifying factors to establish an operationally and economically viable mine plan. The evaluation of Mineral Reserve incorporates the appropriate modifying factors to convert Indicated Mineral Resource into Probable Mineral Reserve. Inferred Mineral Resource is treated as waste in the Mineral Reserve plan. Details of the modifying factors applied in the Mineral Reserve estimation are discussed in later Chapters. 1.7.4 Mineral Reserve statement The Mineral Reserve using open pit mining methods is reported at the point of delivery to the process plant. The Mineral Reserve is based on a gold price of $1,950/oz. The Mineral Reserve is current at 31 December 2025 and is summarised in Table 1.3 (gold) and Table 1.4 (silver). Table 1.3. Gold Mineral Reserve statement. Area/Deposit Category Tonnes (Mt) Grade (g/t Au) Contained gold (t) (Moz Au) Total Arthur Gold Project (open pit) Proven - - - - Probable 87.64 1.75 153.68 4.94 Total Proven & Probable 87.64 1.75 153.68 4.94 Table 1.4. Silver Mineral Reserve statement. Area/Deposit Category Tonnes (Mt) Grade (g/t Ag) Contained silver (t) (Moz Ag) Total Arthur Gold Project (open pit) Proven - - - - Probable 87.64 2.76 242.03 7.78 Total Proven & Probable 87.64 2.76 242.03 7.78 Notes: Rounding of numbers may result in computational discrepancies in the Mineral Reserve tabulations. All figures are expressed on an attributable basis unless otherwise indicated. To reflect that figures are not precise calculations and that there is uncertainty in their estimation, AngloGold Ashanti reports tonnage, grade and content for gold to two decimals. To reflect that figures are not precise calculations and that there is uncertainty in their estimation, AngloGold Ashanti reports tonnage, grade and content for silver to two decimals. The reported tonnages for the silver by-product are an outcome from the associated pit, that have been determined based on the extraction of the primary mineral. All ounces are Troy ounces. “Moz” refers to million ounces. 1. The Mineral Reserve stated herein is current at date and was prepared in compliance with Regulation S-K 1300. 2. “Tonnes” refers to a metric tonne which is equivalent to 1,000 kilograms. 3. The Mineral Reserve tonnages and grades are estimated and reported as delivered to the plant (i.e., the point where material is delivered to the processing facility). 4. Property currently in a development stage. 5. The gold and silver Mineral Reserve for Arthur Gold Project includes the Merlin deposit only. 6. Mr. Hamid Taghavi, RM SME, employed by AngloGold Ashanti, is the Qualified Person for the Arthur Gold Project Mineral Reserve. 7. The Merlin gold Mineral Reserve is based on a gold price of $1,950/oz. In 2025, a dynamic cut-off grade strategy was applied for mine planning and the open pit cut-off grades range from 0.28g/t to 0.49g/t gold (varying according to grade and material type), and stockpiles cut-off grades range from 0.30g/t to 0.52g/t gold (varying according to grade and material type). In 2025, a metallurgical recovery factor range from 63.61% to 95.00% (varying according to grade and material type) was applied to the Merlin open pit and stockpiles for gold. 8. The Merlin silver Mineral Reserve is based on a silver price of $19.50/oz. In 2025, for Merlin, a metallurgical recovery factor range from 10.20% to 22.21% (varying according to material type) was applied to the open pit for silver. 1.7.4.1 Factors that may affect the Mineral Reserve estimates The Mineral Reserve estimate is subject to a range of uncertainties and assumptions typical of projects at the pre-feasibility study stage. Key sensitivities include long-term commodity prices, exchange rates, and consumables costs, all of which may materially impact project economics. AngloGold Ashanti Technical Report Summary for the Arthur Gold Project – current at 31 December 2025 __________________________________________________________________________________________ 26 March 2026 19 Additional factors that may influence the Mineral Reserve include changes to Mineral Resource inputs, pit design and optimisation parameters, and cut-off grade assumptions. Technical risks are associated with potential revisions to geotechnical, hydrogeological, metallurgical, and mining recovery assumptions, as well as updates to capital and operating cost estimates. Project execution risks include the ability to secure and maintain access to the site, preserve mineral and surface rights, and obtain and retain required environmental and regulatory approvals. Ongoing maintenance of the social licence to operate is also a key consideration. Overall, while the Mineral Reserve estimate is considered reasonable based on current data and assumptions, it remains sensitive to changes in these factors, which may impact future project development and economic outcomes. 1.8 Capital and operating costs 1.8.1 Capital costs To develop the capital costs, a competitive bid process was used to obtain budgetary quotes for heavy mining equipment, mechanical, and electrical equipment. For construction costs, several contractors familiar with mine site construction in Nevada have been contacted to provide unit rate costs for the construction of the site. The capital estimate is prepared with the assumption that the heavy mobile equipment fleet will be purchased outright by AngloGold Ashanti North America. The estimated costs are considered to have an accuracy of ±25%. The total life of mine (LOM) and construction capital cost for the Project, respectively, are $4,424M and $3,628M, in real 2026 dollars. 1.8.2 Operating costs Mining and process operating costs have been estimated from first principles, assuming the owners' operating costs. Labour costs are estimated based on project-specific staffing, salaries and wages, and benefit requirements. Unit consumptions of materials, supplies, power, water, and delivered supply costs were also estimated. General and administrative costs include project-specific labour and salary requirements and operating expenses, including social contributions, land access, and water rights. The operating costs presented are based upon the ownership of all process production equipment and site facilities. Total operating cost LOM is $3,329M. 1.9 Permitting requirements To conduct mining operations on federal lands managed by the BLM, a mine operator must submit a Plan of Operations and associated baseline study reports to the BLM for its review and approval, a process stipulated by the National Environmental Protection Act resulting the issuance of either an Environmental Assessment or Environmental Impact Statement dependent on the significance of impacts. AngloGold Ashanti currently has Plans of Operations and Decision Records/Findings of No Significant Impact issued by the BLM to conduct exploration activities on the Project claim block, and a similar process and approval, albeit more detailed and complex, is required before AngloGold Ashanti may conduct mining operations. The required permits to operate a mine under Nevada state law have been compiled by the Nevada Division of Minerals and are available to miners on the Nevada Division of Minerals website. The Bureau of Mining Regulation and Reclamation, a division of Nevada Division of Environmental Protection (NDEP), regulates mining in the state of Nevada. Any exploration, mining, milling, or other beneficiation process activity that proposes to create disturbances of five acres or greater, or that will remove more than 33,113t of material in any calendar year, requires a reclamation permit to be issued by the Bureau of Mining Regulation and Reclamation. The associated bonding required by both the federal and state governments is calculated using a prescriptive bond estimating tool provided by the state. A number of other federal, state, and county authorisations and permits may ultimately be required to support the Project, such as air quality permits, a water pollution control permit, etc. 1.10 Conclusions and recommendations It is recommended that the Arthur Gold Project progress to further refine project design, improve confidence in the Mineral Resource, and reduce key technical and permitting risks. Priority work should include targeted infill and step-out drilling to enhance geological confidence, expanded metallurgical testwork to confirm recovery assumptions and finalise the process flowsheet, and additional geotechnical investigations to refine pit slope AngloGold Ashanti Technical Report Summary for the Arthur Gold Project – current at 31 December 2025 __________________________________________________________________________________________ 26 March 2026 20 parameters and mine design. Environmental baseline studies and permitting activities should continue to be actively advanced, recognising permitting as a critical path item. These activities should be undertaken in parallel with the feasibility study to strengthen cost estimates, engineering design, and Mineral Reserve conversion. 2. Introduction 2.1 Disclose registrant This Technical Report Summary (the Report) was prepared for AngloGold Ashanti plc (AngloGold Ashanti) on the Arthur Gold Project (previously the Silicon and Expanded Silicon project, referred to as ‘the Project’ or the ‘Arthur Gold Project’) in Nevada, USA by Mr. Geoffrey Gushée, FAusIMM, and Mr. Hamid Taghavi, RM SME. The in-country operating subsidiary is AngloGold Ashanti North America Inc. (AngloGold Ashanti North America). The Report includes Mineral Resource and Mineral Reserve estimates for the Merlin deposit, and a Mineral Resource estimate for the Silicon deposit. 2.2 Terms of reference The terms of reference are based on public reporting requirements as per Subpart 229.1300 of Regulation S-K (Regulation S-K 1300) of the US Securities and Exchange Commission. The Technical Report Summary aims to reduce complexity and therefore does not include large amounts of technical or other project data, either in the Report or as appendices to the Report, as stipulated in Subpart § 229.1300 and § 229.1301, Disclosure by Registrants Engaged in Mining Operations and § 229.601 (Item 601) Exhibits, and General Instructions. Mineral Resources and Mineral Reserves are reported using the definitions in Regulation S-K 1300 (S-K1300), under Item 1300. The Qualified Persons have drafted the summary to conform, to the extent practicable, with the plain English principles set forth in Subpart 230.421 of Regulation S-K. Should more detail be required they will be furnished on request. Mineral Resource is reported for the Silicon and Merlin deposits. Mineral Reserve is reported for the Merlin deposit. The following should be noted in respect of the Report: • Unless otherwise stated, monetary units are in US dollars; $ or dollar refers to United States dollars. • The Report uses UK English. • All figures are expressed on an attributable basis unless otherwise indicated. • Rounding of numbers may result in computational discrepancies in this Report. • To reflect that figures are not precise calculations and that there is uncertainty in their estimation, AngloGold Ashanti reports gold and silver tonnage and content to two decimals. • Metric tonnes (t) are used throughout this Report, and all gold ounces are troy ounces. All units are reported using the metric system. • The reference coordinate system used on the location of properties as well as infrastructure and licences maps/plans is latitude longitude geographic coordinates. • All figures and images in this Report have been prepared by AngloGold Ashanti, unless otherwise stated. • The Report includes certain “non-GAAP” financial performance measures, which have been determined using industry guidelines and practices and are not measures under International Financial Reporting Standards (IFRS). Such non-GAAP financial measures should be viewed in addition to, and not as an alternative to, any other measure of performance prepared in accordance with IFRS, and the presentation of these measures may not be comparable to similarly titled measures that other companies use. 2.3 Purpose of this Report


 
AngloGold Ashanti Technical Report Summary for the Arthur Gold Project – current at 31 December 2025 __________________________________________________________________________________________ 26 March 2026 21 The purpose of this Report is to support public disclosure of Mineral Resource and Mineral Reserve estimates for the Arthur Gold Project current at 31 December 2025. This Report updates the following Technical Report Summaries previously filed by AngloGold Ashanti on the Arthur Gold Project: • 2023 Technical Report Summary, Expanded Silicon Project, Merlin deposit, An initial assessment report (dated at 31 December 2023). • 2021 Technical Report Summary, Silicon, An initial assessment report (dated at 31 December 2021). 2.4 Sources of information and data contained in the report or used in its preparation The reported estimates and supporting background information, conclusions, and opinions contained herein are based on AngloGold Ashanti reports, property data, public information, and assumptions supplied by AngloGold Ashanti employees and other third-party sources, including the reports and documents listed in Chapter 24 of this Report, available at the time of writing this Report. Unless otherwise stated, all figures and images were prepared by AngloGold Ashanti. All information provided by AngloGold Ashanti was identified in Chapter 25: Reliance on information provided by the registrant. 2.5 Report date Information in the Report is current at 31 December 2025. 2.6 Qualified Person(s) site inspections All of the Qualified Persons visit the Arthur Gold Project regularly on roster or on a quarterly basis. The Qualified Persons’ inspections are integral to maintaining the accuracy and compliance of Mineral Resource and Mineral Reserve estimations, with detailed reports provided to track and verify their findings across exploration, operations, infrastructure, and financial metrics. Each Qualified Person is responsible for the chapters identified below under each Qualified Person’s name in the following sub-chapters and has relied on information provided by AngloGold Ashanti as described in Chapter 25. 2.6.1 Mr. Geoffrey Gushée Mr. Geoffrey Gushée is an employee of AngloGold Ashanti and has been based full-time at the Nevada Project Office since January 2025, as Director: Geology. In the course of his duties, he regularly visits surface exploration activities and is familiar with site layout and infrastructure. He has oversight of drilling, logging, sampling, and assaying activities, including management of major drilling and assay laboratory contracts, and undertakes regular inspections of drill sites, core and sample preparation facilities, geological logging activities and assay laboratories. He has oversight of Mineral Resource estimates and completes regular field trips to review geology with exploration geologists. This familiarity with the Project serves as his scope of personal inspection. Mr. Geoffrey Gushée is responsible for the following chapters of this Report as well as the tables/figures associated with these sections: • Chapters 1.1, 1.2, 1.3, 1.4, 1.7.1, 1.7.2, and 1.10. • Chapters 2.1, 2.2, 2.3, 2.4, 2.5, and 2.6.1. • Chapters 3, 4, 5, and 6. • Chapters 7.1, 7.2, 7.3, and 7.4. • Chapter 8. • Chapters 9.1, 9.2, and 9.3.1. • Chapters 11, 20, and 21. • Chapters 22.1 and 22.2. • Chapters 24, 25 and 26. 2.6.2 Mr. Hamid Taghavi AngloGold Ashanti Technical Report Summary for the Arthur Gold Project – current at 31 December 2025 __________________________________________________________________________________________ 26 March 2026 22 Mr. Hamid Taghavi is an employee of AngloGold Ashanti and has served as Manager: Mine Engineering & Planning for the Nevada-based projects since July 2022. He is based full-time at the Nevada Project Office and is responsible for mine engineering and planning. In his role, Mr. Taghavi manages the Mine Planning team and provides technical leadership across Nevada- based development-stage assets. His responsibilities include oversight of mine design, life-of-mine planning, mining capital estimation, operating cost development, and integration of modifying factors into Mineral Resource and Mineral Reserve evaluations. He directs mine planning activities from feasibility and design through permitting, capital budgeting, construction planning, and operational readiness. Mr. Taghavi oversees mining capital cost estimation, develops project budgets, monitors financial performance, and maintains formal risk registers to identify and mitigate project risks. He works collaboratively with engineering, legal, permitting, environmental, and land management teams to ensure alignment with corporate objectives and regulatory requirements. He also manages external engineering and consulting firms, conducts technical reviews, and provides recommendations supporting Board-level investment decisions. Given the greenfield nature of the Nevada-based projects, Mr. Taghavi has conducted site inspections and field reviews related to drilling programs, safety audits, early-stage site development, site selection, and accessibility evaluations. Mr. Hamid Taghavi is responsible for the following sections of this Report as well as the tables/figures associated with these chapters: • Chapters 1.5, 1.6, 1.7.3, 1.7.4, 1.8, 1.9 and 1.10. • Chapter 2.6.2. • Chapters 7.5 and 7.6. • Chapters 9.2, and 9.3.2. • Chapters 10, 12, 13, 14, 15, 16, 17, 18, 19, 20, and 21. • Chapters 22.1, 22.3, 22.4, 22.5, and 22.6. • Chapters 23, 24 and 25. 3. Property description 3.1 Location of the property The Arthur Gold Project within the AngloGold Ashanti Beatty claims, is located approximately 12km east of the town of Beatty in Nye County, Nevada, 110km from Pahrump and 190km from Las Vegas (Figure 3.1). AngloGold Ashanti Technical Report Summary for the Arthur Gold Project – current at 31 December 2025 __________________________________________________________________________________________ 26 March 2026 23 Figure 3.1. Map of Nevada showing the location of Beatty. Note: Figure prepared by AngloGold Ashanti, 2025. Depicted in Figure 3.2 are the locations of the proposed open pits for the Silicon and Merlin deposits, as well as planned infrastructure. The coordinates of the Project are represented by the Merlin pit and are depicted on the map (Figure 3.2) in the geographic coordinate system (Merlin deposit centroid at 36°56’17’’ N, 116°37’54’’ W). AngloGold Ashanti Technical Report Summary for the Arthur Gold Project – current at 31 December 2025 __________________________________________________________________________________________ 26 March 2026 24 Figure 3.2. Map showing a portion of the Beatty district with locations of the currently proposed open pits for the Silicon and Merlin deposits as well as planned infrastructure. Note: Figure prepared by AngloGold Ashanti, 2025. AGA: AngloGold Ashanti. The state of Nevada is considered a low risk, politically stable, well-regulated and highly rated mining jurisdiction. Mining in the US has the benefit of occurring in a US dollar denominated jurisdiction with relatively low inflation and easy access to key commodity and other suppliers. The Project is currently at the pre-feasibility study stage for potential development as an open pit mine with processing by heap leach and oxide milling methods. Open pit mining, heap leaching, and oxide milling are each well established in gold mining in the western US and the state of Nevada.


 
AngloGold Ashanti Technical Report Summary for the Arthur Gold Project – current at 31 December 2025 __________________________________________________________________________________________ 26 March 2026 25 3.2 Ownership The Arthur Gold Project is 100% owned by AngloGold Ashanti North America Inc. (AngloGold Ashanti North America), which is a wholly owned AngloGold Ashanti subsidiary. AngloGold Ashanti is the sole owner of all the federal unpatented lode mining claims discussed in Chapter 3.3. There are no other owners or lessors associated with the Arthur Gold Project. 3.3 Area of the property AngloGold Ashanti North America controls approximately 7,938 unpatented and patented mining claims, covering roughly 63,000 hectares in the Beatty district (Figure 3.3). Figure 3.3. Outline of the AngloGold Ashanti claims in Nevada, USA, including the proposed Silicon and Merlin open pits. Note: Figure Prepared by AngloGold Ashanti, 2025. AGA: AngloGold Ashanti. AngloGold Ashanti Technical Report Summary for the Arthur Gold Project – current at 31 December 2025 __________________________________________________________________________________________ 26 March 2026 26 The claims are located in Nye County, Nevada, USA and are described under the Public Land Survey System, primarily within Townships 10, 11, 12, 13 and 14 south, Ranges 46, 47, 47.5, and 48 east, Mt. Diablo Base and Meridian. These claims encompass multiple project areas and deposits, including the Arthur Gold Project, which comprises the Merlin and Silicon deposits discussed in this Report. In 2022, AngloGold Ashanti North America expanded its Nevada footprint with the acquisition of Corvus Gold and then Coeur Sterling, Inc (Coeur Sterling), a wholly owned subsidiary of Coeur Mining Inc., which held properties immediately to the south of the Project. AngloGold Ashanti controls a total of 5,685 (approximately 43,000 hectares) unpatented lode mining claims east of US Highway 95 (US-95) in the Beatty District, encompassing multiple deposits with 2,669 claims (approximately 20,000 hectares) encompassing the Arthur Gold Project, and approximately 805 claims covering the Merlin/Silicon deposit. The list of AngloGold Ashanti's mineral claims east of US-95 is shown in Appendix 1. Potential surface infrastructure locations were identified. These locations were investigated and used as the basis to develop engineering, capital estimates, and operational costs for this study; however, these are subject to change based on continued evaluation of mineralisation within the relevant lands, potential development options, and other relevant factors. 3.4 Legal aspects (including environmental liabilities) and permitting The relevant lands containing the Silicon and Merlin deposits are owned by the US federal government. AngloGold Ashanti, through the claim staking/maintenance process prescribed by statute, has the right to control and use the federal lands for the purposes of prospecting, exploring, developing, and operating a mine, subject to acquisition of certain required permits. This use includes both surface and subsurface operations. Use is not exclusive, and certain federal claims may have easements granted by the federal government, or in some instances the federal lands may be used for purposes other than mining (e.g. off-road recreational vehicle use). In all instances, however, AngloGold Ashanti has the legal right to use the federal land (surface and subsurface), once properly permitted, for its mining activities. So long as AngloGold Ashanti maintains mining (lode and mill) claims in accordance with federal and state law, there is no expiration of AngloGold Ashanti's right to use the land for exploration and/or mining purposes. AngloGold Ashanti currently has permits with Bureau of Land Management (BLM) and the Nevada Division of Environmental Protection’s (NDEP) Bureau of Mining Regulation and Reclamation for three authorised Exploration Plan of Operations to conduct exploration activities on the Silicon, Crown, and Mother Lode claim blocks, which include the Merlin deposit. The permits for activities on public lands are based on Environmental Assessments that contain environmental baseline data on biological species, cultural resources, climate and local physical characteristics. Reclamation Permits with the BLM and NDEP stipulate reclamation requirements and bonding costs for these projects. Under state and federal law, AngloGold Ashanti has reclamation/closure obligations (liability), and the liabilities must be secured by a bond procured by AngloGold Ashanti. The value of the bonds is prescribed by the State of Nevada according to a formula specified and accepted by the state, and the value is adjusted as the Project proceeds and expands its surface disturbances from exploration through production. The State of Nevada will retain the bonds associated with each of the Exploration Plan of Operations until all closure requirements are met by the Project. Closure planning associated with the Exploration Plan of Operations are conceptual at the Report date. The required closure content at the time of initial application to mine must have sufficient technical detail to align with the bonding for closure. The key state element will be the cost forecast for closure planning. The cost estimates will be determined using an industry-agency reclamation calculator that codifies and links most closure activities to standardised equipment and earthmoving costs. As to future permitting, AngloGold Ashanti will refer to the BLM 3809 regulations and Nevada Division of Minerals comprehensive list of required permits to guide its mine permit planning process to seek authorisation for a Mine Plan of Operations. In the case of the Project, AngloGold Ashanti has followed the process described above to obtain and hold unpatented mining claims covering the deposit areas. The US government continues to hold the ultimate title to the lands subject to these claims and is required by law to administer the claims in a manner that will facilitate multiple uses of the property whenever feasible (e.g., allowing for both prospecting and recreational uses of BLM land). However, AngloGold Ashanti’s unpatented lode mining claims, together with certain required permits that have already been obtained or will be obtained in due course, provide it the exclusive right to explore for and produce gold from the lands covered by the claims. AngloGold Ashanti Technical Report Summary for the Arthur Gold Project – current at 31 December 2025 __________________________________________________________________________________________ 26 March 2026 27 During the exploration stage, AngloGold Ashanti is not authorised to restrict third party access to public lands covered by its unpatented mining claims for non-mining purposes, such as recreation. As the Project advances, AngloGold Ashanti will seek BLM authorisation to install fencing and limit access for safety reasons as part of its requests in the Mine Plan of Operations. In summary, AngloGold Ashanti presently holds the exclusive rights to explore for, mine, and produce gold from the Project (which encompasses the Silicon and Merlin mineral deposits, subject to acquisition of certain required permits which are not yet ready for application) by virtue of its ownership of unpatented mining claims covering the relevant lands. These rights can (and will) be maintained through AngloGold Ashanti's continued compliance with the BLM’s annual claim maintenance requirements, including required filings and payments of annual fees. So long as AngloGold Ashanti complies with the defined processes for submitting permit applications at both the state and federal level, there are no known impediments to AngloGold Ashanti obtaining the required permits. Government and statutory requirements are specified in well-established federal and state statutes and regulations controlling, in large part, the permitting process. A Preliminary Legal Register of all applicable federal, state and local statutes was prepared and will be periodically updated throughout the permitting process and operations. Further, a detailed matrix of all permitting requirements was also prepared, which will be used by the Project team to guide permitting activities at the local, state and federal level. The NDEP’s Bureau of Mining Regulation and Reclamation regulates mining in the state of Nevada. Any exploration, mining, milling, or other beneficiation process activity that proposes to create disturbance of five acres or greater, or that will remove in excess of 33,113t of material in any calendar year requires a reclamation permit to be issued by the Bureau of Mining Regulation and Reclamation. Depending on the nature of AngloGold Ashanti operations in Nevada, a number of other state permits may ultimately be required such as an Air Quality Operating Permit and a Water Pollution Control Permit. 3.5 Agreements, royalties and liabilities Apart from the underlying royalties, AngloGold Ashanti is not aware of any material liens or other significant encumbrances affecting the unpatented mining claims that would materially impair access to the property or the ability to conduct exploration or development activities. The claims must be maintained in good standing through the payment of annual federal maintenance fees and compliance with applicable recording requirements with the BLM and the relevant county recorder. Failure to maintain claims in accordance with these requirements could result in forfeiture of the claims. No material permit violations, enforcement actions, fines, or penalties related to the mineral tenure are known based on the information reviewed. There is an underlying 2.5% net smelter return (NSR) royalty which applies to certain claims within the Arthur Gold Project. The royalty is divided between Triple Flag Precious Metals (previously RenGold) (1% NSR), Franco Nevada Corporation (1% NSR) and Altius Minerals (0.5% NSR). There are no buyback provisions. A small selection of claims is also subject to a 2% NSR in favour of Imperial Metals which is subject to a proportionate buy-back right. There are no royalties that are required to be paid to either the state or federal government. However, the State of Nevada imposes a tax on gross revenues deriving from mining production, which is a graduated tax ranging in value from 0.75% to 1.1%. AngloGold Ashanti must acquire all necessary federal, state and local permits as identified in the Project’s permit matrix that is in development. The federal and state permitting processes require baseline data collection to support the analysis of Project-related impacts and will run in parallel along an approximately 18-month timeline. The National Environmental Policy Act permitting process includes an analysis of physical, biological and cultural resource impacts and associated Applicant Committed Environmental Protection Measures that will be developed in collaboration with cooperating federal, state and local entities. Part of this process includes Section 7 consultation with the US Fish and Wildlife Service that will include AngloGold Ashanti pursuing an Incidental Take Permit for golden eagle nests and mitigation plans for other threatened and endangered species that must be approved by the agency. 4. Accessibility, climate, local resources, infrastructure and physiography 4.1 Accessibility The Arthur Gold Project is located within the Bare Mountains sub-district, of the Bullfrog Hills-Bare Mountains district, approximately 12km east of the town of Beatty in Nye County, Nevada, 110km from Pahrump, and 190km from Las Vegas. Access to the Project site is via 17km of unpaved road off Interstate Highway US-95, AngloGold Ashanti Technical Report Summary for the Arthur Gold Project – current at 31 December 2025 __________________________________________________________________________________________ 26 March 2026 28 approximately 2.4km south of Beatty. A municipal airport is located immediately south of Beatty with the nearest commercial airport located in Las Vegas. The nearest railroad terminal is also located in Las Vegas. Commercial flights to Las Vegas, access from public roads, and deliveries from logistical hubs are available year-round with only minor and short interruptions due to weather and other common transportation issues. 4.2 Climate The climate is arid, with hot summers and cool winters; occasional snowfall may occur at elevation. Average annual temperatures range from -1°C to 37°C and are rarely below -6°C or above 40°C. The hot season (average daily high temperature greater than 30°C) lasts for four months (late May to late September), while the cold season (average daily low temperature less than 5°C) lasts for about four months (mid-November to mid- March). Precipitation is generally low and typically bimodal, January to March and August to October, with winter storms and late-summer monsoonal events. The precipitation generally occurs in two seasons. The summer rains can be more intense (e.g. Hurricane Hilary (2023) which measured precipitation rates reaching approximately 10.2cm of rain in 36 hours). In general, the winters are relatively mild, and summer seasons have periods of extreme heat. Average annual precipitation is 113mm/year as measured at the Beatty station. Evaporation/evapotranspiration rates are high relative to precipitation (consistent with Mojave Desert conditions). Annual evapotranspiration rates calculated at the Beatty weather station are 1,550mm/year using the American Society of Civil Engineers (ASCE) method and 1,900mm/year using the Penman-Monteith method. Pan evaporation rates in Beatty are 2,692mm/year and at the site are calculated from elevation and temperature relationships to be in the range of 1,753 to 2,149mm/year. 4.3 Local resources and infrastructure In the Beatty area, municipal water supply is provided by the Beatty Water and Sanitation District (for town users), and groundwater development and appropriation is regulated by the Nevada Division of Water Resources. Current work is being undertaken to acquire water rights in the affected hydrographic basins, and includes the hydrogeological, environmental and permitting work to establish and permit the required points of diversion for these water rights. The availability of labour within the town of Beatty and surrounding areas is limited. Skilled industrial labour is available from the southern Nevada area (Pahrump and Las Vegas) and experienced mining labour can be recruited from the western United States where similar operations are active. Details on the local sources for power and water are included in Chapter 15. 4.4 Physiography 4.4.1 Topography, elevation, and vegetation The Project lies on the northern margin of the Mojave Desert within Basin-and-Range physiography. Topography ranges from desert plains and low hills to locally steep, rocky terrain. Total relief across the Project area is approximately 366m, with elevations ranging from ~1,091 to 1,460m above mean sea level. Vegetation is sparse desert scrub typical of the region (e.g., creosote and saltbush-type communities). 4.4.2 Surface water setting No perennial surface watercourses are present within the Project area; drainage is via ephemeral channels that convey storm-runoff during infrequent high-intensity precipitation events. 4.4.3 Surface water drainage Two principal ephemeral drainages occur near the site: • Tates Wash draining generally east then south-southeast toward Crater Flats, this is technically a subbasin of the much larger Crater Flats Basin. This subbasin for Tates Wash contains the proposed


 
AngloGold Ashanti Technical Report Summary for the Arthur Gold Project – current at 31 December 2025 __________________________________________________________________________________________ 26 March 2026 29 open pit, crushing, processing, heap leach, and tailings storage facilities (TSFs) along with most of the overburden stockpile areas. • Beatty Wash draining west toward Oasis Valley where it ultimately joins the Amargosa River upstream of Beatty. Surface-water management will prioritise minimising contact water and any potential releases toward Beatty Wash due to sensitive downstream receptors. 4.4.4 Surface water recharge Surface water recharge rates from precipitation and surface flows are very low in the Arthur Gold Project area and are primarily limited to the periodic storm flows in Beatty Wash and Tates Wash that route water to the unconsolidated coarse-grained alluvial sediments in the washes downgradient of the site for infiltration and recharge to the groundwater system close to the Amargosa River. 5. History Small-scale historical opal-cinnabar workings are scattered throughout the Arthur Gold Project area, with an inferred low total production. Ceramic-grade high-purity silica was mined from a small open cut and adits within acid-leached Topopah Spring Tuff at the Silicon mine between 1919 and 1929 (Kral, 1951). An area of mercury mineralisation to the immediate south and southwest of the Silicon deposit was drill tested with vertical rotary drill holes in the early 1990s. These reportedly contained local intervals of anomalous gold (Ristorcelli and Ernst, 1991). The main zone of water-table silica and advanced argillic alteration at the Silicon deposit was never drill- tested. The Merlin area was drill-tested with shallow (<500ft) vertical rotary holes in the late 1980s to early 1990s. The historic drill holes did not intersect gold mineralisation due to the shallow drilling depths. The Arthur Gold Project resides within the greater Bullfrog Hills - Bare Mountain district. Regionally there are bonanza quartz-adularia veins and disseminated bulk tonnage gold deposits in volcanic rocks to the west (Bullfrog, YellowJacket, Mayflower, North Bullfrog), and Carlin-like deposits (Mother Lode, Sterling, Daisy) in varying rock types to the south. The Silicon area was first presented to AngloGold Ashanti in early-2016 as an earn-in option with then-owners RenGold, with the option agreement signed on 21 June 2017. Upon completion of the option payments in 2020, AngloGold Ashanti acquired a 100% interest in the unpatented claims, subject to a 1% NSR royalty retained by RenGold (now Triple Flag Precious Metals) on any future production. Exploration drilling in the Crown block by Coeur Sterling discovered the C-Horst mineralisation in 2020, which is the southern margin of the Merlin deposit in the footwall of the Bare Mountains fault. Corvus Gold drilled on claims to the north of C-Horst after the C-Horst discovery in 2020 and 2021, on what Corvus Gold called the Lynnda Strip. AngloGold Ashanti claims north of the Lynnda Strip were part of the original Silicon claim block with initial drilling at the Merlin deposit in 2021. AngloGold Ashanti now controls both the C-Horst and Lynnda Strip areas through the acquisition of Corvus Gold in early 2022 and a land-cash transaction with Coeur Sterling in late 2022. Since 2018, AngloGold Ashanti has been advancing the Project through exploration and engineering studies. A pre-feasibility study was completed on the Merlin deposit in Q4 2025. 6. Geological setting, mineralisation and deposit 6.1 Geological setting 6.1.1 Regional The Arthur Gold Project lies immediately to the southwest of the Timber Mountain-Oasis Valley caldera complex in the southwestern Nevada volcanic field. The geology is dominated by Miocene rhyolites and related epiclastic units deposited between 11 and 15Ma. The stratigraphic nomenclature for Tertiary units used in this Report is largely based on Carr et al. (1996) with minor revisions. A simplified graphic log of the host volcanic stratigraphy to the deposit is illustrated in Figure 6.1. AngloGold Ashanti Technical Report Summary for the Arthur Gold Project – current at 31 December 2025 __________________________________________________________________________________________ 26 March 2026 30 Figure 6.1. Graphic log of the principal stratigraphic divisions exposed in the Arthur Gold Project area. Note: Figure prepared by AngloGold Ashanti, 2025. A regional overview map is shown in Figure 6.2. AngloGold Ashanti Technical Report Summary for the Arthur Gold Project – current at 31 December 2025 __________________________________________________________________________________________ 26 March 2026 31 Figure 6.2. Regional overview of the Arthur Gold Project in relation to other AngloGold Ashanti-owned projects. Note: Figure prepared by AngloGold Ashanti, 2025. 6.1.2 Local The Arthur Gold Project comprises the Silicon and Merlin deposits (Figure 6.3). AngloGold Ashanti Technical Report Summary for the Arthur Gold Project – current at 31 December 2025 __________________________________________________________________________________________ 26 March 2026 32 Figure 6.3. Simplified geological map showing the locations of the Silicon and Merlin deposits. Note: Figure prepared by AngloGold Ashanti, 2025. The local geology is dominated by pyroclastic deposits (principally ignimbrite), with minor lava domes and volcanogenic-sedimentary mass-flow deposits, and minor sedimentary facies. The oldest units encountered in drill hole core at the Merlin deposit are the sedimentary rocks of Joshua Hollow which are the oldest tertiary units in the deposit areas. Superimposed on these carbonaceous siltstones and mudstones are ignimbrites attributed to the Pioneer Formation and the Sierra Blanca Tuff. The overlying Lithic Ridge Tuff is poorly-to- moderately welded, contains up to 20% intermediate and mafic lithic fragments, and displays lateral thickness variations. The domes are ascribed to the Picture Rock Rhyolite (14Ma) and comprise glassy, spherulitic, pumiceous and flow banded lavas. The Crater Flat Group comprises widespread rhyolitic ignimbrite sheets of the Tram Tuff and overlying Bullfrog Tuff. Each unit is distinguished by mineralogy, welding intensity and lithic content. The Crater Flat Group is overlain conformably by the Paint Brush Group, which comprises aphanitic, phenocryst- poor, densely welded rhyolitic ignimbrites erupted between 12.8Ma and 12.7Ma. The Claim Canyon caldera, the well-constrained source of the Tiva Canyon Tuff and related Yucca Mountain Tuff, abuts the Timber Mountain caldera, approximately 5.4km to the east of the Silicon deposit.


 
AngloGold Ashanti Technical Report Summary for the Arthur Gold Project – current at 31 December 2025 __________________________________________________________________________________________ 26 March 2026 33 A thick sequence of volcanogenic sedimentary and tuffaceous sandstone facies (Owl Canyon sequence) was deposited above an angular erosional unconformity that cut down into the tilted Crater Flat Group and Paint Brush Group between 12.7Ma and 11.62Ma. Shallowing of bedding dips stratigraphically upwards in the Owl Canyon sequence is interpreted to record progressive infilling of the extensional pull-apart basins and burial of spatially and temporally related faults. 6.1.3 Property The Project area hosts two main fault groups (Figure 6.4). Figure 6.4. Simplified plan view of the three main structural groups at the Merlin and Silicon deposits with outlines of the current mineralisation extents, major faults, and simplified open pit outlines. Note: Figure prepared by AngloGold Ashanti, 2025. DTW: Down to the west; DTE: Down to the east; DTSW: Down to the southwest. AngloGold Ashanti Technical Report Summary for the Arthur Gold Project – current at 31 December 2025 __________________________________________________________________________________________ 26 March 2026 34 The first is defined by northwest to southeast trending sub-vertical faults e.g. the Tramway-Thompson fault corridor, while the second group comprises north-northeast to south-southwest trending normal faults e.g. the Merlin fault and the Bare Mountain fault. While the first group dominates in the Silicon deposit area, both groups are important as mineralisation controls in the Merlin deposit. The structural data collected to the Report date indicates that the Merlin area sits within a dilational zone between two overstepping strike-slip northwest to southeast-trending fault zones. The northern fault zone is defined by Tramway-Thompson fault system, and the southern fault zone is visible in only geophysics, being buried under younger sediments. There is also a set of late joints overprinting both major fault groups. The joints are sub-vertical with a north-northeast to south- southwest orientation and have no mineral infill. Low-sulphidation epithermal deposits typically yield high-grade gold and silver hosted within quartz-adularia- carbonate veins and vein stockworks. Broad ‘disseminated’ gold mineralisation associated with pyrite and silicification often accompanies the vein mineralisation. The deposits originate from near-neutral pH, reduced hydrothermal fluids that are predominantly meteoric water mixed with a minor magmatic component. The primary mechanism for metal precipitation is fluid boiling triggered by rapid pressure drops as fluids ascend toward the surface. Pressure drops cause the loss of volatile gasses which triggers the deposition of metals in specific ‘boiling zones’. Examples include the Hishikari mine in Japan and the Round Mountain mine in Nevada. Exploration at the Arthur Gold Project targets both vein-hosted and disseminated mineralisation which are typically found within an approximately 150m thick boiling zone approximately 300-400m below surface. The Arthur Gold Project displays mineralisation styles typical for low sulphidation epithermal systems including stratigraphically controlled disseminated mineralisation and quartz vein-stockwork mineralisation. The disseminated mineralisation event at Merlin appears to pre-date a later quartz veining event based on cross- cutting relationships. Generally, the disseminated mineralisation is found within brittle units (e.g. glassy rhyolite flows, strongly welded crystal-rich tuffs). During deposition of the disseminated mineralisation, joints and fractures within the favourable units appear to have focused epithermal fluids along lateral flow paths. The later quartz vein-stockwork mineralisation occurs within select structures and is consistent with vertical flow paths based on epithermal vein zonation and grade distribution. Wall-rock lithology is a secondary control on the vein- style mineralisation where, again, brittle lithologies are the most favourable. Silver does occur with gold in Merlin, but primarily within quartz veining. The disseminated mineralisation is typically silver-poor. The Lynnda Vein in the Merlin deposit can have silver to gold ratios of up to 10:1. The total thickness of mineralisation is typically 150m. 6.2 Geological model and data density The 3D geological models were constructed to support the evaluation of a potential large-scale open-pit mining scenario within a large epithermal gold system. The Arthur Gold Project drilling programme is guided by the geological interpretation of regional-local stratigraphy and the structural offsets of the stratigraphic units, which form the baseline structural architecture of the models. Within the Silicon deposit (Figure 6.5), exploration is directed towards the Tramway-Silicon fault corridor, identified as the principal conduit for hydrothermal fluid flow. AngloGold Ashanti Technical Report Summary for the Arthur Gold Project – current at 31 December 2025 __________________________________________________________________________________________ 26 March 2026 35 Figure 6.5. Southwest to northeast cross-section view across the Silicon deposit, highlighting the location of gold mineralisation associated with the Silicon-Tramway fault corridor, elevation in metres above mean sea level. Note: Figure prepared by AngloGold Ashanti, 2025. SW: southwest; NE: northeast; Au ppm: parts per million gold; g/t Au: grams per tonne gold. This corridor serves as the sub-vertical foundation for modelling mineralisation domains. Current exploration efforts prioritise delving into secondary-tertiary structural influences on mineralisation. The focus extends to maintaining comprehensive volumes of mineralisation, alteration, oxidation, and stratigraphy with topological coherence. These volumes are continuously updated, serving as essential resources for infill drill planning and extending exploration in multiple directions: northwest, southwest, southeast, and down-plunge of known mineralisation. Oxidation and alteration models provide the basis for metallurgical domaining and shake leach recovery models. The Merlin deposit (Figure 6.6) infill drill programme was designed with 40m spaced drill holes targeting the Bullfrog and Tram Tuffs, as well as the key structures controlling mineralisation. AngloGold Ashanti Technical Report Summary for the Arthur Gold Project – current at 31 December 2025 __________________________________________________________________________________________ 26 March 2026 36 Figure 6.6. West to east cross-section view across the Merlin deposit, highlighting the extent of gold mineralisation depicted by the block model (overlay volume showing gold grade in ppm) and the major down-to-the-east faults (e.g., Bare Mountains fault and Merlin fault). Note: Figure prepared by AngloGold Ashanti, 2025. W: west; E: east; Au ppm: parts per million gold.


 
AngloGold Ashanti Technical Report Summary for the Arthur Gold Project – current at 31 December 2025 __________________________________________________________________________________________ 26 March 2026 37 The programme focused on down-to-the-west structures, which acted as primary conduits for high-grade mineralisation, and down-to-the-east structures that offset the mineralisation. This approach aims to unravel the complexities of these structural features, enhancing geological understanding and optimising exploration outcomes. 6.3 Mineralisation Mineralisation at the Silicon deposit occurs in two discrete zones: low-grade disseminated mineralisation (average 0.1-1g/t gold) and a higher-grade core (average 2-5g/t gold). Both zones exhibit a strong structural control, and the geological model has been constructed to reflect these two domains of mineralisation. Higher- grade mineralisation is strongly associated with the emplacement of hydrothermal breccias whose matrix is composed of black quartz-pyrite or in quartz ± pyrite veinlet zones. Gold is commonly present either as <0.1mm native gold/gold-silver grains or encapsulated in pyrite. Pre-existing faults, particularly the Silicon-Tramway fault system, strongly controlled the emplacement of the hydrothermal breccias and quartz ±pyrite veinlet zones. In lower-grade intervals, the disseminated mineralisation forms broad and dispersed envelopes, primarily within the rhyolite flow of the Picture Rock stratigraphic unit (Figure 6.7). Figure 6.7. Silicon updated litho-structural model highlighting stratigraphy and stratigraphically controlled mineralisation depicted by grade shells hosted both in the Picture Rock and Sierra Blanca units as well as within the main fault corridor. Note: Figure prepared by AngloGold Ashanti, 2025. SW: southwest; NE: northeast; g/t Au: grams per tonne gold. Rhyolite flow-hosted mineralisation is characterised by strong silica-adularia-illite alteration, crackle textures, increased pyrite concentration, and local moderate- to steeply-dipping quartz veins. AngloGold Ashanti Technical Report Summary for the Arthur Gold Project – current at 31 December 2025 __________________________________________________________________________________________ 26 March 2026 38 Significant minerals present at the Merlin deposit are summarised in the alteration type and assemblages in Table 6.1, based primarily on thin section petrology and spectral analyses. Table 6.1. Project alteration types based on thin section petrology and TerraSpec analysis. Alteration Feldspar Sites Mafic Sites Groundmass Assemblage Veinlets Silica cap quartz ± pyrite, quartz ± pyrite quartz or quartz quartz, or chalcedony or chalcedony chalcedony chalcedony Silica adularia Illite quartz-illite quartz quartz-adularia- illite±pyrite quartz-illite±pyrite Advanced Argillic alunite-kaolinite illite-pyrite-kaolinite- alunite-quartz alunite-quartz kaolinite, ± pyrite Feox rims ±quartz ± kaolinite alunite Illitic illite-clay-quartz illite-pyrite-clay- quartz + clay quartz-illite-pyrite quartz ± pyrite, ± pyrite ± calcite Feox rims ± quartz + pyrite -smectite clay - pyrite Argillic clay-quartz ± illite + quartz + clay + quartz kaolinite + smectite quartz ± pyrite Illite Feox rims ± chlorite ± pyrite + quartz ± illite Propylitic calcite ± quartz chlorite quartz-calcite- calcite-chlorite- calcite ± ± clay ± chlorite ± chlorite ± quartz chlorite ± hematite quartz Note: FeOx = iron oxide. Silica-adularia alteration is strongly correlated with the highest gold grades at the Merlin deposit, predominantly occurring within the Crater Flats Group. Swelling clays (e.g. montmorillonite and smectite) can be found within the argillic and illitic alteration zones (Figure 6.8). AngloGold Ashanti Technical Report Summary for the Arthur Gold Project – current at 31 December 2025 __________________________________________________________________________________________ 26 March 2026 39 Figure 6.8. Cross section: Merlin litho-structural model highlighting stratigraphy, silica-adularia alteration and mineralisation primarily hosted in the Bullfrog and Tram Tuffs of the Crater Flats Group. Note: Figure prepared by AngloGold Ashanti, 2025. W: west; E: east. AngloGold Ashanti Technical Report Summary for the Arthur Gold Project – current at 31 December 2025 __________________________________________________________________________________________ 26 March 2026 40 Fresh pyrite is found within the unoxidised and transitional oxidation zones at the Merlin deposit and may impact metallurgical recovery. The unoxidised and transitional oxidation zones are captured in the Merlin oxidation model. The weathering typically extends >500m from surface, deeper that the planned Mineral Reserve open pit. The Merlin deposit has a current strike length of 2.7km and a width of 1.7km and typical thickness of 150m. The mineralisation is cut off to the east by the east-dipping Bare Mountain fault. The offset of the Bare Mountain fault is interpreted to be post-mineral with an estimated 1km normal displacement. The hanging wall of the Bare Mountain fault has not been tested. Mineralisation tenor appears to decrease to the south, with apparent narrowing of mineralised zones and lower grades evident. Additional drilling is required to define the limits of mineralisation to the west and better understand the mineralisation and fault system between the Merlin deposit and the Silicon deposit to the north. Mineralisation sitting east of the Merlin fault and west of the Bare Mountain fault is the most well-defined block from drilling of the Merlin deposit. The block has a 2km strike length and width of 550m. It plunges at 5-10° towards northeast, dips at 30-40° to the west, and has an average thickness of 150m. The Merlin deposit exhibits two primary styles of mineralisation: disseminated alteration-controlled and fault/vein-controlled. Disseminated gold mineralisation shows a strong correlation with the intensity of hydrothermal alteration and host lithology (Figure 6.9).


 
AngloGold Ashanti Technical Report Summary for the Arthur Gold Project – current at 31 December 2025 __________________________________________________________________________________________ 26 March 2026 41 Figure 6.9. Long section: Merlin litho-structural model highlighting stratigraphy and mineralisation depicted by the block model, primarily hosted in the Bullfrog and Tram Tuffs of the Crater Flat Group. Note: Figure prepared by AngloGold Ashanti, 2025. Au ppm: parts per million gold. AngloGold Ashanti Technical Report Summary for the Arthur Gold Project – current at 31 December 2025 __________________________________________________________________________________________ 26 March 2026 42 The Crater Flats Group serves as a favourable host for both disseminated and vein-style mineralisation due to its brittle nature, providing an excellent conduit for fluid flow. Core logging from diamond drill (DD) holes indicates that the Merlin deposit underwent multiple pulses of hydrothermal fluid activity. Silica-adularia alteration plays a critical role in mineralisation by both introducing gold-rich fluids and increasing host rock brittleness, making it more prone to fracturing. This fracturing prepared the ground for subsequent hydrothermal pulses, further enhancing mineralisation potential. Additional studies are needed to determine the number of mineralising events and their relative timing. The variability in gold grades is similar between the two styles of mineralisation, ranging from 0.1g/t to greater than 100g/t gold. 7. Exploration 7.1 Nature and extent of relevant exploration work In addition to Mineral Resource definition drilling, detailed geological mapping at 1:5,000 scale was completed over a total area of 58km2. AngloGold Ashanti conducted a topographic survey in 2024 using NAD83 (North American Datum of 1983) Universal Transverse Mercator (UTM) Zone 11N coordinate system with a resolution of 1m. The ground geophysics completed over the duration of the Project is summarised below. AngloGold Ashanti also completed geochemical sampling comprising outcrop rock chip sampling and a 2.6 x 2.3km soil survey was also completed at various phases of the exploration programme. During August and September, 2017, surface geologic-structural mapping and collection of 233 rock chip geochemical samples were completed to define drill targets. Rock chip samples were collected of different alteration types at structural intersections; however, consistent geochemical halos were not defined in rock chips. The one element that reported consistently elevated values was mercury, with over 4ppm mercury in 8% of all samples (Figure 7.1). AngloGold Ashanti Technical Report Summary for the Arthur Gold Project – current at 31 December 2025 __________________________________________________________________________________________ 26 March 2026 43 Figure 7.1. Map showing the Arthur Gold Project pit outlines and mercury (Hg) results from surface rock grab samples. Note: Figure prepared by AngloGold Ashanti, 2025. Hg (ppm): parts per million mercury. Throughout the first quarter of 2018, a gridded 318 soil and spectral programme (200 x 400m sample spacing, reducing to 200 x 200m spacing over zones of mapped ASTER anomalies) was completed over an area of 2.6 x 2.3km (Figure 7.2). AngloGold Ashanti Technical Report Summary for the Arthur Gold Project – current at 31 December 2025 __________________________________________________________________________________________ 26 March 2026 44 Figure 7.2. Map showing sample location for soil and spectral programme conducted in Silicon. Note: Figure prepared by AngloGold Ashanti. Soil samples are indicated as ‘Sil_SoilSample Locations’ and spectral samples as ‘A3841_WhiteMica’. Samples were collected and sieved down in the field to approximately 3kg passing a 1mm fraction size. The greater than 1mm fraction was discarded on site. Samples were then zip-tied and transported to the AngloGold Ashanti Beatty drill hole core facility and placed in rice sacks for transport to the Australian Laboratory Services (ALS) laboratory in Reno, Nevada (ALS Reno). A hand sample was also collected along the grid for hyperspectral analysis. The spectral samples were labelled with the site sample number and transported to the AngloGold Ashanti Beatty drill hole core facility for analysis. The soil results indicate a very patchy pathfinder elemental zoning (including gold, zinc, lead, molybdenum, and bismuth) with low, at or near background levels, or at best, very weakly elevated values.


 
AngloGold Ashanti Technical Report Summary for the Arthur Gold Project – current at 31 December 2025 __________________________________________________________________________________________ 26 March 2026 45 Spectral hand samples were analysed for all minerals (recognised in each spectrum with an abundance qualifier) using a TerraSpec machine at the Beatty drill hole core facility. Each hand sample was measured six times to obtain readings from both weathered and fresh surfaces. The data were then exported and transferred to the AngloGold Ashanti Principal Spectral Geologist for interpretation. A summary of the geophysical surveys completed since 2017 is provided in Table 7.1. Table 7.1. Geophysical surveys undertaken for exploration of the Project area. Geophysical survey type Completed on behalf of Date completed Survey specification Summary of outcomes Heliborne Magnetics and Radiometrics Northern Empire (predecessor to Coeur Sterling) August 2017 (3D MVI completed 2025) Heliborne magnetic and radiometric survey over Crown Block (Sterling, Mother Lode, Merlin south). 100m line spacing, ~30m terrain clearance. Contractors: Thomas V Weis & Associates Inc. and Geosolutions Pty Ltd. 3D VOXI MVI completed in 2025. Provided high-resolution magnetic coverage. 3D inversion improved structural interpretation and subsurface magnetic modelling across the block. Ground Magnetics (GMAG) AGANA February–June 2019 20m line spacing ground magnetic survey totalling 1,258 line-km. Conducted by Planetary Geophysics (Brisbane). 3D VOXI MVI produced. Delivered detailed magnetic dataset supporting structural interpretation and drill targeting across Silicon and Merlin. Ground Gravity (Crown Block) Coeur Sterling 2018–2021 ~1,900 ground gravity stations collected by Thomas Carpenter Geophysical Services over Crown Block (including south Merlin). Data merged and instrumental in identifying and targeting the C- Horst and Lynnda Strip areas, contributing to discovery of the Merlin deposit. Ground Gravity (Merlin and Silicon) AGANA February–June 2019 2,711 detailed ground gravity stations collected by Magee Geophysical Services LLC. 3D VOXI density inversion generated. Enhanced density modelling and structural interpretation over Merlin and Silicon. Ground Gravity Extension AGANA February 2024 ~1,600 additional gravity readings east and SE of Merlin (Magee). All gravity datasets merged, filtered and 3D VOXI inverted. Merged dataset clearly maps regional fault blocks and complex Merlin structural intersection. Generated merged Corrected Bouguer Gravity (CBG 2.4 g/cc) Total Horizontal Gradient (THG) grid (to Feb 2024). Ground Gravity (Merlin West) AGANA December 2025 ~987 gravity stations on 200m x 200m grid west of Merlin tied into the existing data. Survey was done by Zonge. Mapping of local and regional faults under talus cover. IP-RES (Initial Silicon Line) AGANA October 2019 Single 1.5km pole-dipole IP line over central Silicon. Dipole spacing 100m; station spacing 50m. Contractor: Planetary Geophysics Pty Ltd. Delineated coincident chargeable-resistive anomaly correlating with known mineralisation. IP-RES (Expanded Survey) AGANA February–June 2019 48.3 line-km of dipole-dipole and pole-dipole IP-RES across 2.0km x 2.5km area over Silicon and Merlin. Identified similar anomalous responses and supported deeper mineralisation targeting. IP-RES (Transvaal and Maverick) AGANA November 2020 Additional pole-dipole IP-RES data collected by Planetary Geophysics. Extended geophysical targeting to additional prospects. AngloGold Ashanti Technical Report Summary for the Arthur Gold Project – current at 31 December 2025 __________________________________________________________________________________________ 26 March 2026 46 Geophysical survey type Completed on behalf of Date completed Survey specification Summary of outcomes Titan24 IP-RES (Merlin) AGANA August 2022 Three west–east lines totalling 7.8km. 2D DC chargeability and resistivity (IP-RES) sections produced. Quantec did the survey. Resistivity data outlined major structural corridors (strike and dip). Chargeability low identified over Merlin occurrence. Titan24 Audio- magnetotellurics (AMT, Merlin) AGANA August 2022 AMT data collected concurrently with Titan24 (Quantec) survey. Three west–east lines totalling 7.8km. 2D inversion resistivity sections. Provided resistivity imaging supporting structural interpretation at Merlin. Titan-160 AMT (Crown Project) Coeur Sterling & Corvus Gold June–July 2024 9 lines totalling 82.6km over southern Merlin and Mother Lode (Quantec). 2D inversion resistivity sections. Line-9N imaged the Bare Mountain fault with eastward downthrow, confirming Merlin Deep extension. Ambient Noise Tomography (ANT) – Initial AGANA April 2023 Passive seismic ANT survey south of Merlin, data collected by AGANA and Magee and processed by Fleet Space Technologies. 50 geode stations over ~3.0km x 3.0km area. Produced 3D S-wave velocity cube. Initial processed dataset showed limited correlation with known geology. ANT Extension and reprocessing AGANA February 2024 Four additional patches of 64 geodes each (256 total) east and southeast of Merlin. Data merged with reprocessed April 2023 survey. Merged and reprocessed 3D S- wave velocity model showed good correlation with geology and improved mapping of structural continuations and offsets. Note: 3D: three dimensional; GMAG: ground magnetics; AGANA: AngloGold Ashanti North America; VOXI MVI: VOXI magnetic vector inversion; CBG: corrected Bouguer gravity; g/cc: grams per cubic centimetre; THG: Total Horizontal Gradient; IP-RES: induced polarisation-electrical resistivity; 2D: two dimensional; AMT: Audio-magnetotellurics; ANT: Ambient Noise Tomography. The size of the area covered for exploration comprises approximately 54km2. The Merlin deposit is approximately 2.1 x 1.0 x 0.8km and Silicon is approximately 1.2 x 0.6 x 0.8km. (Figure 6.3). Drilling at the Project comprises reverse circulation (RC) and DD by AngloGold, Coeur Sterling, Corvus Gold, and the legacy US Nevada Gold Search Joint Venture (NGSJV). Most NGSJV holes were too shallow to intersect mineralisation and limited records exist. These holes are not used in modelling or Mineral Resource estimation. The Coeur Sterling and Corvus Gold drilling is modern (2020-2022) and was well documented by the operators including unique sample IDs, sample weights, coordinates where appropriate, dates, and records of the sampler and assay laboratory. The AngloGold Ashanti, Coeur Sterling, and Corvus Gold drilling is used in modelling and estimation. A summary of drilling by type and operator is presented in Table 7.2. Most AngloGold Ashanti RC holes were completed at the Silicon deposit. The Merlin deposit has largely been drilled RC pre-collar/core tail (RD) drillholes. Table 7.2. Summary of exploration drilling type and operator. Company DD (n) DD (m) RC (n) RC (m) RD (n) RD (m) Holes (n) Total (m) AngloGold Ashanti 104 57,614.6 269 110,177.8 499 294,734.8 872 462,527.2 Coeur Sterling 9 3,599.9 105 37,587.9 13 4,311.5 127 45,499.3 AngloGold Ashanti Technical Report Summary for the Arthur Gold Project – current at 31 December 2025 __________________________________________________________________________________________ 26 March 2026 47 Note: AGA: AngloGold Ashanti; NGSJV: US Nevada Gold Search Joint Venture; (n) number. The drill hole collars are shown in Figure 7.3. Company DD (n) DD (m) RC (n) RC (m) RD (n) RD (m) Holes (n) Total (m) Corvus Gold 31 12,146.3 5 3,255.4 36 15,401.7 NGSJV 28 5,192.6 - - 28 5,192.6 Grand Total 113 61,214.4 433 165,104.6 517 302,301.7 1,063 528,620.7 AngloGold Ashanti Technical Report Summary for the Arthur Gold Project – current at 31 December 2025 __________________________________________________________________________________________ 26 March 2026 48 Figure 7.3. Plan view map of the drill hole collars within the Merlin and Silicon deposits. Note: Figure prepared by AngloGold Ashanti, 2025. SW: southwest; NE: northeast; W: west; E: east. The drilling methods used are suitable for the objectives of Mineral Resource definition, using a spacing that is applicable for various Mineral Resource classification levels. Nominal drill spacing of 40 x 40m for indicated and 80 x 80m for Inferred Mineral Resource is applied at Merlin. At Silicon a nominal spacing of 82.5 x 82.5m for Indicated Mineral Resource and for Inferred Mineral Resource were classified based on evidence of geological continuity within the interpreted estimation domains.


 
AngloGold Ashanti Technical Report Summary for the Arthur Gold Project – current at 31 December 2025 __________________________________________________________________________________________ 26 March 2026 49 All non-drilling data are recorded electronically and secured in Microsoft SharePoint and backed up to the cloud regularly. Drill logging data were collected with GeoBank Mobile using the synchronised profiles hosted through the Azure cloud until August 2023 when acQuire was implemented as a logging software/database. Both programmes use a built-in approval process which is applied and verified by the Project geologist on site. A structured query language (SQL)-stored procedure is executed daily to import the approved data from Azure to the AngloGold Ashanti Denver Exploration production SQL database (geological data management system). Prior to exploration by AngloGold Ashanti, limited surface sampling and mapping work had been carried out by previous companies, including RenGold and the US Geological Survey (USGS). Only drill holes drilled by AngloGold Ashanti, Corvus Gold and Coeur Sterling. were used in Mineral Resource estimation and modelling. Several historic drill holes exist on the property, but very little information in terms of geological logs or assays are available and were not used for the Mineral Resource estimate and are not included in the drill hole summations provided in this Report. The density of sampling along drill holes, in conjunction with the drill spacing, is sufficient for the supporting statements referring to the geological understanding and potential for further exploration success near the area that hosts the Mineral Resource estimates. The drill hole spacing is able to support the Mineral Resource estimates at the Silicon and Merlin deposits. 7.2 Drilling techniques and spacing RC drilling is undertaken using a hammer (either outside return or face sampling return) or tricone bit, depending on the ground conditions. For example, conventional hammers are suited to clay-altered ground and unmineralised material above the water table (e.g. chalcedony blanket), while tricone bits (with an RC adaptor) are deployed at depths where hammer bits are ineffective due to groundwater inflows. DD hole core drilling was completed using PQ core (122.6mm core diameter), HQ core (96.0mm), and occasionally NQ core (75.7mm) diameter in cases where reducing from HQ core was required due to poor ground conditions. All drill hole core drilling is completed with a triple tube. Early exploration holes were oriented, however, there have been issues with the drill contractor’s familiarity with the method and friable ground which greatly reduced the number of reliable structural measurements collected. Exploration drilling since 2022 has been predominantly RC pre- collar (through unmineralised units), followed by PQ and/or HQ sized DD hole core tails in the potential mineralised zones. All drill hole core and chips are logged by AngloGold Ashanti geologists and contractors according to AngloGold Ashanti's standard practices, which include maintaining a photographic database of all core sample intervals, full geological and alteration logging, logging of sulphide and oxidised sulphide percentages, TerraSpec hyperspectral measurements and geotechnical logging (rock-quality designation (RQD), etc.). The logging is sufficient to support appropriate Mineral Resource estimation, technical studies, mining studies and metallurgical studies. Holse drilled and logged by Corvus Gold and Coeur Sterling were reviewed and all data gaps were addressed to align with AngloGold Ashanti’s requirements. All historical drilling was excluded from use in Mineral Resource estimation, in addition to several holes with poor data quality (e.g. RC holes showing obvious downhole contamination, in-progress holes with incomplete assays). The location of drill holes used for each model is shown in Figure 7.4. AngloGold Ashanti Technical Report Summary for the Arthur Gold Project – current at 31 December 2025 __________________________________________________________________________________________ 26 March 2026 50 Figure 7.4. Map showing the Arthur Gold Project pit outlines, associated block model extents for the Silicon and Merlin block model, and exploration drillholes used in each model. Note: Figure prepared by AngloGold Ashanti, 2025. The area outlined in purple contains drillholes from AngloGold Ashanti, Coeur: Coeur Sterling, and Corvus: Corvus Gold. NGSJV forms part of the excluded drill holes. Core recovery is systematically recorded by site geologists during the sample collection phase. This primary data serves as a diagnostic tool for assessing the quality of the physical sample before it enters the analytical pipeline. During the Mineral Resource estimation phase, these recovery metrics are used as a management filter to ensure only representative data is included in the model. Low drill hole core recovery at the Merlin deposit may have resulted in sample bias and this has been systematically assessed during Mineral Resource estimation (see Chapter 11). RC recoveries are not assessed in any systematic way due to the nature of wet drilling and an inability to collect the entire sample. Procedures undertaken at the rig are sufficient to minimise AngloGold Ashanti Technical Report Summary for the Arthur Gold Project – current at 31 December 2025 __________________________________________________________________________________________ 26 March 2026 51 the carryover between samples, including a blow back after each run and washing of the cyclone between runs. The RC drilling method may result in sample bias due to the loss of fine-grained or dense material separated while drilling. Infill drilling since mid-2022 has been with DD, either diamond core from the surface or an RC pre-collar with a core tail above the zone of interest for Mineral Resource conversion due to the uncertainty around the quality of RC drill hole samples. AngloGold Ashanti, Corvus Gold, and Coeur Sterling generated both qualitative and quantitative data. For example, geology, stratigraphy and alteration assemblages are qualitative hardness parameters (e.g. field estimated strength) are semi-quantitative. All DD hole core is photographed in the drill hole core boxes and submitted to Seequent’s Imago cloud image storage platform. Exploration drilling completed at the Arthur Gold Project comprises 1,063 holes for a total of 528,620.7m. At the Silicon deposit 262 RC drill holes, 65 DD holes and 40 RC pre-collar/diamond tail (RD) for a total of 146,109m were completed. At Merlin 138 RC, 48 DD, and 447 RD holes for a total of 373,305.7m were completed. All of the relevant intersections have been logged. A summary is provided in Table 7.3. Table 7.3. Summary of the Arthur Gold Project exploration drill holes by year, hole type, and total depth for all operators. Year DD (n) DD (m) RC (n) RC (m) RD (n) RD (m) Holes (n) Total (m) Historic 33 6,206.00 33 6,206.00 2018 10 4,064.60 8 3,142.50 18 7,207.10 2019 8 3,564.60 20 7,892.80 28 11,457.40 2020 2 1,302.40 72 30,844.20 7 3,348.00 81 35,494.60 2021 23 13,088.60 137 49,929.30 29 19,977.20 189 82,995.10 2022 29 17,305.30 126 46,111.70 32 19,487.20 187 82,904.10 2023 13 6,087.00 24 14,307.60 151 87,020.80 188 107,415.40 2024 11 6,107.30 9 4,565.90 215 120,464.50 235 131,137.70 2025 17 9,694.70 4 2,104.70 83 52,004.00 104 63,803.30 Grand Total 113 61,214.40 433 165,104.60 517 302,301.70 1,063 528,620.70 Once a drill hole had been abandoned all operators constructed a permanent cement monument at the collar location and the hole identification was specified on a brass tag. Hole collars are obtained using a differential global positioning system (DGPS) (model Trimble R12i). The DGPS coordinates are used as the collar locations for all modelling and reporting purposes. Upon drill hole completion, a downhole survey is collected at 15m (50ft) intervals using gyroscopic downhole methods (north-seeking gyro or surface recording gyro). The surveys were completed by International Directional Services, LLC or by drill crews using onsite Reflex Gyro SprintIQ tools. Survey results were quality checked in Leapfrog prior to import to the central database. All surveys were corrected to a 12° east magnetic declination where required (i.e. surface recording gyro data). 7.3 Results In the opinion of the Qualified Person, the quantity and quality of the logged geological and geotechnical data, collar and downhole survey data collected in the exploration and infill drill programmes on the mine are sufficient to support Mineral Resource and Mineral Reserve estimation and mine planning for the following reasons: • Drilling procedures, core and RC logging meets industry standards for gold exploration. • Collar surveys have been performed using industry standard instrumentation. • Downhole surveys were collected at the time of the programmes using industry standard instrumentation. • Recovery data from core and RC drill programmes are acceptable. AngloGold Ashanti Technical Report Summary for the Arthur Gold Project – current at 31 December 2025 __________________________________________________________________________________________ 26 March 2026 52 • Areas affected by especially poor core recovery, were downgraded to Inferred Mineral Resource. • Areas with >50% proportion of suspect RC holes were downgraded to Inferred Mineral Resource. • Drill orientations are appropriate for the mineralisation style and are optimal for the orientation of the mineralisation for the bulk of the deposit area. • Drilling intervals have been regularly spaced and considered adequate and representative of the deposits. Drilling was not specifically targeted to the high-grade portions of the deposits, rather a relatively consistent drill spacing was completed. No material factors were identified with the data collection from the drill programmes that could affect Mineral Resource or Mineral Reserve estimation. 7.4 Locations of drill holes and other samples Drilling at Silicon and Merlin is shown in Figures 7.5 and 7.6, respectively. The representative long section in Figure 7.6 shows the extent of the geological interpretation based on the drilling results at Merlin.


 
AngloGold Ashanti Technical Report Summary for the Arthur Gold Project – current at 31 December 2025 __________________________________________________________________________________________ 26 March 2026 53 Figure 7.5. Cross section of the Silicon deposit showing mineralisation focused along the Tramway fault and preferentially hosted by the Picture Rock Rhyolite flow unit. Note: Figure prepared by AngloGold Ashanti, 2025 AngloGold Ashanti Technical Report Summary for the Arthur Gold Project – current at 31 December 2025 __________________________________________________________________________________________ 26 March 2026 54 Figure 7.6. Long section of the Merlin deposit highlights broad mineralised zones, especially within the Bullfrog and Tram Tuff. Note: Figure prepared by AngloGold Ashanti, 2025 7.5 Hydrogeology Hydrogeologic characterisation for the Arthur Gold Project (including the Silicon and Merlin areas) is based on the following: • Extensive hydrogeology work done by AngloGold Ashanti, including hydrogeological sampling, drilling and aquifer testing on site, during the timeframe from 2022 to 2025. • Incorporating established regional hydrogeological framework studies done by the USGS for the Death Valley Regional Groundwater Flow System (DVRFS) which includes the Death Valley version 2 groundwater flow model (DV2) and the Death Valley version 3 predictive groundwater flow model (DV3 or DV3-PRED) as well as other related groundwater publications by the USGS (Belcher et al., 2017; Nelson, and Jackson, 2020). The Project lies within the Southwest Nevada volcanic field that is part of the DVRFS model focus area and both DV2 and DV3 has extensively been studied and numerically modelled by the USGS due to the federal focus on regional water-resource sensitivities and other historical federal programs. Main geologic units: The Southwest Nevada volcanic field consists of several calderas that produced airfall and ash flow tuffs, basalts, and rhyolite. Basin fill and alluvium occur in the valley bottoms. Bare Mountain is a siliciclastic and carbonate rock outcrop, but these units typically occur at depth beneath the volcanic rocks and below the planned open pit. Hydrogeologic units: The principal hydrogeologic units in the Project area include volcanics, carbonates, and basin fill where most of the groundwater flows through the higher permeability upper volcanic units. The deeper siliciclastic rocks have low permeability while the carbonate units are either very deep or not close to the Project area. Regional flows: Most of the regional groundwater flows from the Paiute Mesa recharge area to the north of the Project area towards the Amargosa River discharge area in Oasis Valley to the south. Discharge areas: The Oasis Valley Amargosa River discharge area occurs due to its low elevation, shallow groundwater, and shallow bedrock elevation at the lowest boundary of the Oasis Valley hydrological catchment. AngloGold Ashanti Technical Report Summary for the Arthur Gold Project – current at 31 December 2025 __________________________________________________________________________________________ 26 March 2026 55 Initial conceptual model work indicates that the seeps and springs along this corridor are fed by regional groundwater flow in the volcanic bedrock units. This shallow groundwater in the discharge area flows through the local, thin and permeable upper basin fill unit. 7.5.1 Nature and quality of sampling methods 7.5.1.1 Hydrostratigraphic information The hydrostratigraphic information for the Project area was interpreted and based on the following information: • Lithological and structural logging of exploration drill core data and RC chips by the AngloGold Ashanti exploration programme provided the primary details on the hydrostratigraphic setting of the Project area until the end of 2022. • Starting in late 2022 and continuing through 2025, the hydrogeological field programme expanded to include the installation of groundwater monitoring wells and vibrating pressure transducers, packer testing of discrete lithological intervals, and localised air-lift testing during RC drilling. The data from this study work indicates that the aquifers present in the area are mostly dominated by fracture and fault driven aquifers in the local volcanic rocks. The programmes were designed and executed by local qualified hydrogeology consulting companies including Itasca International (Itasca, based in the Denver Office, Colorado) and Atkins Realis, together with AngloGold Ashanti representatives, following industry standard protocols (Figure 7.7) shows some of the current hydrogeology drilling locations. AngloGold Ashanti Technical Report Summary for the Arthur Gold Project – current at 31 December 2025 __________________________________________________________________________________________ 26 March 2026 56 Figure 7.7. Selected groundwater testing and monitoring locations from Itasca reporting. Note: Figure prepared by Itasca, 2025. Blue and orange lines represent the proposed Merlin and Silicon pits, respectively


 
AngloGold Ashanti Technical Report Summary for the Arthur Gold Project – current at 31 December 2025 __________________________________________________________________________________________ 26 March 2026 57 7.5.1.2 Groundwater levels and pressure response Water levels were measured in exploration drill holes and constructed monitoring wells. Some selected Mineral Resource exploration drill holes were instrumented with vibrating-wire pressure transducers to capture continuous hydraulic head responses during aquifer tests and to record hydrogeological transient conditions for baseline study purposes. These methods are standard for characterising hydraulic head distribution and aquifer responses. 7.5.1.3 Hydraulic testing and inflow observations Hydrogeologic parameters were derived from field hydraulic tests, including: • Packer testing over discrete lithological/structural intervals to estimate interval transmissivity/hydraulic conductivity in some of the more competent tuffs and volcanics. These packer tests were done in selected diamond core holes drilled by the Mineral Resource team. • Airlift yield observations were recorded during hydrogeological RC drilling. Short duration pumping tests were also completed by airlifting groundwater from several RC holes during the drilling process at predefined depths in the drill hole. The results of these tests were recorded with responses in the RC drill hole and the responses in hydraulic heads from nearby monitoring drill holes and vibrating-wire pressure transducers. These results were interpreted and guided the use of some aquifer parameters for the initial groundwater flow modelling workflows. • Longer constant-rate pumping test are planned from large diameter production drill holes which will include dye tracer flow tests, step tests and long-term constant rate tests, to improve hydrogeological parameter confidence and used in model calibration updates. • Hydrogeological drill hole logging of lithology, structure and hydrostratigraphy, together with selected downhole video, and 3D geological structural modelling in Leapfrog, was used to relate test responses to faults, fractures, and alteration domains. 7.5.1.4 Surface water parameters (relevance to recharge/runoff inputs) The Project area contains no perennial surface watercourses and surface hydrology is dominated by ephemeral channels with storm-runoff during rare significant storm events. Surface water related recharge to local aquifers would only be during these rare significant storm events. Recharge from any of these significant storm events would also be confined to the Quaternary or Tertiary aged unconsolidated ‘basin fill’ material that often hosts local aquifers. These basins fill areas are located mostly downgradient (in a hydrogeological gradient perspective), from the Project area. Consequently, surface-water runoff data collection has not been undertaken for recharge/runoff characterisation or baseflow monitoring. 7.5.2 Laboratory techniques for flow parameters and quality assurance and quality control (QA/QC) No rock or soil samples were submitted for laboratory permeability or porosity testing; therefore, laboratory permeability testing is not applicable for this dataset. Hydraulic conductivity, transmissivity, and storage parameters used in the interpretation and modelling were derived from field-based packer and pumping or aquifer tests. 7.5.3 Water quality laboratory testing (baseline characterisation) Water quality samples were collected from nine selected monitoring wells across the Project area. The purpose of these samples was to characterise the baseline water quality for the groundwater located in the local area. This included samples from monitoring wells under static conditions as well as samples from drill holes during airlifting and drill holes during pump testing workflows. The wells and boreholes were developed to remove drilling fluids and cuttings before any sampling was undertaken. Groundwater sampling protocols and work processes followed the NDEP Monitoring Well Design and Approved Monitoring and Sampling Methods required for all monitoring wells. These sampling methods are associated with standard Water Pollution Control Permits under Nevada Administrative Code (NAC) regulations 445A.350 through 445A.447. AngloGold Ashanti Technical Report Summary for the Arthur Gold Project – current at 31 December 2025 __________________________________________________________________________________________ 26 March 2026 58 The Bureau of Mining Regulation and Reclamation methods were also followed for the sampling process which includes the following American Society for Testing and Materials (ASTM) methods: • D4448 Standard Guide for Sampling Groundwater Monitoring Wells • D4750 Test Method for Determining Subsurface Liquid Levels in a Borehole or Monitoring Well (Observation Well) • D5088 Practice for Decontamination of Field Equipment Used at Waste Sites • D5792 Practice for Generation of Environmental Data Related to Waste Management Activities: Development of Data Quality Objectives • D5903 Guide for Planning and Preparing for a Groundwater Sampling Event • D6089 Guide for Documenting a Groundwater Sampling Event • D6452 Guide for Purging Methods for Wells Used for Groundwater Quality Investigations • D6517 Guide for Field Preservation of Groundwater Samples The groundwater quality samples were analysed against Nevada mining regulatory screening lists (e.g., NDEP Profile 1 / Profile 1-R frameworks – NDEP 2022). The required local sampling protocols were followed and water quality assays were done in local certified laboratories. Most of the current groundwater quality results from the samples in the Project area indicate a sodium- bicarbonate type water. The water quality is representative of the Tertiary volcanic units in these areas. Some wells were completed in the Joshua Hollow Formation, which is a carbonaceous-siliciclastic unit and these sample results indicate a calcium-sulphate type that is distinctly different from the water quality in the volcanic units. 7.5.4 Permeable zones/aquifers The hydrogeological setting for the Project area is interpreted to be dominated by fracture- and fault-controlled groundwater flow within volcanoclastic units, with local faults acting as conduits and/or barriers depending on fault architecture and alteration. Regionally, the principal hydrogeologic units are volcanic, carbonate, and basin fill rocks; permeability typically decreases with depth within the thick volcanic/carbonate sequences. Measured/test-derived parameters and observed yields indicate heterogeneous transmissivity, with higher flow associated with discrete fractured structural zones. 7.5.5 Recharge and discharge rates The groundwater recharge rate is expected to be low in the arid setting of the Project and is sourced primarily from published regional DVRFS studies and groundwater flow model calibration runs. The recharge rates also reference the published basin size water-budge work used in the DV3 framework, with local recharge focused along washes during infrequent runoff events. From a groundwater flow model perspective, a 'water budget' is a water accounting summary (reported from the numerical model flow run results), of the simulated total volumes of water entering, leaving, and being stored within the numerical modelled area over time. A 'water budget' supports the assessment of the numerical model robustness by comparing the total volumes of flows in the numerical model run. It also supports identifying the principal sources of recharge, discharge, and other stresses, and evaluating their overall balance. The current understanding of the discharging processes also rely primarily on the published data from the USGS for the regional DVRFS studies. 7.5.6 Water balance The designed Project water balance (non-numerical flow model balance) calculates and accounts for the following volumes of water over a defined reporting period, such as the life of mine (LOM): • water that enters the Project area, including water supply or surplus mine dewatering • water moving through the site infrastructure, including through site storage, diversions, drains & channels, and site wide pipe reticulation • water consumed by operations, including mineral processing, dust suppression, and leaching AngloGold Ashanti Technical Report Summary for the Arthur Gold Project – current at 31 December 2025 __________________________________________________________________________________________ 26 March 2026 59 • water losses, including evaporation and seepage • water discharged from or leaving the site, including flows to infiltration basins and managed aquifer recharge systems The water balance provides the Project specific accounting of all major water inflows, outflows, uses, and changes in storage associated with the proposed mining operation and mineral processing. The water balance also addresses the management of surface water runoff and storage, including diversions, collection systems, sumps, ponds, and other temporary or permanent storage facilities, and identifies how water is transferred, reused, or discharged within the Project area. 7.5.7 Groundwater models used A groundwater flow model is being developed by Itasca, based on the MODFLOW 6 groundwater flow framework while using the GW Vistas software as a pre- and post-processor for the MODFLOW-6 Library (Langevin et al., 2017, Groundwater Vistas, Version 8). The modelling workflow processes are consistent with the USGS modelling approaches used regionally for other models such as the published DV2 and DV3 models. (MODFLOW 6 is a USGS modular framework widely used for groundwater flow simulation and supports transient and coupled processes where required). The groundwater flow model framework and assumptions for the Arthur Gold Project groundwater flow model are based on the following approach: the DV2 and DV3 groundwater flow models that were constructed and published by the USGS, are broadly seen by the local groundwater community as well as the regional and federal agencies as the most up to date groundwater models for the regional area. These models focussed on modelling and simulating groundwater flow conditions on a regional and major hydrologic catchment basis. These models are often relied on by the local and federal agencies and other external non-governmental organisations to test and verify potential impacts proposed by new water rights or projects in the area. Due to the large body of USGS sponsored groundwater data and studies underpinning these models, it was decided by AngloGold Ashanti to use these models in a few ways: • Regional conceptual groundwater model: Reviewing and applying some of the published and established hydrogeologic framework, model assumptions and parameters from the DV2 and DV3 for the regional areas into the Arthur Gold Project model. This includes the published recharge/discharge distributions, inter basin flow concepts, boundary conditions and potentiometric surface constraints from these studies. • Local conceptual groundwater model and parameterisation: The local mineralisation-focused hydrogeology data that were drilled, captured, sampled and interpreted for mineralised areas and immediate areas outside the mineralisation, were used to construct the local setting of the groundwater flow model. This dataset is based on local site-specific resource geological drilling, Mineral Resource definition geophysical surveys and hydrogeological drilling and sampling. The drilling provided access and opportunity for packer tests, airlift/pumping tests, monitoring well hydrographs, and the definition of geological structural controls (fault barrier/conduit behaviour) with a focus in and around the current mineralised zones. 7.6 Geotechnical testing and analysis 7.6.1 Merlin deposit Dedicated geotechnical drilling using triple tube HQ core barrels was completed over the Merlin deposit to collect samples and support the pre-feasibility study. This campaign included both soil and rock testing which was completed by a third-party ASTM certified laboratories (BGC Engineering, Call and Nicholas (CNI), AtkinsRelis) focusing on the classification of both rock mass strength and structural properties. In addition to the dedicated geotechnical holes, logging of exploration core was carried out according to AngloGold Ashanti Core Logging Procedure based on International Society of Rock Mechanics recommended methodology, with acoustic and optical televiewer measurements on some drill holes. Laboratory sampling of the Merlin deposit was split between rock and soil strength testing. Additional undrained triaxial testing is planned on the soil units. As this was a limiting factor, conservative design assumptions based on frictional strength properties were adopted with upside potential from cohesion not currently factored into the parameters. AngloGold Ashanti Technical Report Summary for the Arthur Gold Project – current at 31 December 2025 __________________________________________________________________________________________ 26 March 2026 60 All laboratory samples were wrapped in aluminium, film, and bubble-wrapped to help avoid degradation during transport. Initial proxy testing at the Project and prior to laboratory testing indicate that some specimens may have experienced transport-related damage and further work is ongoing to quantify this bias. The following tests were completed: 7.6.1.1 Rock testing • 91 Unconfined compressive strength samples • 71 Hoek triaxial tests • 47 Brazilian tensile tests • 12 Direct shear tests • 14,121 Equotip (Leeb hardness) readings 7.6.1.2 Soil testing • 35 Particle size distribution with Atterberg limit tests • 22 Direct shear tests Geotechnical evaluation included dedicated geotechnical drill holes in combination to geotechnical logging of Mineral Resource drill holes to gain insight into the different types of lithologies, alteration and major structures in the deposit area. The Merlin stratigraphy comprises tuff sequences, which have undergone varying degrees of alteration and weathering. The effect of alteration is variable where clays reduce strength while silicious alteration improves the strength of the rock mass. A zone along the eastern extent of the pit was unable to be drilled out at the Report date due to permit restrictions and is planned for 2026 for the next study phase. 2D limit equilibrium analysis of the Merlin planned pit design was undertaken to assess slope stability. Designs were optimised to reduce interactions with large scale structures such as known faults, and ash flow units present between some tuff units. Geotechnical domains were based on lithology controls, alteration, and weathering with inter-ramp angles expected to be in the range of 29-40° for the different pit slope aspects in a dewatered scenario. Dewatering will be required to depressurize the high wall below the water table. 7.6.2 Silicon deposit Dedicated geotechnical drilling was partially completed for the Silicon deposit using a mix of triple tube HQ/PQ core, with initial samples tested at CNI for preliminary rock mass results, though these are yet to be incorporated into a formal study and assessment of Silicon remains conceptual in nature. Laboratory testing has focused on hard rock testing methodologies to define the geotechnical units. 7.6.2.1 Rock testing • 76 Unconfined compressive strength samples • 60 Hoek triaxial tests • 40 Brazilian tensile tests • 28 Direct shear tests • 2 Particle size distribution with Atterberg limit tests The Silicon deposit pit slope design remains conceptual in nature, but initial results and physical examination of the core indicate more favourable rock mass can be expected at Silicon when compared to Merlin, and the Silicon pit will be able to support steeper slopes. Initial conceptual design parameters from Itasca in 2022 recommended estimated slope angles are between 35-45° using empirical design charts.


 
AngloGold Ashanti Technical Report Summary for the Arthur Gold Project – current at 31 December 2025 __________________________________________________________________________________________ 26 March 2026 61 8. Sample preparation, analysis and security 8.1 Sample preparation The Mineral Resource estimates were based on drill hole samples only. RC samples were 1.5m long and diamond core samples were a nominal 1.5m long or less. AngloGold Ashanti, Coeur Sterling, and Corvus Gold marked samples during core logging, sawed each sample in half with a diamond saw (half-core), and placed each sample in labelled supersack. RC samples were bagged at the rig by the drill company, inventoried, and placed in labelled supersacks. Geological logging (including alteration, oxidation, and mineralisation logging) was carried out on intervals defined by the geologists according to AngloGold Ashanti logging schemes. For holes drilled by Coeur Sterling or Corvus Gold, logs were reviewed and/or relogged to align to the AngloGold Ashanti logging schemes. Samples collected for the assay were predominantly in 1.5m intervals except where core loss or significant geological changes were encountered. Geotechnical logging (recovery, RQD, weathering, joint alteration, roughness and number, and field estimated strength) was carried out on intervals corresponding to run lengths. Supersacks filled with RC and DD hole core samples were loaded onto a flat deck trailer where chain of custody was documented. The transport truck drove directly to the accredited laboratory for final chain of custody documentation. Upon receipt at the assay laboratory, all samples were dried in an oven at a temperature of 80 degrees C, crushed to greater than 70% passing 2mm, rotary split to 500g, and pulverised to 85% passing 75µm. Physical compositing of samples was only applied to the collection of some metallurgical samples where a large sample weight was required. Compositing of assays for Mineral Resource estimation was only carried out after individual assays were exported from the database. Bulk density samples were collected approximately every 5.5m, with a small (10 to 15cm) solid piece of core selected for analysis. Bulk density measurements were carried out on site (in house) using the ASTM C 914-95 Standard Test Method for Bulk Density and Volume of Solid Refractories by Wax Immersion method whereby samples were dried and coated in wax prior to water immersion. Routine checks of bulk density results were completed by submitting sample to ALS Vancouver using method code OA-GRA08, which is an identical wax immersion bulk density method to the one employed by AngloGold Ashanti. The density values determined by ALS Vancouver show good agreement with samples previously measured by AngloGold Ashanti. All density samples in the Silicon Mineral Resource were completed by AngloGold Ashanti. The Merlin Resource relies on density samples determined by Coeur Sterling and AngloGold Ashanti. AngloGold Ashanti completed verifications of the Coeur Sterling density samples and found the results acceptable. Corvus Gold did not complete density sampling on holes within the Merlin Resource. 8.2 Sampling governance To ensure the validity and integrity of samples audits of the sampling procedures are conduced monthly at RC rigs, the core cutting facility, and quarterly at ALS (the primary analytical laboratory). The cut/sampled drill hole core is stored onsite at AngloGold Ashanti’s laydowns in Beatty, Nevada along with coarse rejects. Pulps and coarse rejects are returned from the laboratory and stored at the AngloGold Ashanti warehouse in Reno, Nevada, secure laboratory facilities, or in connex boxes at the fenced AngloGold Ashanti facility. ALS is the sole primary assay laboratory company for the Project, although several of their laboratories were used in the region due to insufficient capacity at any one laboratory. For gold analysis, the ALS laboratories in Reno and Tucson were used. Multielement inductively coupled plasma (ICP) mass spectrometry (MS) analysis was completed at a regional hub, in this case by ALS Vancouver. The Reno and Vancouver laboratories are ISO/IEC 17025 accredited and are independent of AngloGold Ashanti. Samples were prepared (ALS code PREP-41) and sieved at less than 180µm (80 mesh), with the laboratory retaining both fractions. The less than 180µm sample was then split down to a 250g sample and then pulverised (ALS code PUL-31) to 85% passing 75µm. This material was analysed using fire assay (ALS code Au-ICP22) and multi-element four acid digestion with an ICP-MS finish and low detection mercury (ALS code ME-MS61m). Routine gold analyses were carried out by ALS using the ALS method code Au-ICP22 (prior to April 2024) or Au-AA24 (starting in April 2024). Au-ICP22 is a 50g fire assay with an ICP atomic emission spectroscopy (AES) finish. Au-AA24 is a 50g fire assay with an atomic absorption spectroscopy finish (AAS). Samples that reported a fire assay result greater than 0.150g/t receive an additional 30g cyanide leach analysis (ALS method code Au-AA13) and were analysed for gold and silver. Samples that report a fire assay result greater than 10g/t, were AngloGold Ashanti Technical Report Summary for the Arthur Gold Project – current at 31 December 2025 __________________________________________________________________________________________ 26 March 2026 62 analysed using the ALS code Au-GRAV22 analytical method which is a fire assay with a gravimetric finish. The fire assay analysis is considered a total analysis for gold while the cyanide leach analysis is considered partial. Additional analyses for other elements were carried out using a four-acid digest and ICP-MS finish under the ALS method code ME-MS61m. Drill samples were collected from the drill site at the Merlin deposit and delivered to the core logging facility in Beatty, Nevada. Samples were stored in a fenced enclosure with a locked gate before they are processed through the core logging facility. The drill samples were processed according to AngloGold Ashanti standards and described in the internal Core Logging Standard Operation Procedure (SOP) document. All intervals for sampling were marked up by geologists at site, and sample tags stapled onto the boxes. Following logging and sample marking, holes were either cut using automated diamond-blade saws at the AngloGold Ashanti 's facility in Beatty. The chain of custody for all samples was maintained by AngloGold Ashanti until the point of handover to ALS personnel (either at site to their shipping company, or upon delivery to the laboratory by a third party trucking company). Internal movements of samples by ALS from one laboratory to another were managed using the laboratory's internal tracking system. All assay data were transmitted electronically, with direct imports of assay files from the laboratory into the AngloGold Ashanti database (Datashed, acQuire). A visual inspection of assays received against expected zones of mineralisation was then carried out in Leapfrog to flag any unexpected results and ensure no transcription errors had occurred. 8.3 Quality control and quality assurance (QA/QC) Coarse blank and certified reference material (CRM) samples and duplicates were included as part of the routine sample submissions to the laboratories for both for RC and drill hole core samples. These samples were numbered in sequence with the primary samples and included in the relevant shipments when sent to the laboratory. 8.3.1 Certified reference material Several CRMs of varying gold concentration and oxidation state were used during each drilling campaign. A CRM was inserted into the primary drill sample stream at a rate of up to one in 20 samples, depending on the drilling programme. Where possible, the CRM was selected to match the expected grade and oxidation state of the surrounding primary drill samples. CRM results for global bias are considered good, with the mean result for all analytes within a ±5% relative difference acceptance range. Assay data were received from ALS as digital files from which quality control and quality assurance (QA/QC) reports were prepared for each drill hole by the database manager and sent to the senior project geologist for review. In cases where CRM assays were returned with gold values outside two standard deviations from the expected value, the CRM sample plus the 10 samples above and below the erroneous standard were re- assayed by the laboratory. Occasionally a re-assay could not be completed due to the CRM being completely consumed by the assay process. For these rare cases, the original results were accepted. Once an assay certificate was issued for the re-assayed values, and all QA/QC samples (both AngloGold Ashanti and laboratory standards) were verified to be within acceptable limits, the re-assay values were entered into the database as final. 8.3.2 Blank samples Coarse blanks were sourced from landscape supply companies and included three different rock types. One was a quartzite, another was a quaternary basalt ‘lava rock’, and the other is a granite. One prepared pulp blank was sourced from CDN Research in Langley, Canada. These samples were inserted at a rate of approximately one blank for every two CRM samples, and one field duplicate was inserted for every two CRM samples. The analytical QA/QC measures employed by AngloGold Ashanti are sufficient to properly monitor analytical accuracy and precision, and possible in-laboratory contamination. Coarse blanks were reviewed in relation to the preceding sample assay value. Results of this analysis, showing the primary sample and subsequent coarse blank sample, reflected negligible (majority <1%) carryover in relation to any prior high-grade samples. Occasionally re-assays could not be completed due to contamination at the primary crushing stage. AngloGold Ashanti Technical Report Summary for the Arthur Gold Project – current at 31 December 2025 __________________________________________________________________________________________ 26 March 2026 63 8.3.3 Duplicates For RC drilling, field duplicates were collected as a second split from the rig splitter, whereas for DD hole core, duplicates were collected by half-coring. Duplicates were inserted into the sample stream at 3.7% insertion rate for the 2020 to 2023 drill programmes and 5.7% for the 2023-2025 drill programmes. Duplicate pairs were evaluated in a scatterplot showing a reduced major axis (RMA) regression and had R2 values over 0.9 showing a good reproducibility of the results. 8.4 Qualified Person's opinion on adequacy In the Qualified Person's opinion, the sample preparation, security, and analytical procedures at the Project (including the use of Coeur Sterling and Corvus Gold data) are adequate and appropriate for use in the estimation of Mineral Resource and for use in conceptual mine planning. Adequate verification work was completed by AngloGold Ashanti validate the Coeur Sterling and Corvus Gold data. All analytical procedures used follow conventional industry practices and are appropriate for use in the estimation of Mineral Resource and conceptual mine planning. 9. Data verification 9.1 Data verification procedures The Qualified Person verified the data being reported on and used as the basis of this Report by: • Visiting the Project and inspecting geology and mineralisation in outcrop and drill core. • Visiting the drill hole core and RC storage areas and inspecting sampling procedures. • Reviewing drill hole core and RC/drill hole core logging procedures. • Verifying the location of drill holes in the field. • Reviewing QA/QC protocols. • Reviewing quality analysis of RC data. • Reviewing the quality of the RC sample and assay data. • Conducting unannounced visits to the assay laboratory. 9.1.1 Internal reviews AngloGold Ashanti has developed and implemented a rigorous system of internal and external reviews aimed at providing assurance in respect of Mineral Resource and Mineral Reserve estimates. This structured system ensures the accuracy and validity of Mineral Resource and Mineral Reserve estimates. This approach involves a clear delegation of responsibilities, with individuals at various organisational levels assuming responsibility and reviewing the work they are directly involved in through an internal review and sign-off process. Mine site technical specialists, who may be Qualified Persons, prepare and document the information supporting the Mineral Reserve and Mineral Resource estimates. Mineral Resource and Mineral Reserve estimates are reviewed by the Project team’s technical specialists during key stages of the estimate generation and reporting, followed by a final review conducted by corporate Qualified Persons with a global oversight role. AngloGold Ashanti have a number of internal processes in support of Mineral Resource and Mineral Reserve estimates. These include reconciliation, mineability and dilution evaluations, investigations of grade discrepancies, long-term / strategic plan reviews, and mining studies to meet internal financing criteria for project advancement. 9.1.2 External audit An external independent audit was undertaken by RSC Consulting Limited (RSC) during November-December 2025 and reported in January 2026. RSC concluded that the Merlin Mineral Resource estimate for the Merlin deposit was reported in accordance with S-K 1300. No material risks were identified following completion of the external review. AngloGold Ashanti Technical Report Summary for the Arthur Gold Project – current at 31 December 2025 __________________________________________________________________________________________ 26 March 2026 64 9.2 Limitations on, or failure to conduct verification There were no limitations placed on the Qualified Person with verifying the data that supports the Mineral Resource and Mineral Reserve estimate. 9.3 Qualified Person's opinion on data adequacy 9.3.1 Mr. Geoffrey Gushée Geoffrey Gushée completed site visits (refer to Chapter 2.6). Through completion of data verification procedures and activities listed in Section 9.1, Geoffrey Gushée has verified that: • Appropriate procedures, checks, and validations for drilling, sampling, assaying, and geological logging are in place. • Drilling, sampling, assaying, and logging activities are conducted and/or supervised by trained and competent personnel. • Core and RC logging is conducted to a high standard and meets industry standards for gold exploration. • Collar and downhole surveying have been performed using industry standard instrumentation, and suitable for determining 3D position of mineralised intercepts relied upon for interpreting mineralisation wireframes. • Appropriate levels of QA/QC are performed routinely to confirm precision and accuracy. • Density data is accurately measured, and adequate coverage of density data is available for tonnage estimation in Mineral Resource and Mineral Reserve estimates. • Core recovery is measured, demonstrating acceptable DD core recoveries over time. • Data integrity is verified for data in the drill hole database. In the opinion of the Qualified Person, sample method, preparation, governance and analytical procedures as described are adequate and can be relied upon in the Mineral Resource estimates, and support the Mineral Reserve estimates. 9.3.2 Mr. Hamid Taghavi Hamid Taghavi completed site visits (refer to Chapter 2.6). Hamid Taghavi focused on verifying the adequacy and accuracy of data specifically related to Mineral Reserve, covering the following aspects: • The mine, overburden storage area and stockpile designs, and access requirements are accurate and feasible. Representative economic assumptions, including commodity prices, recovery rates, mining costs, processing costs, general and administrative costs and capital expenditures were used. Cut-off grade calculations reflect processing costs, metallurgical recoveries, and operational constraints. • The recovery factors are representative of the processing methods used. • Sensitivities conducted on key factors: metal prices, operating costs, recovery rates and overall slope angles, to assess the impact on the Mineral Reserve estimates. • The data, methods, and assumptions support Mineral Reserve estimation. The opinion of the Qualified Person is that the data used is adequate, accurate and sufficient to support the Mineral Reserve estimates. 10. Mineral processing and metallurgical testing 10.1 Introduction Metallurgical testing programs have been completed for the Silicon and Merlin deposits since 2021. Testing from four programs have been reviewed and deemed appropriate for estimation of reasonable prospects of


 
AngloGold Ashanti Technical Report Summary for the Arthur Gold Project – current at 31 December 2025 __________________________________________________________________________________________ 26 March 2026 65 economic extraction for the Mineral Resource estimates for Silicon and Merlin and metallurgical modifying factors for the Mineral Reserve estimates for Merlin (Table 10.1). Table 10.1. Metallurgical testing programs, Silicon and Merlin deposits. Report Date Deposit Description 14 Oct 2021 Silicon Metallurgical testing programme on four master composites to collect process parameters for heap leach, gravity, milling/cyanidation, and flotation processing. Included gravity-cyanidation testing on 20 RC cuttings composites. Completed by McClelland Laboratories Inc. in Sparks, NV, USA. 15 Dec 2022 Merlin Scoping metallurgical test programme for indicative amenability to bottle roll cyanidation, gravity recovery, and flotation testwork on 10 drill core intervals. Completed by Kappes Cassiday and Associates in Reno, NV, USA (project ID MER01). 30 Apr 2024 Merlin Metallurgical test programme on 64 drill core intervals and 10 master composites to collect process parameters and variability data on a geometallurgical representative sample set. Testing included bottle roll leaching, agglomeration, column leach, and compacted permeability test- work. Completed by Kappes Cassiday and Associates in Reno, NV, USA (project ID MER02). 9 Jan 2025 Merlin Metallurgical test programme on 51 composites from whole core collected from 5 drill holes within the Merlin deposit. Testing was completed to collect process parameters for milling and gravity recovery, variability data, and size sensitivity data for milling and column heap leaching. Completed by McClelland Laboratories Inc. in Sparks, NV, USA. (project ID 4903) Additional characterisation and testing were completed on samples for the Silicon deposit. These include more variability and amenability testing for milling-cyanidation, heap leach cyanidation, flotation, and atmospheric oxidation of concentrates. Results from these programs will be incorporated into future studies. Limited testing was completed by a previous owner on the southern end of the Merlin pit shell. Testing included limited bottle roll and column leach tests. Results were generally consistent with other oxide materials tested near that area of the Merlin deposit. Not all of the sampling methods could be verified and the limited amount of test results reported from these programs were excluded from estimates of the metallurgical response. 10.2 Merlin deposit 10.2.1 Mineral processing and metallurgical testing 10.2.1.1 Metallurgical sampling Sampling for the testwork completed in 2022 (by Kappes Cassiday and Associates) targeted 6.1m composites from the stratigraphic units that contained most of the gold mineralisation. These intervals were selected from different areas and elevations throughout the Merlin deposit. Of the 10 intervals selected, four were from the Bullfrog Tuff unit and four were from the Tram Tuff. The remaining intervals were selected from deeper and more refractory units, mostly outside of the planned pit, and rhyolite of the Picture Rock and Joshua Hollow Formations. A geometallurgical analysis was completed using the geochemical data to guide the selection of intervals for Merlin variability testing completed in 2024. The drill hole data were composited to 9.1m and intervals with less than 0.2g/t gold were removed. Using a clustering algorithm applied to the geochemical data six clusters were identified based on the concentrations of iron, mercury, sulphur, strontium, tellurium, and vanadium. Two of these clusters (clusters 2 and 4) were relatively similar and were combined for sampling and analysis. Cluster three included areas with significant alunite alteration with variable degrees of oxidation. The other clusters lacked indications of strong alunite alteration. Each of these clusters captured a different degree of oxidation. Most of the least oxidised composites were included in cluster six and were located outside of the planned pit. Figure 10.1 plots the composites in respect to the sulphur to iron ratio as a proxy for oxidation and the potassium plus sodium to aluminium ratio which maps the transition from clays (close to the origin) to micas (~0.3) and feldspars (~1.0). Drill core from these intervals were collected for a metallurgical testing program conducted at Kappes Cassiday for the 2024 programme. AngloGold Ashanti Technical Report Summary for the Arthur Gold Project – current at 31 December 2025 __________________________________________________________________________________________ 26 March 2026 66 Figure 10.1. Merlin geometallurgical clusters of 30ft composites with grades above 0.2g/t gold. Note: Figure prepared by AngloGold Ashanti, 2025. The colour of each point indicates the cluster, the shape indicating the location in respect to the planned pit shell, and the size indicating the ratio of cyanide soluble gold to total assayed gold content. Whole core samples from five PQ diameter drill holes were tested in McClelland Laboratories Inc. Drilling and sampling was completed in 2024 with testing completed in 2025. Three of these drill holes targeted mineralisation within phase 1 of the planned Merlin pit shell centred on the Lynnda Vein mineralisation. The other two drill holes were in mineralisation to the north and to the west within the Merlin pit shell. After geological logging at site, whole core within the likely mineralised zone was delivered to the metallurgical laboratory and divided into 3m intervals. Samples for comminution testing were collected from whole core before each 3m interval was crushed to a nominal 50mm size then blended and split (coned and quartered) with hand tools. Representative splits were reserved for column leach testing while the remainder of the material was further crushed, blended, and split in a similar fashion to produce representative splits at finer sizes for assaying and bottle roll testing. Intervals were combined into 35 sections with continuous lithology, alteration and grades generally above 0.2g/t gold. Each of these now larger intervals were used for coarse bottle roll testing. Based on those results, intervals with similar lithology, alteration, and apparent amenability to cyanidation were combined to make seven composites representing average grade material and three composites representation high grade vein material within the main pit shell. In the west hole, two composites were made representing a less amenable sulphide composite and a more amenable leach composite. In the north hole, three composites of average grades and variability amenability, and a composite of a single high-grade vein intercepted were made for testing. The test- work programme included head analysis, comminution, bottle roll leach, column leach, agglomeration, load permeability and gravity testwork. Figure 10.2 illustrates the sample distribution in the 2025 Mineral Resource and Mineral Reserve pit shells. AngloGold Ashanti Technical Report Summary for the Arthur Gold Project – current at 31 December 2025 __________________________________________________________________________________________ 26 March 2026 67 Figure 10.2. Merlin sample locations by test program, Mineral Resource and Mineral Reserve pit shells. Note: Figure prepared by AngloGold Ashanti, 2025. LOM: life of mine; KCA: Kappes Cassiday & Associates; MLI: McClelland Laboratories Inc. 10.2.1.2 Mineralogy Semi-quantitative mineralogical analyses were completed by Advanced Mineral Technology Laboratory (AMTEL, London, ON, Canada) for samples from included in the 2022 and 2024 testing programmes at Kappes Cassiday and Associates (KCA). Intervals from high-grade vein intercepts and two intervals representing average and low oxide grades were collected for full gold deportment analyses. These were completed by Integrated Process Mineralogy Solutions Inc (iPIMNS, Mississauga, ON, Canada). The general mineralogy of the samples indicated the presence of a range of clays including kaolinite, illite, and smectite in typically low but varying amounts. Although the abundance of silicates varied from sample to sample, the rock mineralogy was similar for all samples. With some minor exceptions, sulphur content in the samples tested was very low and on average ≤0.16% for all samples. For most samples the sulphide content was ≤0.01%. Jarosite was the primary sulphate mineral observed, followed by baryte and alunite. The sulphur mineralogy of the samples indicated that the sulphur content is mainly associated with pyrite and very small quantities of chalcopyrite, arsenopyrite, pyrrhotite, and marcasite. Sphalerite and galena were observed mostly in trace amounts. The gangue mineralogy consisted of silicates like quartz, orthoclase and albite, as well as clays such as kaolinite and illite, with orthoclase being the most common feldspar mineral identified. Quantities of oxides of iron ranging from 0.6 to 3 wt.%, were also detected as hematite and goethite. The higher pyrrhotite content in the samples was limited to ≤24ppm. Cyanide soluble sources of iron and copper are therefore minimal with the highest copper content being 21ppm. A gold deportment study on seven composite samples from Merlin deposit was performed to determine the distribution of gold among different phases in the ore, and to identify the mineralogical factors that affect gold recoveries. Modal mineralogy, liberation, elemental deportment, microscopic/visible gold morphology and quantification of sub-microscopic gold (invisible gold) in iron-oxide and other minerals were investigated. The gold grade in the seven composite samples with a grind of P80 100µm ranged from 0.451g/t gold to a high of 23.7g/t gold. The quantity of visible gold (under magnification) consisting of native gold and gold-silver electrum in samples with grain sizes of 1 to 168µm, ranged from 82% to 99.1%. AngloGold Ashanti Technical Report Summary for the Arthur Gold Project – current at 31 December 2025 __________________________________________________________________________________________ 26 March 2026 68 A large fraction of the total gold in samples (65%-99%, average 82.2%) was determined to be liberated gold with the remainder being locked gold within the crystals of the impervious host minerals such as quartz, or pyrite. The invisible gold fraction consisting of extremely fine particles undetectable by standard microscopes or chemically associated with silicates and sulphide minerals ranged from less than 1% to 18%. The gold deportment study indicated a strong correlation between fraction of invisible gold and presence of hematite, goethite and alunite in the ore. 10.2.1.3 Comminution testing Comminution testing results included results from Steve Morrell Comminution (SMC) and the Bond work index suite: Low Energy Impact (Crusher), Rod Mill Work Index, Ball Mill Work Index and Abrasion Index, as well as high-pressure grinding rolls (HPGR) specific throughput. In the 2024 test programme completed by KCA, 10 samples were tested for Bond ball mill work index, Bond abrasion index and SMC data. The comminution testwork was subcontracted to Hazen Research, Inc in Golden, Colorado. In 2025 test programme by McClelland Laboratories (MLI), SMC and Bond suite determinations were completed for eight sets of samples. Whole PQ core samples were used for crusher work index determinations with the residues collected for the remaining comminution testing. SMC determinations were completed for seven of the eight composites by FLS Dawson Labs in Salt Lake City, Utah, and interpreted by JKTech remotely. One composite did not have sufficient material for SMC testing and was not included. Additional to the Bond and JKTech testing, HPGR specific throughput determinations were completed for 26 composites. These were completed using a pilot HPGR located at KCA in September 2023. 10.2.1.4 Gravity recovery testwork In the 2022 testing programme at KCA, samples were stage ground to P100 212µm and then gravity concentrated using a Falcon L40 concentrator. The Falcon concentrates were hand panned to produce cleaner concentrates. Cleaner concentrates were fire assayed in their entirety for gold and silver. The panned tailings were combined with the gravity tailings and bottle roll leached. In 2025 testing programme at MLI, high-grade vein composites were ground to a P80 of 150µm before gravity concentration using a laboratory Knelson concentrator (MD3). The resulting gravity concentrate was cleaned using a Mozley Super Panner table. The panned concentrates were later used for intensive cyanidation tests. The panned tailings and the gravity tailings were recombined for cyanidation tests. Also, in the 2025 testing programme at MLI, extended-gravity recoverable gold (E-GRG) tests were completed on four high-grade vein intervals. The procedure consisted of sequentially milling and processing 20kg samples using laboratory ball mills and a Knelson concentrator (MD3). Grind sizes evaluated were P100 850µm, P80 250µm and P80 75µm. The resulting gravity concentrate at each grind size was screened to separate by particle size. Size fractions were each dried, weighed and assayed for gold and silver. 10.2.1.5 Flotation testwork In the 2022 programme at KCA, rougher and cleaner flotation testwork was completed on a portion of the received samples. The samples were ground to a P80 150µm for the flotation tests. The reagents were selected for a bulk sulphide float with gold specific collectors. These were copper sulphate as an activator, Aero MX 955, Aerofloat 208 and PAX as collectors and Oreprep F-549 and Aerofroth 70 as frothers. The tests were conducted at a natural pH solution environment. The reagents used in the cleaner flotation tests included Aerofloat 208, and PAX as collectors the tests were conducted at a natural pH. No regrind was conducted. Results from these scoping tests were poor, as expected for oxide material. No additional testing was conducted in follow-up programs for the Merlin deposit. 10.2.1.6 Bottle roll cyanidation Bottle roll cyanidation tests were completed during each testing programme for the Merlin deposit. A total of 348 tests were completed on 135 different samples. Testing for most composites included direct leaching from material crushed to 1.7mm to collect indicative data for column and heap leaching and CIL testing at P80 106µm.


 
AngloGold Ashanti Technical Report Summary for the Arthur Gold Project – current at 31 December 2025 __________________________________________________________________________________________ 26 March 2026 69 Larger composites had additional testing for grind size variability, gravity-cyanidation, and sensitivity to sodium cyanide concentration. 10.2.1.7 Solid liquid separation (SLS) tests A single oxide composite comprised of material from the 2025 testing programme at McClelland Laboratories was submitted to Pocock Industrial in Salt Lake City, UT, USA for solid liquid separation (SLS) testing. Before shipping, subsamples of the composite were ground to P80 150µm, 106µm or 75µm before cyanide leaching. Leached residues were then used for rheology, thickening, vacuum filtration, and pressure filtration test-work. Testing indicated that pressure filtration was required to generate cakes suitable for stability in a filtered TSF. Residues from the different grind sizes were shipped to NewFields Mining Design and Technical Services for stability testing at their Elko, Nevada laboratory. 10.2.1.8 Column leach tests A total of 44 column leach tests were completed on 26 different composites. Testing for all composites included leaching after HPGR crushing. For larger composites, additional column leach tests were completed on crush sizes of 50mm and 12.7mm. 10.2.2 Metallurgical results 10.2.2.1 Comminution testing The average, 20th percentile, and 80th percentile of comminution testing is provided in Table 10.2. Table 10.2. Comminution test results summary. Items Mean 20th percentile 80th percentile CWi, kWh/t 8.2 7.3 9.1 RWi, kWh/t 17.8 17.05 18.5 BWi (150µm CSS), kWh/t 21.04 19.48 23.14 Ai, g 0.38 0.27 0.53 SG 2.46 2.49 2.43 A 72.41 65.4 79.0 b 0.63 0.46 0.74 A x b 44.4 38.1 48.9 ta 0.47 0.40 0.50 DWi, kWh/m3 5.78 5.15 6.50 DWi, % 39.12 31.0 48.0 Mia, kWh/t 18.9 17.00 20.9 Mih, kWh/t 13.64 11.90 15.40 Mic, kWh/t 7.04 6.20 7.90 SCSE, kWh/t 9.37 8.86 9.84 Note: CWi: Crusher Work Index, RWi: Bond Rod Mill Work index, BWi: Bond Ball Mill Work index, Ai: Bond Abrasion index, SG: specific gravity, A/b/Axb/ta: JKSimMet SAG mill simulation parameters, DWi: drop weight index, Mia/ih/ic: resistance to breakage parameters, SCSE: SAG circuit specific energy, kWh/t: kilowatt hour per metric tonne, kWh/m3: kilowatt hour per cubic metre. A total of 26 composites were subjected to HPGR crushing using a pilot machine located at KCA in Reno. The average feed F80 was 19.05mm and the average product P80 was 7.06mm, the average percent passing 1mm was 38%. Both HPGR testing programmes applied single pass, no screens and no edge recycling. Results from these pilot HPGR tests are summarised in Table 10.3. AngloGold Ashanti Technical Report Summary for the Arthur Gold Project – current at 31 December 2025 __________________________________________________________________________________________ 26 March 2026 70 Table 10.3. Pilot HPGR test results summary. Items Mean 20th percentile 80th percentile Specific throughput, t/h m3 234 228.0 239.8 Specific energy input at shaft, kWh/t 1.95 1.85 2.02 Note: t/h m3: metric tonne per hour per cubic metre, kWh/t: kilowatt hour per metric tonne. The SMC grinding test-work indicates Merlin is a medium hard ore. The Bond Ball Work Indices indicate a material that is easily crushed, but difficult to grind. The Merlin HPGR results indicate an ore amenable to HPGR crushing. Because of the limited number of tests and uncertainty of ore proportions represented by each sample, the 80th percentile values for SMC and Bond Suite values are used for design (as opposed to 75th percentile to account for ore variability only during production). The HPGR preliminary sizing is based primarily on expected feed top size (50mm) and a manufacturers’ “catalogue” size available. The expected roll diameter required, at 2m, and roll width, at 1m, indicates the HPGR would achieve the required throughput, even with the lowest HPGR specific throughput measured (215t/h m3). 10.2.2.2 Gravity recovery testwork Batch gravity recoveries ranged from 2% to 11% of the contained gold for seven composites testing in the 2022 testing programme. More detailed E-GRG testing was completed for the 2025 programme on high grade vein samples. Results indicated that more significant amounts of gold will be recovered by gravity during operations from material similar to these samples. No specific scale-up work has been completed to estimate the coarse gold recovery during operations however, based on these results gravity recovery was included in the processing flowsheet. 10.2.2.3 Milling cyanidation Test results indicate that higher gold and silver recoveries are obtained at finer grind size. With the benefit of higher metal recoveries, finer grind size also carries relatively higher sodium cyanide and hydrated lime consumption. Results from the 2024 and 2025 testing programmes are illustrated in Figure 10.3. AngloGold Ashanti Technical Report Summary for the Arthur Gold Project – current at 31 December 2025 __________________________________________________________________________________________ 26 March 2026 71 Figure 10.3. Merlin Bottle Roll Test Results, 2024 and 2025 Testing Programs (KCA MER02 and MLI 4903), results by grind size (P80 µm). Note: Figure prepared by AngloGold Ashanti, 2025. Au: gold; Ag: silver: NaCN: sodium cyanide; kg/t: kilogram per metric tonne. Based on filtration and tailings stability data, the additional recovery gained for finer grinding to 75µm would not compensate for the additional filtration and material handling needed for filtered tailings. Gold recovery by milling cyanidation is modelled to be variable based on the gold head grade. This is based on the data collected from all CIL, P80 106µm test data collected for Merlin. Data were grouped into five grade bins. Outliers were removed and the median head grades and recoveries from each bin were selected. Material types and head grade medians with their recovery medians are illustrated in in Figure 10.4. AngloGold Ashanti Technical Report Summary for the Arthur Gold Project – current at 31 December 2025 __________________________________________________________________________________________ 26 March 2026 72 Figure 10.4. Gold recovery vs head grade by ore types, oxide material. Note: Figure prepared by AngloGold Ashanti, 2025. Ox: Oxide, TT: Tram Tuff, BT: Bullfrog Tuff, other: none silicic/silicic adularia; SSA: Silicic/silicic adularia. A linear log regression model was fitted to the median points. Oxide Materials: Modeled via linear log regression 𝑅𝐴𝑢(%) = 4.633 × log10 𝐴𝑢 + 91.96 𝑅𝐴𝑢(%) ≤ 95 Where: Au is gold head grade in grams per metric ton and RAu is the gold recovery percentage. Gold recoveries from transition and sulphide materials indicated little correlation with the gold head grade. Flat recoveries based on the average of test results, are predicted at the current stage of the Project: • Transition materials: Flat recovery of 73.95%. • Sulfide materials: Flat recovery of 15.09%. As shown in Figure 10.5, silver recovery showed little correlation with the silver head grades. Thus, a flat silver recovery is predicted at the current stage of the Project. Silver recovery was therefore modeled as flat recovery, weighted by silver content distribution. Overall mill silver recovery was 22.21%.


 
AngloGold Ashanti Technical Report Summary for the Arthur Gold Project – current at 31 December 2025 __________________________________________________________________________________________ 26 March 2026 73 Figure 10.5. Silver recovery vs head grade. Note: Figure prepared by AngloGold Ashanti, 2025. Ox: oxidised, T: Transitional, S: Unoxidised, TT: tram tuff, BT: Bullfrog Tuff, SSA: Silicic/Silicic Adularia, other: none Silicic/Silicic Adularia. 10.2.2.4 Pressure filtration Pocock Industrial conducted solid liquid separation tests on three tailing products from the same oxide composite. The SLS test programme developed a set of data for design and optimisation of thickening and filtration equipment for the study. Pressure filtration tests examined the effect of membrane squeeze, air-dry duration on production rate and filter cake moisture for each material at the feed solids concentrations expected in the plant. At 80psig for fill and air blow, pressure filtration with membrane squeeze with air blow on the P80 106µm material provided 15.5% filtered cake moisture. Moisture contents of the filter cake from pressure filtration can be produced with very close to optimum for the coarsest grind (150µm) and the middle grind (106µm) yielded results that were 2-3% above optimum moisture content. The finest grind (75µm) was 6-7% above optimum moisture content. This result suggests that tailings at a grind size P80 of 75µm would require additional moisture reduction practices during placement and compaction on a TSF. In conclusion, grind sizes 150µm and 106µm are amendable to placement in a filtered TSF with little to no moisture manipulation however 75µm would require additional handling to reduce the moisture content before final placement. 10.2.2.5 Heap leach cyanidation A total of 26 tests were completed on composites after single pass crushing in a pilot HPGR. The crush size from these tests varied between P80 5mm and 9mm. The 2025 programme at McClelland Laboratories included testing after crushing to P80 50mm or 12.7mm for composites having enough material. All composites were tested after crushing by HPGR. For 8 of the 11 composites tested after crushing to 12.7mm and crushing by HPGR, the reduced top size and increased fines content in the HPGR resulted in increases of gold leaching kinetics and recoveries by 2% to 17% with an average increase of 9%. For three of the 11 composites, the HPGR tests reported 5%, 7%, and AngloGold Ashanti Technical Report Summary for the Arthur Gold Project – current at 31 December 2025 __________________________________________________________________________________________ 26 March 2026 74 8% lower recoveries compared to the P80 12.7mm tests. The lower recovery may be a result of assay variability affecting the calculated head grade or poor permeability during column leaching. Total leach duration, recovery, and calculated head grades for the 44 column leach tests included in pre- feasibility study are illustrated in Figure 10.6 and provided in Table 10.4. Figure 10.6. Column leach test results. Note: Figure prepared by AngloGold Ashanti, 2025. HPGR: High-pressure grinding rolls. Table 10.4. Column leach test results. Sample ID Description Crush Size Leach Time, days Gold recovery % Silver recovery % Calculated Head Grade Gold g/mt Silver g/mt 4903-041 Phase 1 Leach 1 50mm 154 76% 8% 0.74 1.3 12.7mm 117 80% 7% 0.64 1.4 HPGR 103 81% 7% 0.59 1.4 4903-042 Phase 1 Leach 2 50mm 219 86% 20% 0.51 0.4 12.7mm 137 94% 50% 0.50 0.2 HPGR 75 89% 50% 0.45 0.2 4903-043 Phase 1 Leach 3 50mm 374 51% 7% 0.70 1.5 12.7mm 299 56% 7% 0.80 1.4 HPGR 263 70% 7% 0.91 1.4 4903-044 Phase 1 Leach 4 50mm 352 68% 3% 0.96 3.6 12.7mm 243 71% 3% 0.91 4.0 HPGR 217 77% 3% 0.92 3.8 AngloGold Ashanti Technical Report Summary for the Arthur Gold Project – current at 31 December 2025 __________________________________________________________________________________________ 26 March 2026 75 Sample ID Description Crush Size Leach Time, days Gold recovery % Silver recovery % Calculated Head Grade Gold g/mt Silver g/mt 4903-045 Phase 1 Leach 5 12.7mm 215 80% 5% 1.65 2.1 HPGR 129 88% 5% 1.41 2.1 4903-046 Phase 1 Leach 6 12.7mm 303 65% 5% 2.76 6.6 HPGR 287 82% 8% 2.67 6.5 4903-047 Phase 1 Leach 7 50mm 357 86% 28% 4.02 1.8 12.7mm 279 93% 31% 3.36 1.3 HPGR 287 85% 28% 5.62 1.8 4903-048 Phase 1 Vein 1 HPGR 249 92% 77% 13.41 4.3 4903-049 Phase 1 Vein 2 HPGR 204 72% 5% 3.79 12.6 4903-050 Phase 1 Vein 3 HPGR 288 78% 66% 24.12 10.9 4903-036 West Leach 50mm 329 82% 8% 1.02 2.5 12.7mm 158 80% 8% 0.93 2.5 HPGR 131 90% 15% 0.76 2.6 4903-037 West Sulphide HPGR 77 74% 44% 0.27 1.6 4903-038 North Leach 1 50mm 357 83% 7% 1.35 1.4 12.7mm 269 82% 6% 1.25 1.7 HPGR 279 75% 11% 1.54 1.8 4903-039 North Leach 2 12.7mm 143 58% 7% 0.48 1.4 HPGR 131 63% 7% 0.49 1.5 4903-040 North Leach 3 12.7mm 143 71% 14% 0.45 0.7 HPGR 131 82% 17% 0.45 0.6 4903-051 North Vein HPGR 263 74% 21% 7.64 7.8 MerMC-001 Oxide Type 1 HPGR 73 80% 10% 0.31 1.7 MerMC-002 Oxide Type 1 HPGR 145 72% 6% 0.95 1.7 MerMC-003 Oxide Type 2 HPGR 100 52% 6% 0.41 3.2 MerMC-004 Oxide Type 2 HPGR 73 68% 14% 0.55 6.6 MerMC-005 Oxide Type 2 HPGR 170 81% 13% 0.96 3.6 MerMC-006 Oxide Type 2 HPGR 170 68% 11% 2.49 5.7 MerMC-007 Oxide Type 3 HPGR 100 75% 9% 0.83 1.9 MerMC-008 Alunitic Oxide HPGR 73 76% 3% 1.39 4.1 MerMC-009 Unoxidised HPGR 79 21% 13% 0.45 1.5 MerMC-010 Unoxidised HPGR 79 12% 8% 1.06 2.3 Note: HPGR: Highpressure grinding rolls; g/mt: gram per metric tonne. To expand the variability dataset for heap leach cyanidation, every composite was subjected to bottle roll cyanidation for 96 hours after crushing to P80 1.7mm. A comparison between the coarse bottle roll tests and the column leach tests indicates that these are a suitable proxy for composites without column leach testing. Results from the coarse bottle roll tests are illustrated in Figure 10.7. The coarse bottle roll test recovery versus the HPGR column leach recovery for 26 composites is plotted in Figure 10.8. AngloGold Ashanti Technical Report Summary for the Arthur Gold Project – current at 31 December 2025 __________________________________________________________________________________________ 26 March 2026 76 Figure 10.7. Coarse (1.7mm) bottle roll test results, composite grade below 1.7g/mt gold. Note: Figure prepared by AngloGold Ashanti, 2025. g/mt: gram per metric tonne.


 
AngloGold Ashanti Technical Report Summary for the Arthur Gold Project – current at 31 December 2025 __________________________________________________________________________________________ 26 March 2026 77 Figure 10.8. Coarse bottle test recovery versus HPGR column leach test recovery. Note: Figure prepared by AngloGold Ashanti, 2025. HPGR: High-pressure grinding rolls. Based on the column leach data collected for HPGR crushing, the final gold recovery is estimated as 79.0%. Estimates for transition and sulphide material relied on bottle roll proxy data. Final gold recoveries from these are estimated as 63.7% and 13.36%, respectively. Silver recovery was generally low for all composites tested. Heap leach silver recovery for all material types is estimated as 10.2%. 10.2.2.6 Agglomeration Preliminary agglomeration optimisation tests were completed for HPGR crushed samples during both the 2024 and 2025 testing programmes. Results indicated that 3kg to 10kg of cement per tonne of feed would be needed for effective agglomeration. Loaded permeability testing completed on the testing residues confirmed that cement agglomeration was required to maintain acceptable permeability for HPGR crushed material under the full heap leach height. Agglomeration would not likely be required for material crushed to 12.7mm. Tests crushed to 12.7mm maintained acceptable permeability up to 60m of simulated heap stack height and only a single test reported permeability below a reasonably acceptable limit for 91m and 122m. The fines content versus the hydraulic conductivity for the 2025 McClelland Laboratories testing programme are plotted in Figure 10.9. AngloGold Ashanti Technical Report Summary for the Arthur Gold Project – current at 31 December 2025 __________________________________________________________________________________________ 26 March 2026 78 Figure 10.9. Hydraulic conductivity at 122m simulated stack height. Note: Figure prepared by AngloGold Ashanti, 2025. HPGR: High Pressure Grinding Rolls Lph/m2: Litre per hour per square metre. 10.3 Silicon deposit 10.3.1 Mineral processing and metallurgical testing A metallurgical testwork study was completed in 2021. The programme aimed to assess four potential processing routes: run-of-mine (ROM) heap leaching; crushed heap leaching; conventional milling and leaching; and finally; milling with a float-fine-grind leach circuit. The testwork was broadly split into two components, the master composite and RC drilling variability composite programs. The master composite programme covered a full suite of metallurgical testing for concept level process flowsheet development and metallurgical characterisation. Samples were composited into four main alteration classes thought to have discrete metallurgical properties. Approximately 180-300kg of PQ and/or HQ DD core were composited into four main alteration types: advanced argillic fresh (sulphidic); advanced argillic oxide; illitic/other fresh (sulphidic) and illitic/other oxide. The purpose of the master composite programme was to develop a concept level flowsheet. The test-work included column heap leach tests at two crush sizes, direct cyanide bottle rolls for carbon-in-leach (CIL) and direct cyanide bottle rolls after flotation and fine-grinding. Head assays, comminution testing, gravity separation, mineralogy, and coarse bottle roll tests were also completed. The RC programme studied five composites from each of the four main alteration types (20 total) and different gold grades. The as-received samples of RC drill chips were composited. Testing included direct cyanide bottle roll tests after grinding to P80 of 75 and 106µm, both with and without prior gravity separation. Matching samples were also subjected to LeachWell bottle rolls and 30g cyanide soluble gold analysis (shake leaches) after pulverising to a nominal 75µm. 10.3.2 Metallurgical results Recoveries for gold and silver recoveries were developed for four different processing options. 1. Heap leaching ROM material without crushing. 2. Heap leaching material crushed to P100 12.5mm. AngloGold Ashanti Technical Report Summary for the Arthur Gold Project – current at 31 December 2025 __________________________________________________________________________________________ 26 March 2026 79 3. CIL cyanidation after milling to P80 75µm with a gravity recovery circuit. 4. Rougher flotation after milling to P80 105µm, re-grinding the rougher concentrate, and CIL cyanidation of the combined re-ground concentrate and rougher flotation tailings. Gravity recovery is included with the initial grinding stage. The ROM heap leach recovery was based on an extrapolation of the P100 44mm crushed leach column tests and can only be considered at indicative in the absence of additional test-work. Recoveries for the other three processing options are based on laboratory testing. Operating costs were based on test-work conditions and benchmarks from Forte Dynamics. The 12.5mm Crushed Heap Leach was selected as the preferred case for the Concept Study based on technical-economic evaluations. There were no issues with percolation during column leach testing after crushing to 12.5mm indicating that cement agglomeration is not likely needed. Clays need to be fully characterised to determine risk to solution flows in the heap leach facility. Tellurides may influence kinetics but not necessarily on final recovery, to be investigated further. Other refractory components will need to be understood with variability and detailed analysis in future mining studies. Refer to Table 10.5 for the estimated recovery for Silicon. AngloGold Ashanti Technical Report Summary for the Arthur Gold Project – current at 31 December 2025 __________________________________________________________________________________________ 26 March 2026 80 Table 10.5. Silicon estimated recovery. Flowsheet Unit Material Type (Alteration Redox) Source AA_FR AA_OX IL_FR IL_OX ROM heap leach Gold Recovery (%) 57.0% 67.0% 41.0% 59.0% Estimated Silver Recovery (%) 30.0% 20.0% 10.0% 25.0% Estimated 12.5mm crushed heap leach (selected flowsheet) Gold Recovery (%) 72.0% 82.0% 56.0% 74.0% Testwork Silver Recovery (%) 45.0% 35.0% 25.0% 40.0% Testwork Milling-cyanidation (CIL) Gold Recovery (%) 85.1% 91.4% 46.8% 83.6% Testwork Silver Recovery (%) 75.5% 41.2% 36.3% 74.7% Testwork Flotation with cyanidation (CIL) of re-ground concentrate and float tailings Gold Recovery (%) 85.1% 91.4% 46.8% 86.6% Testwork Silver Recovery (%) 75.5% 41.2% 36.3% 74.7% Testwork Note: ROM: run-of mine; CIL: carbon-in-leach; Au: gold; Ag: silver; AA_FR: Advanced Adularia, Fresh; AA_OX: Advanced Adularia, Oxidised; IL_FR: Illitic, Fresh; IL_OX: Illitic, Oxide.


 
AngloGold Ashanti Technical Report Summary for the Arthur Gold Project – current at 31 December 2025 __________________________________________________________________________________________ 26 March 2026 81 10.4 Qualified Person's opinion on data adequacy The volume, quality, and representativeness of testing completed for the Silicon deposit is appropriate and consistent with industry-standard practices and can support a Mineral Resource estimate. Additional testing and evaluations to advance studies of the Silicon deposit were in progress at the Report date. The volume, quality, and representativeness of testing completed for the Merlin deposit is appropriate and consistent with industry-standard practices and can support Mineral Resource and Mineral Reserve estimation and mine planning. There are no additional processing factors or deleterious elements known that could have a significant impact on economic extraction or sale of doré product. Additional testing and evaluations to advance studies of the Merlin were in progress at the Report date. 11. Mineral Resource estimates 11.1 Introduction The Merlin and Silicon deposits are located approximately 2km apart, with the upper rim of the Mineral Resource shells approaching 150m apart (Figure 11.1). Figure 11.1. Mineral Resource model boundaries for the Arthur Gold Project. Note: Figure prepared by AngloGold Ashanti, 2025. AngloGold Ashanti Technical Report Summary for the Arthur Gold Project – current at 31 December 2025 __________________________________________________________________________________________ 26 March 2026 82 In this Report, the Merlin and Silicon deposits were treated as individual deposits and estimated using separate Mineral Resource models. Data analysis, geological modelling, block model parameters, and grade estimation were dependent on information available at the time of model creation. Some drill holes are used for both the Silicon and Merlin estimates due to overlapping Mineral Resource model boundaries. Despite this shared data, the resource shells are mutually exclusive and provide unique, non- overlapping Mineral Resource numbers. AngloGold Ashanti were responsible for the Merlin gold and silver Mineral Resource estimates. The Nevada Projects Geology team was responsible for the datasets, QA/QC of the datasets, geological interpretation, geological domaining, model flagging, and reporting of the Mineral Resource. Mineral Resource modelling was conducted between August and October 2025, following an infill drill campaign. AngloGold Ashanti commissioned RESPEC Company, LLC (RESPEC) to estimate gold and silver Mineral Resource estimates for the Silicon deposit. RESPEC documented estimation methodology, results, and related reviews of data including QA/QC and Data Verification. RESPEC completed the Silicon model work in October 2022. Drill hole data, digital topography of the Project area, and geological and block models, use the NAD83 UTM Zone 11N coordinate system. Distance unit measurements are in metres with gold and silver assay values modelled in grams per tonne for both the Merlin and Silicon deposits. 11.2 Merlin deposit 11.2.1 Exploratory data analysis The Merlin Mineral Resource estimate was based on a database extracted 29th of August, September 23rd, and September 20th, 2025, for gold, silver, and density, respectively, by AngloGold Ashanti personnel. Drilling is orientated in multiple directions with spacing ranging from 40m x 40m in the better-drilled southern areas to 160 x 160m spacing in the poorly drilled areas. The dataset consisted of 1,132 drill holes, of which 863 were used in the Mineral Resource estimate. The dataset included wet RC drill holes, DD holes, RC pre-collars with DD, piezometer holes and historic drill holes. Wet RC drilling is common in Nevada due to governmental health and safety regulations. Model data consisted of information collected by AngloGold Ashanti and data acquired through the 2023 purchase of Coeur Sterling and Corvus Gold. Database checks were performed as part of the estimate. Base checks include the search for duplicate samples, missing data, and inconsistencies in the downhole survey and density tables. More thorough studies were performed on core sample loss and drill sample types which were used to guide compositing and grade estimation parameters. Exploratory data analysis identified the requirement for sub domains within most of the primary estimation domains to separate the higher and lower-grade gold and silver populations. The sub domains were constructed using a probabilistic domaining approach based on indicator kriging. For example, a composite interval was assumed to fall with the higher-grade mineralised domain if the composited grade was 1.7g/t gold in the 2500 domain. 11.2.2 Geological model Merlin mineralisation is a low-sulphidation gold deposit within an extensional setting. The deposit scale or first- order structures are well understood, while the confidence in second and third-order structures are lower due to the current drill hole spacing. The Crater Flat Group is the favourable host of both disseminated and vein style mineralisation. The disseminated style gold mineralisation strongly correlates to the degree of hydrothermal alteration and lithology. The variability in gold grades is similar between the two styles of mineralisation and can range from 0.1g/t gold to greater than 100g/t gold in each style. Gold mineralisation is assumed to postdate major fault movement as it is spatially defined by fault block boundaries and lithological units within those blocks. Due to this relationship, the mineralisation domains were separated into seven fault block domains to ensure grades were not extrapolated across domain boundaries. The domains were interpreted and modelled within the Leapfrog mining software using continuous mineralised volumes present within the Bullfrog-Tram group. Mineralisation was observed in the Picture Group, but the drill hole spacing is sparse and reasonable geological shapes could not be interpreted with available drill data. AngloGold Ashanti Technical Report Summary for the Arthur Gold Project – current at 31 December 2025 __________________________________________________________________________________________ 26 March 2026 83 Structural fault blocks formed the boundaries for the estimation domains and were sub-divided within each block using lithological contacts for the Paintbrush Group, Bullfrog Group, Tram Group, Picture Rock Group, and the Sierra Blanca Group. Domain boundaries are defined in Table 11.1 and Figure 11.2. Table 11.1. Fault block domains for Merlin. Domain Sub- Domain Description 1000 Western background domain within fault block (FB) 1000. 1500 Western mineralised domain within FB 1000 and the Bullfrog and Tram Groups. Includes lower grade (1501) and higher grade (1505) subdomains based on an indicator or categorical kriging of 0.6g/t gold. No higher- grade population was observed for silver. 2000 Central background domain within FB 2000. 2500 Central mineralised domain within FB 2000, Bullfrog and Tram Groups. Includes lower grade (2501) and higher grade (2505) subdomains based on an indicator or categorical kriging of 1.7g/t Au; No higher-grade population was observed for silver. 2600 Central mineralised domain within the FB 3000 and within the Picture Rock Group. 3000 Southeastern background domain within FB 3000. 3500 Southeastern mineralised domain within FB 3000 and the Bullfrog and Tram Groups. Includes lower grade (3501) and higher grade (3505) subdomains based on an indicator or categorical kriging of 1.5g/t gold or 2.00g/t silver. 3600 Southeastern mineralised domain located below the 3500, proximal to the boundary contact between the Tram and Picture Rock Groups and within FB 3000. 3700 Northeastern mineralised domain within FB 3000 and the Bullfrog and Tram Groups. Includes lower grade (3501) and higher grade (3505) subdomains based on an indicator or categorical kriging of gold 1.5g/t, no higher-grade silver population was observed. 4000 Northern background domain within FB 4000. 4500 Northern mineralised domain within FB 4000 and the Bullfrog and Tram Groups. 4510 Northern mineralised domain within FB 4000 and the Sierra Blanca Group. 4520 Northern mineralised domain within FB 4000 and the Sierra Blanca Group. 5000 Background domain within FB 5000. 6000 Background domain within FB 6000. 7000 Northeastern background domain within FB 7000. Note: FB: fault block. AngloGold Ashanti Technical Report Summary for the Arthur Gold Project – current at 31 December 2025 __________________________________________________________________________________________ 26 March 2026 84 Figure 11.2. Fault block boundaries for Merlin – plan view. Note: Prepared by AngloGold Ashanti, 2025. FB: fault block. Oxidation at Merlin is pervasive. A thick oxidation blanket extends to over 600m depth across Merlin and encompasses most of the gold mineralisation. It is currently interpreted that the significant depth extent of oxidation at Merlin is due to the high fracture density within the Crater Flat Group, resulting from the brittle deformation from the faults described above that allowed oxidising fluid to move through. Throughout Merlin, increased fracture density typically correlates to increased oxidation intensity. Oxidation surfaces were modelled using a combination of visual logging and gold recovery ratios. Oxidation surfaces define the contact between oxide to transitional and transitional to sulphide. The drill holes and block model were flagged with the estimation domains, stratigraphic sequence and oxidation surfaces within Leapfrog software and exported to Datamine software. The stratigraphic sequence was denoted as an integer in the “lith” field of the block model. The mine model was a copy of the block model with field names adjusted to allow geotechnical software to run. Numeric values used are listed in Table 11.2.


 
AngloGold Ashanti Technical Report Summary for the Arthur Gold Project – current at 31 December 2025 __________________________________________________________________________________________ 26 March 2026 85 Table 11.2. Block model coding for lithological units. Block model Mine model Lithologic unit 101 1 Quaternary Alluvium 102 2 Younger Landslide Breccia 103 3 Rainer Mesa 104 4 Owl Canyon 105 5 Paintbrush Group 106 6 Bullfrog Tuff 107 7 Tram Tuff 108 8 Lithic Ridge Tuff 109 9 Picture Rock Group 110 10 Sierra Blanca 111 11 Joshua Hollow 11.2.3 Density assignment The bulk density estimation domains were based on the intersection of the fault blocks (codes 1000, 2000, etc) and the modelled lithologies (codes 101, 102, etc), with a resulting code that is the concatenation of the lithology code followed by the fault block code. Bulk density values were reviewed against the interpreted oxidation and alteration domains with limited population differences observed between each group. Based on the breakdown of primary domains by lithological blocks, there were a total of 37 bulk density domains. Of the 37 domains, three contained sufficient data to support estimation. The remaining 34 domains were assigned a constant bulk density value equal to the average bulk density by lithology shown in Table 11.3. Table 11.3. Bulk density assignment for un-estimated blocks. Variable Density Domain Assigned value (g/cm3) Variable Density Domain Assigned value (g/cm3) Bulk density 1011000 1.58 Density 1071000 2.28 1012000 1072000 1063000* 1063000* 1014000 1074000 1015000 1075000 1016000 1076000 1021000 1.71 1081000 2.39 1022000 1082000 1063000* 1063000* 1024000 1084000 1025000 1085000 AngloGold Ashanti Technical Report Summary for the Arthur Gold Project – current at 31 December 2025 __________________________________________________________________________________________ 26 March 2026 86 Variable Density Domain Assigned value (g/cm3) Variable Density Domain Assigned value (g/cm3) 1026000 1086000 1031000 1.85 1091000 2.39 1032000 1092000 1063000* 1063000* 1034000 1094000 1035000 1095000 1036000 1096000 1041000 1.56 1101000 2.38 1042000 1102000 1063000* 1063000* 1044000 1104000 1045000 1105000 1046000 1106000 1051000 2.03 1111000 2.41 1052000 1112000 1063000* 1063000* 1054000 1114000 1055000 1115000 1056000 1116000 1061000 2.21 *Fault block 3000 includes Fault block 7000 1062000 1063000* 1064000 1065000 1066000 Note: * Fault block 3000 includes Fault block 7000. Bulk density was estimated using ordinary kriging with a two-pass search strategy and omnidirectional neighbourhoods. The search dimensions increased, the minimum number of composites decreased, and the optimum number of composites increased for the second-pass search neighbourhood. 11.2.4 Grade capping/outlier restriction The ordinary kriging panel estimates used capping and distance restriction capping techniques. The distance restriction method involved using uncapped or higher-capped composites if these composites were less than the distance threshold; otherwise, a secondary capping was applied. The distance restriction was limited to AngloGold Ashanti Technical Report Summary for the Arthur Gold Project – current at 31 December 2025 __________________________________________________________________________________________ 26 March 2026 87 40m. The selected thresholds were based on inflections and discontinuities in histograms, log probability plots, and metal quantities above thresholds. Identification of localised uniform conditioning caps for the composite data was completed following a review of histograms, log-probability plots, mean-variance plots and cumulative metal plots, with all individual domains and variables assessed. Diagrams showing histograms, log-probability plots, mean and variance plots and cumulative metal for all variables in all domains and density were prepared to define the values. In addition to the global capping, distance restrictions were employed during estimation for selected domains. The purpose was to limit the spatial influence of local high-grade assays to avoid excessive extrapolation of high grades into regions of lower grades. The selection of the distance restriction threshold value was based on log-probability plots, grade histograms, and spatial review. In the background domains for gold and silver, the distribution was truncated and not capped to reduce the influence of higher-grade composites further. Resulting cap values and distances by domain are provided in Table 11.4. Table 11.4. Grade capping and distance restrictions by estimation domain. Gold (g/t) capping approach Silver (g/t) capping approach Dom Global Distance Distance Capping or Dom Global Distance Distance Capping or Cap Restriction Capping Truncation Cap Restriction Capping Truncation 1001 0.8 40 0.1 Truncated 1001 1 40 0.11 Truncated 1501 0.7 - - - 1501 9.65 - - - 1505 4.85 40 3.75 Capped 2001 4.5 40 0.15 Truncated 2001 2.1 40 0.1 Truncated 2501 36.5 40 28.2 Capped 2501 5.4 40 4.13 Capped 3001 1 40 0.15 Truncated 2505 24.05 40 15.8 Capped 2601 8.5 40 0.19 Capped 2601 2 40 0.9 Capped 3501 5.1 40 4.4 - 3001 2 40 0.1 Truncated 3505 56 40 36 Capped 3501 9.9 40 7.3 Capped 3601 - - - - 3505 48.8 40 33.8 Capped 4001 16 40 10 Truncated 3601 0.88 40 0.75 Capped 3701 2.8 40 0.17 Capped 3701 6.95 40 4.3 Capped 4501 7.2 - - - 3705 10 - - - 4511 6.95 40 3.6 Capped 4001 1.05 40 0.1 Truncated 4521 3.55 - - - 4501 1.8 40 1.45 Capped 7001 2 40 0.17 Truncated 4511 1.05 40 0.76 Capped 4521 0.7 - - - 7001 1.5 40 0.1 Truncated Note: g/t: grams per tonne; Dom: domain. 11.2.5 Composites AngloGold Ashanti Technical Report Summary for the Arthur Gold Project – current at 31 December 2025 __________________________________________________________________________________________ 26 March 2026 88 Areas in the Merlin deposit return low sample recoveries from core drilling. These areas include both waste and mineralised zones. Drill samples are therefore excluded prior to compositing to manage non-representative samples, reduce sample bias, and limit artificial variability. This was accomplished by flagging samples above and below 50% drill recovery. Samples with a recovery of ≥50% were used for compositing, statistics, variograms, and grade estimation. Samples below the 50% threshold were not used and considered missing rather than zero-grade. The drill hole compositing routine was conducted using Datamine software. The compositing routine started at the drill hole collar location and restarted at each estimation domain boundary. A composite length of 3.05m for gold and 6.10m for silver was selected. Drill holes were composited to the chosen interval length with residuals in each domain added to the last composite. The estimation domains (i.e., based on the flagged block model) were used to code the 3.05m composited drill hole file. 11.2.6 Variography Experimental variograms were generated using drill hole information and directional variograms were modelled for all gold and silver domains. Omni-directional variograms were modelled for the density. Directional variograms were aligned sub-parallel to the regional stratigraphy that plunges 35° towards the east. Downhole experimental variograms were calculated for all variables in the transformed and naïve space. The downhole variograms were calculated using a lag of 3.05m or 6.10m, depending on the corresponding metal composite length. These variograms were used to infer the nugget variance of the Gaussian, back transformed, and naïve modelled variograms. Gaussian variogram parameters are presented in Table 11.5.


 
AngloGold Ashanti Technical Report Summary for the Arthur Gold Project – current at 31 December 2025 __________________________________________________________________________________________ 26 March 2026 89 Table 11.5. Gaussian variogram parameters for gold per domain. Variable Domain Azi Dip Plunge Nugget Structure 1 Structure 2 Structure 3 Structure 4 Azi (+) X (+) Z (-) Sill Maj Semi Min Sill Maj Semi Min Sill Maj Semi Min Sill Maj Semi Min (m) (m) (m) (m) (m) (m) (m) (m) (m) (m) (m) (m) Indicator Gold 1500 -80 40 90 0.05 0.08 100 45 15 0.03 250 45 100 0.089 250 180 100 - - - - 2500 210 20 90 0.03 0.03 55 60 60 0.035 220 60 60 - - - - - - - - 3500 230 30 135 0.03 0.035 15 40 15 0.0155 40 40 70 0.042 450 220 70 - - - - 3700 230 30 135 0.031 0.018 40 40 15 0.0335 140 70 30 - - - - - - - - Gold g/t 1001 0 35 0 0.0004 0.0021 50 50 50 0.0014 150 150 150 0.001 220 220 220 0 220 220 220 1501 90 0 0 0.0054 0.0073 10 10 10 0.0092 50 50 50 0.0058 130 130 130 - - - - 1505 0 0 0 0.18 0.325 10 10 10 0.264 80 80 60 - - - - - - - - 2001 55 0 0 0.0044 0.0042 55 25 10 0.004 80 80 150 0.0062 600 600 250 - - - - 2501 -70 20 90 0.1 0.0114 20 20 10 0.112 30 125 40 0.0998 350 125 100 - - - - 2505 -50 50 -180 10.06 2.85 20 20 20 4.87 150 150 45 - - - - - - - - 2601 90 0 0 0.05 0.03 6 6 6 0.039 50 50 50 - - - - - - - - 3001 40 0 0 0.0011 0.00324 15 20 40 0.00101 70 100 120 0.00095 575 290 290 0.00095 575 290 290 3501 230 30 0 0.2 0.062 10 15 15 0.08 65 30 60 0.071 260 155 70 - - - - 3505* 180 30 0 6.79 9 20 20 6 3.9 20 40 6 7.4 60 40 35 4.3 5 5 5 3601 230 30 0 0.0036 0.0099 10 15 15 0.0057 65 30 60 0.0054 260 155 70 - - - - 3701 230 30 0 0.09 0.144 10 15 50 0.028 190 30 70 0.087 190 130 70 - - - - 3705 180 30 0 1.32 0.9 20 20 6 0.6 20 40 6 1.097 60 40 35 - - - - 4001 40 0 0 0.0016 0.005 55 55 55 0.0071 460 460 460 - - - - - - - - 4501 40 0 0 0.02 0.055 15 15 15 0.03 25 25 25 0.02 75 75 75 - - - - 4511 40 0 0 0.0075 0.01057 20 20 20 0.0044 55 55 55 0.0044 170 170 170 - - - - 4521 40 0 0 0.0047 0.0075 10 10 10 0.0033 25 25 25 0.0031 85 85 85 - - - - 7001 40 0 0 0.0035 0.0054 50 50 50 0.006 450 450 450 - - - - - - - - Note: Azi: azimuth; m: metres; Maj: Major direction; Semi: Semi-Major direction; Min: Minor direction; * short-range structure added to account for the difference in the back-transformed and naïve nugget variances. AngloGold Ashanti Technical Report Summary for the Arthur Gold Project – current at 31 December 2025 __________________________________________________________________________________________ 26 March 2026 90 Dynamic anisotropy was used to estimate domains 3501 and 3505 for gold and silver variables. The orientation of the Lynnda Vein and the contact between the Bullfrog-Tram and Paintbrush Groups guided the dynamic anisotropy. Variograms were modelled on data transformed to a Gaussian variable. The Gaussian variogram models were back transformed to original units for each estimation and subdomain variable combination, thus honouring the variability for each domain/subdomain combination. The Gaussian anamorphosis was used for the transformation, which was subsequently used for the discrete Gaussian change of support model required for uniform conditioning. The search neighbourhoods for all variables were aligned to the variogram rotations for all domains except domains 2501, 2505, 3501, 3505, 3701 and 3705, which were controlled by dynamic anisotropies. The orientation of the Lynnda Vein and the contact between the Bullfrog-Tram and Paintbrush Groups were used to guide (i.e. dynamic anisotropy or local trends) the variograms and search neighbourhoods during the estimation of gold and silver. 11.2.7 Estimation methods The Mineral Resource estimate was completed through a structured geostatistical workflow designed to produce a reliable 3D block model. Several block sizes and estimation techniques were applied during the process, resulting in a final regularised model with 15 × 15 × 15m blocks. Block model extents for construction are given in Table 11.6. Table 11.6. Block model construction parameters for Merlin. Type X - Northing Y - Easting Z - Elevation Minimum Coordinates 529,900 4,085,635 180 Maximum Coordinates 532,900 4,088,635 1,500 Range (m) 3000 3000 3000 Parent Block Size (m) 45 45 15 Min. Sub-block (m) 5 5 2.5 Drill hole samples were composited to 3.05m intervals and imported into Isatis, Datamine, and Supervisor software for statistical and geostatistical analysis. The first stage of estimation involved distinguishing higher grade from lower grade material using indicator kriging. This classification was performed on 5 × 5 × 5m blocks and incorporated dynamic geological trends associated with the Lynnda Vein and the contacts between the Bullfrog Tram and Paintbrush Groups within the 2500, 3500, and 3700 domains. Indicator estimates were generated using a minimum of four and a maximum of 16 samples. Following this classification, ordinary kriging was used to estimate gold and associated variables including gold leach, silver, arsenic, calcium, mercury, sulphur, and density - across all domains. In key mineralised domains (3501, 3505, 3701, and 3705), gold grades were further refined using localised uniform conditioning. This method applies a change of support correction based on the composite grade distribution and variogram model and conditions the results to panel scale kriged estimates. The localised uniform conditioning process provides a more realistic representation of grade variability at the selective mining unit (SMU) scale, which is important for evaluating potential mining selectivity. For Merlin, SMU scale blocks measured 15 × 15 × 5m, while ordinary kriging panel estimates used larger 45 × 45 × 15m blocks in domains with wider drill spacing. Kriging neighbourhood analysis was conducted to optimise search parameters for estimation of all mineralised domains and grade variables. The analysis indicated improved estimation performance when the minimum number of samples per block was reduced and when the maximum number of samples was increased for second pass searches. Search ellipses were oriented according to the principal directions of the variogram models. A post processing morphological erosion and dilation procedure was applied to the block model to address isolated grade artifacts that can arise during geostatistical estimation. This method evaluates the spatial context of each block and adjusts anomalous isolated grades to better align with the prevailing grade trends in the AngloGold Ashanti Technical Report Summary for the Arthur Gold Project – current at 31 December 2025 __________________________________________________________________________________________ 26 March 2026 91 surrounding blocks. As a result, isolated low-grade blocks occurring within predominantly high-grade zones, and isolated high-grade blocks within low grade areas, are reassigned to reflect more geologically consistent continuity. This refinement improves the spatial coherence of the model without materially altering the overall grade distribution and provides a more realistic representation of mineralisation for subsequent mine planning. Domain boundaries were generally treated as hard boundaries; however, soft boundaries were applied where geological uncertainty or limited sampling warranted flexibility. A two-way soft boundary was used between the 3500–3700 and 2000–2600 domains due to uncertainty in the position of the Tramway South fault. For silver estimation only, a soft boundary was also applied between the 2000 and 2600 domains to compensate for sparse sampling in the latter. The final regularised block model, constructed at 15 × 15 × 15m resolution, incorporated all estimated numeric variables using volume density weighting and assigns categorical variables through majority coding. 11.2.8 Validation The estimates were reviewed onscreen and statistically. The statistical checks involved comparing the mean of the estimate and the mean of the composited drill hole dataset for all cells, informed cells, and cells located one cell or less from a composite to determine the estimation quality of well, moderately and poorly informed panels, respectively. A review of the statistical comparisons showed that the largest differences were in waste or background domains. Domains with the large differences were expected due to the application of the distance capping whereby anomalous composites ≥0.10g/t gold were truncated after 40m. Trend plots for composite assays versus estimated block grades were developed by easting, northing and elevation for all variable domain combinations. A review of the results showed that, in general, average block grades reflected the underlying composite grades for blocks with an average estimation sample distance of <40m. Globally, the observed departures are related to extrapolating higher or lower grades into poorly informed volumes. 11.2.9 Mineral Resource confidence classification The Merlin model classification was based on a drill hole spacing study by Cube Consulting completed at year- end 2025. The drill hole spacing study applies the 15% rule using Conditional Simulation, where to be classified as Measured, it must be within a ±15% error with 90% confidence for quarterly volumes, ±15% with 90% confidence for annual volumes for classification as Indicated, and ±30% with 90% confidence for Inferred. Quality of data was also considered, specifically core recovery and drilling type (RC or DD), as sources of uncertainty to define the final classification. Drill spacings of 80 x 80m (Inferred) and 40 x 40m (Indicated) were established from the drill hole spacing analysis. Where the Mineral Resource model showed high estimated core loss, the Indicated Mineral Resource areas were adjusted, downgrading to Inferred Mineral Resource, to exclude the high core loss areas. The Mineral Resource model, drill holes, and geological domains were examined in section. For Indicated Mineral Resource, the model was run through section-by-section, on 20m steps, with 20m clipping forward and backward to the current section. This check ensures there are no isolated mis-classified blocks. Wider drill spacing extends across the 2500 domain. For Inferred Mineral Resource in the 2500 domain, the same section-by-section run through was applied using 40m steps, with 40m clipping forward and backward to the current section to check confidence in the assignment of Inferred blocks. 11.2.10 Reasonable prospects of economic extraction A pit optimisation was completed by AngloGold Ashanti using a $2,150/oz gold price. An open pit shell was generated using the Hexagon Evaluator software and the regularised block model with block dimensions of 15 x 15 x 15m. Reasonable prospects for economic extraction were determined by calculating the recoverable grade for each block within the model, based upon recovery curves and equations provided by the AngloGold Ashanti metallurgy team. Each block received two recoverable block model fields for both gold and silver. One item was specific to mill processing and the other heap leach processing. AngloGold Ashanti Technical Report Summary for the Arthur Gold Project – current at 31 December 2025 __________________________________________________________________________________________ 26 March 2026 92 11.2.11 Input assumptions The Lerchs-Grossmann optimised open pit shell considered the cost of bulk mining with milling and heap leach treatment to demonstrate reasonable prospects of economic extraction. Optimisation parameters included the operational costs, metallurgical recovery, and geotechnical parameters to support a reasonable prospect of economic extraction in the mining and treatment of oxide and transitional material. Sulphide mineralisation was excluded. 11.2.12 Commodity price Refer to Chapter 16 for more information on assumptions underlying the price selection. Merlin Mineral Resource economics used: • Gold price of $2,150/oz. • Silver price of $23.00/oz. 11.2.13 Cut-off grade The cut-off grade was a function of the costs of mining the block at that specific bench. The calculation of the breakeven cut-off grade and parameters used is shown in Table 11.7. Table 11.7. Calculation of breakeven cut-off grade for Merlin. Parameter Unit Value Metal Price Gold Price $/oz gold 2,150 Silver Price $/oz silver 23.00 Refining & Royalty Costs Refining Cost – Gold $/oz gold 5.00 Refining Cost – Silver $/oz silver 0.50 Royalty % gold and silver 2.50 Net Metal Value Minus Royalty & Refining Net Gold Value $/oz gold 2,091 Net Silver Value $/oz silver 0.72 Mine operational expenditure Mining Cost $/tonne 2.70 Haulage Cost $/tonne 0.00 Rehandle Cost $/tonne 0.00 General and administrative cost $/tonne 0.24 Dewatering Cost Reference Elevation for Pit Dewatering Elevation/metre 0 Dewatering Cost $/tonne 0 (included in Mine operational expenditure) Processing Cost


 
AngloGold Ashanti Technical Report Summary for the Arthur Gold Project – current at 31 December 2025 __________________________________________________________________________________________ 26 March 2026 93 Parameter Unit Value Milling Costs 7Mtpa $/ore t 15.76 Crushed Leach 5.5Mtpa $/ore t 6.80 Mill Rehandle Cost $/ore t 0.00 Gold Recovery Crushed Leach % 78.45 Mill average for all grades delivered % 94.00 Break Even Cut-off Grade Crushed Leach (in grams) g/t Au 0.185 Mill (in grams) g/t Au 0.296 Crushed Leach (in ounces) oz/t Au 0.0059 Mill (in ounces) oz/t Au 0.0095 11.3 Silicon deposit Drill hole data, as well as digital topography of the Project area, geological and alteration models, were provided to RESPEC by AngloGold Ashanti in a digital database in NAD83 UTM Zone 11N coordinate system. 11.3.1 Exploratory data analysis Drilling at Silicon started in 2018 and continued through 2022. A total of 146,108.5m were drilled in 367 holes (Table 11.8). Table 11.8. Data in the Silicon drill database. Hole Type Count Drilled metres Core 65 35,865.68 RC 262 90,278.94 RC / Core Tail 36 17,255.12 Piezometer 4 2,708.76 Total 367 146,108.50 Note: RC/Core tail: Reverse circulation drilling used for pre-collar with core drilled to total hole depth. Approximately 72% of the holes and 64% of the metres was drilled with RC methods. Conventional wireline core drilling methods were used for 28% of the holes and 36% of the metres drilled by AngloGold Ashanti. RESPEC’s modelling was based on a database that included 266 RC holes, 101 core holes, all drilled by AngloGold Ashanti between 2018 and 2022. The consistency of sampling and logging procedures inherent from having only one operator and the availability of all assay certificates and records, provided an overall high-level of confidence in the Project data. The natural gold and silver populations identified on population-distribution graphs that plotted the gold-grade distributions of all project drill-hole assays, as well as an additional plot of assays from core holes only. This analysis led to the identification of low, medium, and high-grade gold populations. These populations were maintained throughout the modelling process. AngloGold Ashanti Technical Report Summary for the Arthur Gold Project – current at 31 December 2025 __________________________________________________________________________________________ 26 March 2026 94 RESPEC reviewed RC drill data as a part of the data validation process and during the explicit modelling of mineralisation. During this work, several areas of cyclicity and potential downhole contamination were identified. AngloGold Ashanti also independently engaged a consultant to do a formal cyclicity study on RC drilling at Silicon. A total of 25 assay intervals in 21 drill holes were flagged as low-confidence assay intervals and were used in a confidence estimation which affected classification. Drilling database validation was conducted using GeoSequel software. The selection of the samples and hard boundary block modelling and geostatistical analysis were done in GEOVIA Surpac mining software as well as proprietary software developed at RESPEC. 11.3.2 Geological model Mineralisation is dominantly north-northwest (315° degrees) striking with a westerly dip of approximately 70°. A secondary control on mineralisation occurs as a lower-grade shell that is sub-parallel to lithological unit contacts surrounding the Silicon-Tramway fault corridor, particularly within the Tertiary rhyolite flow unit defined by AngloGold Ashanti. Geological factors critical to the grade domain modelling of Silicon gold and silver mineralisation therefore include structure, alteration, and lithology. Gold grade domains were defined as: • Low-grade (Domain 100), approximately from 0.07g/t to approximately 0.5g/t gold • Mid-grade (Domain 200), approximately from 0.5g/t to approximately 2.0g/t gold • High-grade (Domain 300), approximately greater than 2.0g/t gold Silver grade domains were defined as: • Low-grade (Domain 100), approximately from 6.0g/t to approximately 50.0g/t silver • Mid-grade (Domain 200), approximately from 50.0g/t to approximately 150.0g/t silver • High-grade (Domain 300), approximately greater than 150.0g/t silver Gold mineralisation is variably oxidised, generally as a function of depth. In the main part of the deposit, oxidation occurs to approximately 300-400m depth. Below the oxidation line is a thin transition zone as well as a distinctive mixed zone down the Silicon-Tramway fault corridor, which forms irregularly distributed bodies of mixed oxidised/unoxidised mineralisation, more-or-less parallel with the fault corridor. The rock is unoxidised below and laterally away from the mixed zone. Oxidation in the model was defined by modelling surfaces to discriminate between oxidised, transitional, and unoxidised. 11.3.3 Density assignment Bulk specific gravity determinations were completed on 2,098 core samples from mineralised and unmineralised intervals in drill holes. RESPEC analysed the samples by rock-type, alteration, redox zones, and mineralisation, applying low and high cuts to outlier values. Because of the range of lithologies and alteration types influencing specific gravity within the deposit, RESPEC concluded that there were insufficient samples to model specific gravity on all individual geological characteristics. Since the mineral domains were explicitly drawn to integrate mineralisation with lithology and alteration, the specific gravity values within each gold domain were averaged within each redox zone in the deposit and applied to the Mineral Resource estimate (Table 11.9). Table 11.9. Specific gravity used in Silicon block model by redox and gold domain. Gold Mineral Domain Redox Zone Bulk Density (g/cm3) 100 (Low-Grade) Oxide 2.25 200 (Mid-Grade) Oxide 2.39 300 (High-Grade) Oxide 2.34 Outside Domains Oxide 2.15 AngloGold Ashanti Technical Report Summary for the Arthur Gold Project – current at 31 December 2025 __________________________________________________________________________________________ 26 March 2026 95 Gold Mineral Domain Redox Zone Bulk Density (g/cm3) 100 (Low-Grade Mixed/Transition 2.34 200 (Mid-Grade) Mixed/Transition 2.38 300 (High-Grade) Mixed/Transition 2.33 Outside Domains Mixed/Transition 2.21 100 (Low-Grade Unoxidised 2.39 200 (Mid-Grade) Unoxidised 2.40 300 (High-Grade) Unoxidised 2.41 Outside Domains Unoxidised 2.32 Outside All Domains Not applicable 2.28 Because gold mineralisation is much more extensive and significant than silver mineralisation at Silicon, the specific gravity values of silver domains within redox zones were not considered for application to the estimate. 11.3.4 Grade capping/outlier restriction Assay caps were determined by the inspection of population distribution plots of the coded assays grouped by grade domain to identify high-grade outliers that might be appropriate for capping. The final capped assay values for gold by grade domain were defined as: • Low-grade (Domain 100), 6.0g/t gold (99.97% of distribution) • Mid-grade (Domain 200), 10.0g/t gold (99.95% of distribution) • High-grade (Domain 300), 50.0g/t gold (98.67% of distribution) The final capped assay values for silver by grade domain are defined as: • Low-grade (Domain 100), 80g/t silver (99.9% of distribution) • Mid-grade (Domain 200), 200.0g/t silver (99.64% of distribution) • High-grade (Domain 300), 1,000.0g/t silver (95.5% of distribution) In addition to the assay caps, the use of restrictions on the search distances of higher-grade portions of each of the domains for the purposes of gold-grade estimation was evaluated statistically and visually following estimation iterations. Initial grade-estimation runs indicated the higher-grade samples were affecting inappropriate volumes in the mid and high-grade domains (domains 200 and 300). This led to implementation of search restrictions, which limited the maximum distance the highest-grade composites in each domain lie from a block to be used in the interpolation of gold grades into that block. The search restrictions were set at a threshold for grade domain 200 at greater than 8.0g/t gold and for grade domain 300 at greater than 10.0g/t gold. Restricted search distances for those high-grade samples are limited to 60m for all estimation passes. 11.3.5 Composites Capped assays were composited at 3.00m down-hole intervals, respecting the mineral domain boundaries (Table 11.10 for gold and Table 11.11 for silver). AngloGold Ashanti Technical Report Summary for the Arthur Gold Project – current at 31 December 2025 __________________________________________________________________________________________ 26 March 2026 96 Table 11.10. Statistics of gold composites for Silicon. Domain Count Mean Median Std. Dev. CV Min. Max. g/t Au g/t Au g/t Au g/t Au 100 6,286 0.21 0.18 0.18 0.86 0 6 200 3,643 0.79 0.69 0.45 0.57 0 10 300 726 5.45 3.26 6.13 1.13 0 50 100+200+300 10,655 0.71 0.31 1.94 2.74 0 50 Note: g/t Au: grams per tonne gold; Std Dev: standard deviation; CV: coefficient of variation; min: minimum; max: maximum. Table 11.11. Statistics of silver composites for Silicon. Domain Count Mean Median Std. Dev. CV Min. Max. g/t Ag g/t Ag g/t Ag g/t Ag 100 1,216 11 9.1 7.5 0.7 0.3 64.3 200 204 64.7 62.9 25.4 0.4 0.3 138.9 300 37 331.7 259 193.2 0.6 120.2 1000 100+200+300 1,457 23.5 10.3 53.9 2.3 0.3 1,000 Note: g/t Ag: grams per tonne silver; Std Dev: standard deviation; CV: coefficient of variation; min: minimum; max: maximum. The composite length was equal to twice the modal length of the coded samples. None of coded-assay lengths exceeded the composite length. 11.3.6 Variography A variography study was completed using all gold composites from the mineral domains, as well as the composites from each of the three domains individually in each estimation area. Maximum strike and dip ranges of 85 to 150m were modelled with consistency across domains and within estimation areas along major geological trends. In the strike direction alone, ranges as high as 160m were modelled. The variogram models at various orientations corresponded to the model estimation areas (Table 11.12). Table 11.12. Variogram parameters for gold per domain. Variable Estimation Area Azi Dip Plunge Nugget Structure 1 Structure 2 Sill Maj Semi Min Sill Maj Semi Min (m) (m) (m) (m) (m) (m) Gold g/t 9 135 -65 0 0.1576 0.177 22 22 14.7 0.2178 120 120 60 10 135 -30 0 0.1691 0.2002 28 28 17.5 0.2078 140 140 107.7 11 135 -65 0 0.1576 0.177 22 22 14.7 0.2178 120 120 60 12 315 -10 0 0.148 0.1489 20 20 16.7 0.1687 145 145 111.5 13 135 -10 0 0.148 0.1489 25 25 25 0.1687 155 155 155 Note: Azi: azimuth; m: metres; Maj: Major direction; Semi: Semi-Major direction; Min: Minor direction. Modelled mineralisation has a variety of orientations. Wireframe solids were therefore created to encompass model areas with similar mineral orientations. Solids were used to code the model blocks to the estimation areas in Table 11.13 on a block-in/block-out basis.


 
AngloGold Ashanti Technical Report Summary for the Arthur Gold Project – current at 31 December 2025 __________________________________________________________________________________________ 26 March 2026 97 Table 11.13. Search orientations for Silicon estimate. Estimation Area Bearing Plunge Tilt 9 135 0 -65 10 135 0 -30 11 135 0 -65 12 315 0 -10 13 135 0 -10 This coding was then used to control search-ellipse orientations during gold-grade interpolations. 11.3.7 Estimation methods Gold-grade interpolation was completed using ordinary kriging based on length-weighted, 3m composites into 10 x 10 x 10m blocks. Sample selection for each estimation pass was a minimum of three for pass one, minimum of two for pass two, and a minimum of one for pass three with a maximum number of samples for all passes at 20. The estimation search distances as defined by variography and for the estimation were: • Pass 1, 80 x 80 x 26.7m • Pass 2, 150 x 150 x 75m • Pass 3, 450 x 450 x 450m The estimation passes were performed independently for each of the grade domains and within five estimation areas that controlled search orientations, so that only composites coded to a particular domain were used to estimate grade into blocks coded to that domain. Blocks coded as having partial percentages of more than one gold domain had multiple grade interpolations, one for each domain coded into the block. The estimated grades for each of the gold domains 100, 200, and 300 coded to a block were coupled with the coded partial percentages of those domains to enable the calculation of a single volume-weighted gold grade for each block. These final block grades were therefore diluted to the full block volumes using this methodology. Additionally, grade estimation runs were completed using inverse distance and nearest-neighbour methods for validation purposes. The block model extents and location are shown in Table 11.14. Table 11.14. Block model construction parameters for Silicon. Type X - Northing Y - Easting Z - Elevation Minimum Coordinates 532,062.72 4,087,913.11 320.00 Maximum Coordinates 534,572.72 4,091,843.11 1,510.00 Block Size (metres) 10 10 10 Rotation 0 -45 0 The block model was rotated 45° to the align with the primary direction of the Tramway fault. No gold or silver values were estimated outside of the noted grade domains. 11.3.8 Validation All block-model coding, including topography, lithology, alteration, redox zones, estimation areas, and mineral domains, was checked visually. Polygonal sectional volumes derived from the sectional mineral-domain polygons were compared to the polygonal volumes derived from the long sections, as well as to the coded block- model volumes derived from the partial percentages, to assure close agreement. Polygonal grade and tonnage estimates using both the cross-sectional and level plan domain polygons, as well as the nearest-neighbour and inverse-distance estimates, were used as a check the ordinary krig estimates. AngloGold Ashanti Technical Report Summary for the Arthur Gold Project – current at 31 December 2025 __________________________________________________________________________________________ 26 March 2026 98 Swath plots were used to validate the local bias of the estimation by comparing the local means of the estimated blocks to determine if they are similar and follow the same trend as the real data (declustered composites) for the three main directions. Gold mineralised blocks within the swath plots illustrate the estimation is not overly smoothed, and the nearest neighbour, inverse distance, and ordinary kriged average block grades of the estimation follow the general trend of the average grades of the declustered composites. No unexpected relationships between the check estimates and the ordinary kriged estimates were indicated in the final model. Various grade-distribution plots of assays and composites, along with the nearest-neighbour, ordinary kriged, and inverse-distance block grades were also evaluated as a check on both the global and local estimation results, which led to additional grade-interpolation iterations. Finally, the ordinary kriged grades were visually compared to the drill-hole assay data in detail to assure that reasonable results were obtained. 11.3.9 Mineral Resource confidence classification Measured Mineral Resource were classified using a drill spacing of 50.8m x 50.8m and Indicated Mineral Resource the drill spacing was 82.5 x 82.5m. Inferred Mineral Resource were classified based on evidence of geological continuity within the interpreted estimation domains, where an estimate was generated using the optimised kriging neighbourhood. There are no Measured blocks in the Silicon Mineral Resource model. Areas with >50% proportion of suspect RC holes, which were flagged in the model, were downgraded to Inferred Mineral Resource. 11.3.10 Input assumptions Silicon pit optimisation considered the operational costs, metallurgical recovery, and geotechnical parameters to support a reasonable prospect of economic extraction at a $1,750/oz gold price based on a GEOVIA Whittle pit with regular model block dimensions of 10 x 10 x 10m. Optimization considered gold and silver for ROM material and crushed material in each redox zone, and applied geometrical parameters were based on geotechnical slopes provided by Itasca. They were based on the elevation above or below the water table at the 1150 elevation, northeast or southwest of the Tramway fault, and on lithology, alteration, and slope direction. This led to over 180 different zones in the model with a range of 35-45° once step-outs were considered. For oxide material, the average gold recovery assumption was 79%, and the average silver recovery assumption was 21%. Average gold recovery in the transition material was 66% and the average for silver recovery was 17%. Average recoveries assumed for sulphide material were 46% and 19% for gold and silver, respectively. A planned mining rate of 152Mtpa and a processing rate of 20Mtpa was used. 11.3.11 Commodity price Refer to Chapter 16 for more information on assumptions underlying the price selection. Silicon Mineral Resource economics used: • Gold price of $1,750/oz. • Silver price of $26.25/oz. 11.3.12 Cut-off grade The analysis was completed in Whittle using the cash flow mode. Thus, no specific cut-off grade was used. However, the minimum grade of material that would be processed was set to 0.137g/t gold. This was completed for both gold and silver using an “if” statement setting the recoveries to zero if the grade is less than 0.137g/t gold or 0.137g/t silver. Parameters used to determine the cut-off grade are shown in Table 11.15 and Table 11.16. AngloGold Ashanti Technical Report Summary for the Arthur Gold Project – current at 31 December 2025 __________________________________________________________________________________________ 26 March 2026 99 Table 11.15. Calculation of breakeven cut-off grade for Silicon. Parameter Unit Value Metal Price Gold Price $/oz gold 1,750 Silver Price $/oz silver 26.25 Refining & Royalty Costs Refining Cost – Gold $/oz gold 5.00 Refining Cost – Silver $/oz silver 0.50 Royalty % gold and silver 2.50 Mine operational expenditure Mining Cost $/t 1.81 Haulage Cost $/t 0.00 General and administrative cost $1,000/year 5,000 Rehandle Cost $/t 0.00 General and administrative cost - 3 Stage Crush $/ore t 0.27 Dewatering Cost Included in Mining operational expenditure Dewatering Cost $/t 0 Table 11.16. Calculation of breakeven cut-off grade for Silicon processing. Parameter Unit Value By Material Type Oxide Transition Fresh ROM Cost $/ore t 2.45 2.47 Not applicable 3 Stage Crush Cost $/ore t 3.32 3.65 3.98 Average Recoveries - Gold % 79.0 66.0 46.0 Average Recoveries - Silver % 21.0 17.0 19.0 11.4 Mineral Resource statement The Mineral Resource estimates for mineralisation potentially amenable to open pit mining methods were reported in situ using the classifications in S-K 1300 and were constrained within a pit shell. The Mineral Resource estimate was reported exclusive of the Mineral Resource converted to Mineral Reserve. Mineral Resource that is not Mineral Reserve does not have demonstrated economic viability. The Mineral Resource is current at 31 December 2025 and is shown in Table 11.17 (gold) and Table 11.18 (silver). AngloGold Ashanti Technical Report Summary for the Arthur Gold Project – current at 31 December 2025 __________________________________________________________________________________________ 26 March 2026 100 Table 11.17. Gold Mineral Resource statement. Area/Deposit Category Tonnes (Mt) Grade (g/t Au) Contained gold (t) (Moz Au) Silicon (open pit) Measured - - - - Indicated 121.56 0.87 105.90 3.40 Sub-total Measured & Indicated 121.56 0.87 105.90 3.40 Inferred 36.03 0.70 25.23 0.81 Merlin (open pit) Measured - - - - Indicated 42.58 0.74 31.40 1.01 Sub-total Measured & Indicated 42.58 0.74 31.40 1.01 Inferred 183.76 0.94 172.10 5.53 Total Arthur Gold Project (open pit) Measured - - - - Indicated 164.14 0.84 137.30 4.41 Total Measured & Indicated 164.14 0.84 137.30 4.41 Inferred 219.79 0.90 197.33 6.34 Table 11.18. Silver Mineral Resource statement. Area/Deposit Category Tonnes (Mt) Grade (g/t Ag) Contained silver (t) (Moz Ag) Silicon (open pit) Measured - - - - Indicated 121.56 3.98 483.31 15.54 Sub-total Measured & Indicated 12.56 3.98 483.31 15.54 Inferred 36.03 1.92 69.31 2.23 Merlin (open pit) Measured - - - - Indicated 42.58 1.48 63.20 2.03 Sub-total Measured & Indicated 42.58 1.48 63.20 2.03 Inferred 183.76 2.32 427.17 13.73 Total Arthur Gold Project (open pit) Measured - - - - Indicated 164.14 3.33 546.51 17.57 Total Measured & Indicated 164.14 3.33 546.51 17.57 Inferred 219.79 2.26 496.48 15.96 Notes: Rounding of numbers may result in computational discrepancies in the Mineral Resource tabulations. All figures are expressed on an attributable basis unless otherwise indicated. To reflect that figures are not precise calculations and that there is uncertainty in their estimation, AngloGold Ashanti reports tonnage, grade and content for gold to two decimals. AngloGold Ashanti reports tonnage, grade and content for silver to two decimals. All ounces are Troy ounces. “Moz” refers to million ounces. The reported tonnages for the silver by-product are an outcome from the associated conceptual pit shell, that has been determined based on the extraction of the primary mineral. 1. The Mineral Resource stated herein is current at date and was prepared in compliance with Regulation S-K 1300. 2. All disclosure of Mineral Resource is exclusive of Mineral Reserve. The Mineral Resource exclusive of Mineral Reserve is defined as the inclusive Mineral Resource less the Mineral Reserve before dilution and other factors are applied. 3. “Tonnes” refers to a metric tonne which is equivalent to 1,000 kilograms. 4. The Mineral Resource tonnages and grades are reported in situ and constrained to meet the requirement for reasonable prospects of economic extraction by volumes created through a mine shape optimiser process for underground or within an economically optimised pit shell for open pit. 5. Property currently in a development stage. 6. The gold and silver Mineral Resource for Arthur Gold Project includes the Silicon and Merlin deposits. 7. Mr. Geoffrey Gushée, FAusIMM, employed by AngloGold Ashanti, is the Qualified Person for the Arthur Gold Project Mineral Resource. 8. The Merlin gold Mineral Resource is based on a gold price of $2,150/oz. In 2025, for Merlin, a cut-off grade range from 0.19g/t to 0.30g/t (varying according to grade and material type) was applied to the open pit. In 2025, for Merlin, a metallurgical recovery factor range from 63.61% to 95.00% (varying according to grade and material type) was applied to the open pit for gold. 9. The Merlin silver Mineral Resource is based on a silver price of $23/oz. In 2025, for Merlin, a metallurgical recovery factor range from 10.20% to 22.21% (varying according to grade and material type) was applied to the open pit for silver.


 
AngloGold Ashanti Technical Report Summary for the Arthur Gold Project – current at 31 December 2025 __________________________________________________________________________________________ 26 March 2026 101 10. The Silicon gold Mineral Resource is based on a gold price of $1,750/oz, and a silver price of 26.25/oz. In 2025, for Silicon, a cut-off grade of 0.14g/t was applied to the open pit. In 2025, for Silicon, a metallurgical recovery factor range from 46.0% to 79.0% (varying according to grade and material type) was applied to the open pit for gold. 11. The Silicon silver Mineral Resource is based on a silver price of $26.25/oz. In 2025, for Silicon, a metallurgical recovery factor range from 17.00% to 21.00% (varying according to grade and material type) was applied to the open pit for silver. 11.5 Factors that may affect the Mineral Resource estimates 11.5.1 Merlin deposit • Indicator kriging was implemented as a statistical domaining approach to delineate higher and lower grade populations within the mineralised domains. Whilst this methodology is appropriate, it relies on the continuity of the higher-grade mineralisation to partition the two groups at relevant locations. The current approach may not be suitable in regions with limited drilling information. Additional drilling and further geological study will improve the confidence of the estimate. • The current drill hole spacing of 40 x 40m is limited to the 3500 estimation domain. Closer drill hole spacing would improve the confidence of the grade and density estimates. • The domain boundary between the 3500 and 3700 domains requires further validation and may require targeted drilling. In addition, a detailed geochemical analysis would help determine if the mineralisation in the 3700 is an extension of the 3500 Merlin mineralisation or related to the Silicon mineralisation. • The relationship between gold and silver has not been thoroughly studied. Additional work to understand the correlation between gold and silver would guide future domaining of the two metals to support the use of the same domains and estimation parameters. • A source of uncertainty in the Merlin estimate is the amount of gold removed during the two-stage capping process. The model’s sensitivity to these adjustments is currently not fully transparent, as the relationship between capped and uncapped values has not been reconciled. Furthermore, without a definitive understanding of high-grade continuity, there is a risk that the current approach is overly restrictive, potentially resulting in unnecessary reduction of gold ounces from the Mineral Resource. • Some areas in the Merlin deposit returned low sample recoveries from core drilling. These areas include both waste and mineralised zones. Drill samples were excluded in the estimation process when sample recovery is below 50% to exclude non-representative samples and reduce sample bias. A secondary process excludes a subset of these samples using an 80% recovery threshold. The impact of the chosen method to excluded samples within mineralised zones has not been established and requires further studies to quantify its impact on the reported Mineral Resource estimate. 11.5.2 Silicon deposit • The very high grade (>10g/t gold) demonstrates a semi-continuous distribution focused within the footwall of the Tramway fault. With additional drilling, very high-grade gold sub-domain (>10g/t gold) could be modelled. • In some cases, relatively low-grade samples were included in moderate-grade domains because of the erratic nature of the mineralisation. There is the possibility that the moderate-grade domain included lower grades which may influence more volume than would be expected due to the lack of well-informed domain constraints. High-grade search restrictions could be applied in order to mitigate the risk. • Due to the emerging understanding of the narrow high-grade veins and steeply dipping structural controls, the addition of core drilling where dominate RC drilling is present would aid geological interpretation of the deposit. Core drilling would also provide opportunities to collect information related to geotechnical data, hydrology, and metallurgical testing. • Inputs to the pit optimisation which constrains the Mineral Resource are highly dependent on metallurgical recoveries, which vary across the modelled redox zones. The modelled redox zones are controlled by geological variables, particularly the mixed zone, and could benefit from further integration of analytical data with new drilling and more detailed modelling of the metallurgical domains. • Risk factors that would likely influence the prospect of economic extraction could be resolved by further drilling and more metallurgical domain modelling. Drilling more core holes, and closely spaced drilling at an angle, would allow for refinement of the mid and high-grade domain models. AngloGold Ashanti Technical Report Summary for the Arthur Gold Project – current at 31 December 2025 __________________________________________________________________________________________ 26 March 2026 102 11.6 Qualified Person's opinion In the opinion of the Qualified Person, the sample methods, sample preparation, governance and analytical procedures described are adequate and the resulting data can be used in Mineral Resource estimation. The Mineral Resource estimate has been prepared using industry accepted practice and conforms to the disclosure requirements of S-K1300. The Mineral Resource estimates are evaluated annually providing the opportunity to reassess the assumed conditions. To the extent known to the Qualified Person, there are no other known environmental, permitting, legal, title related, taxation, socio-political or marketing issues that could materially affect the Mineral Resource estimate for the Arthur Gold Project that are not discussed in this Report. The Qualified Person is of the opinion that any issues that arise in relation to relevant technical and economic factors likely to influence the prospect of economic extraction can be resolved with further work. 12. Mineral Reserve estimates 12.1 Key assumptions, parameters and methods used The estimation of the Merlin open pit Mineral Reserve was based on the following key inputs: • Mineral Resource models for estimating the gold content and material type logged and coded. • Geotechnical wall angle parameters provided by AngloGold Ashanti. • $1,700/oz gold price and $19.50/oz silver price for pit optimisation and mine planning. • $1,950/oz gold price and $19.50/oz silver price for cash flow analysis. • Inferred Mineral Resource were treated as waste in the Mineral Reserve plan. Refer to Chapter 16 for more information on assumptions underlying the price selection. Pit optimisations were run using Hexagon MinePlan Project Evaluator software with the inputs from the data derived from the above processes. No depletion is necessary since mining has not yet begun. The cost inputs for optimisation were built using the pre-feasibility cost model. The costs include allocations for gold price royalties, refining costs, mining costs, dewatering costs, mill processing costs, crushed leach processing costs, and rehandle costs. The proposed mining method is conventional open-pit mining. Ore and waste will be drilled and blasted, then loaded into Caterpillar 798 360t haul trucks with Komatsu P&H 4100XPC Rope shovels. The loading and haulage fleet will be supported by track dozers, motor graders, and water trucks. Waste will be hauled to overburden storage area near the Merlin pit. Mill ore will be hauled to the mill ore stockpile, while lower-grade material will be crushed and conveyed to the leach pad. The proposed mining operation will be Owner-operated. To accommodate the disseminated nature of the orebody and the high mining rates required to optimise the operation, large rope shovels were selected. These shovels are well-suited to mining the designed 15m benches. The SMU for benches was defined as 15 x 15 x 15m, reflecting the size of the planned rope shovel buckets and providing an appropriate scale for modelling dilution while maintaining adequate selectivity. The Komatsu 4100- class rope shovel is particularly well matched to this geometry, as its bucket width aligns closely with the 15m mining unit, enabling effective excavation of the full bench height in a single pass while preserving horizontal selectivity. This alignment will allow the shovel to selectively mine individual block columns within the 15m block model with limited dilution from adjacent material, supporting effective ore and waste separation and efficient implementation of the block model in production mining. 12.1.1 Modifying factors Modifying factors applied to the Mineral Reserve estimation included, as noted in the following sub-sections: 12.1.1.1 Environmental There are no material environmental modifying factors that were applied to the shell generation of the Mineral Reserve, other than approved permitting boundaries. AngloGold Ashanti Technical Report Summary for the Arthur Gold Project – current at 31 December 2025 __________________________________________________________________________________________ 26 March 2026 103 Backfill was planned in areas where mining proceeds below the water table. Backfill was addressed in the cost model by incorporation into the mine plan, including mining and haulage costs. 12.1.1.2 Dilution and ore loss Dilution and ore loss were accounted for by changing from a 5 x 5 x 5m block to a 15 x 15 x 15m block size. A block 15m wide can be reasonably mined with the selected fleet loading units. The Merlin ore body is disseminated, and the impact of dilution is low. This method is used widely in Carlin-type gold deposits throughout Nevada. The effect of this method was to reduce the ounces in the highest grade tranches of the grade tonnage distribution, while increasing ounces in the lower to intermediate tranches. The net effect was small with regard to a change in total ounces, but the highest grade ounces are lowered and some of the lowest grade ounces will not be processed. This was caused by in block dilution that was added when increasing the block size to a dimension that could be mined with the main loading units planned. The block sized change from 5 x 5 x 5m to 15 x 15 x 15m resulted in a 12% reduction in contained ounces to grades above 2.5g/t gold, while for material above 0.2g/t gold there is a 1% reduction in contained ounces. 12.1.1.3 Geotechnical Pit slope angles are discussed in Chapter 13.2. 12.1.1.4 Infrastructure There were no infrastructure-related modifying factors applied to the surface Mineral Reserve; infrastructure discussed in Chapter 15 can be moved to another location if needed. 12.1.1.5 Economic Economic assumptions include long-term commodity prices, operating costs, and capital costs appropriate for reserve estimation. Operating costs reflect owner-operated open pit mining, heap leach and mill processing, site general and administrative costs, and sustaining capital. Capital costs include pre-production development, processing facilities, infrastructure, and sustaining capital over the LOM. Cut-off grades have been calculated based on process route, metallurgical recovery, operating costs, and commodity price assumptions. Applicable royalties, taxes, and other fiscal obligations have been incorporated into the economic evaluation. As discussed in Chapter 16, gold and silver prices were provided by AngloGold Ashanti. Costs for process and mining are built on first principles cost models. 12.1.1.6 Metallurgical recoveries Ore processing is planned via a combination of heap leaching for oxide and suitable transition material and conventional milling for higher-grade or non-leachable material, based on metallurgical testwork. Metallurgical recovery factors for both heap leach and milling circuits were supported by laboratory and column testing and were applied by material type and grade. These parameters were considered reasonable and achievable for the selected processing routes. Crushed heap leach gold recovery ranges from 63.61% to 78.94%, varying by material type and grade (Table 12.1.). No sulphide or fresh material will be directed to the heap leach facility; all such material was classified as waste in the mine plan. Table 12.1. Merlin crushed leach recoveries. AngloGold Ashanti Technical Report Summary for the Arthur Gold Project – current at 31 December 2025 __________________________________________________________________________________________ 26 March 2026 104 A flat recovery of 73.95% was applied to transition material. For oxide material, a grade-dependent recovery curve was used, with a maximum recovery capped at 95% (Table 12.2). As a result, mill recoveries range from 73.95% to 95.00%. No sulphide or fresh material will be processed through the mill and was treated as waste in the mine plan. Table 12.2. Merlin mill recoveries. 12.1.1.7 Legal There were no legal modifying factors applied. 12.1.1.8 Social There were no social modifying factors applied. AngloGold Ashanti maintains a good relationship with the Beatty community. 12.1.1.9 Governmental There were no governmental modifying factors applied. Nevada is a mining-friendly jurisdiction and AngloGold Ashanti North America has a good working relationship with the state government. 12.1.1.10 Royalties A 2.5% royalty was applied to both gold and silver for both optimisation and planning purposes. 12.1.1.11 Mining method Mining will be based on conventional open pit methods using truck–shovel equipment. Final pit designs were derived from economic pit optimisation and incorporated detailed phase designs, bench configurations, haul ramp geometries, and operational allowances. Mining dilution and mining recovery factors were applied based on bench height, blasting practices, and expected selectivity by material type. The production schedule reflected achievable mining rates, realistic equipment productivities, and an operational ramp-up consistent with comparable open pit gold operations in the region. The equipment selection used in this plan was at an appropriate level for a pre-feasibility study. 12.1.1.12 Hydrology/hydrogeology A hydrology model was created by Itasca, which is appropriate for the pre-feasibility study. This is discussed in detail in Chapter 7.5. 12.1.1.13 Adjustment factors No Mineral Resource or mining adjustment factors were considered. 12.1.1.14 Processing Ore processing is planned via a combination of heap leaching for oxide and suitable transition material and conventional milling for higher-grade or non-leachable material, based on metallurgical testwork. The throughput rates are a consistent 7Mtpa for the proposed mill and 5.5Mtpa for the planned heap leach. A summary of the modifying factors is shown in Table 12.3.


 
AngloGold Ashanti Technical Report Summary for the Arthur Gold Project – current at 31 December 2025 __________________________________________________________________________________________ 26 March 2026 105 Table 12.3. Mineral Reserve modifying factors for the Merlin open pit, current at 31 December 2025. Primary commodity price (Au) Secondary commodity price (Ag) % RMF (based on tonnes) % MRF (based on tonnes) % MRF (based on g/t) % MCF % MetRF $1,950/oz $19.50/oz 100.0 100.0 100.0 100.0 92.0 Note: Au: gold; Ag: silver RMF: Mineral Resource modification factor; MRF: mining recovery factor; MCF: mine call factor; MetRF: metallurgical recovery factor. 12.1.1.15 Cut-off grade The pit optimiser generated an economic model using the breakeven cut-off grade to generate pit shells using the Lerchs-Grossmann algorithm. The processing cost was the differential between treating material as waste or ore. Cut-off grades were calculated for gold by pit based on the mining assumptions, mining costs, processing costs, and recovery. Silver was not considered for the cut-off grade calculations. The reported tonnages for the silver by-product are an outcome from the associated pit or underground mine plans, that have been determined based on the extraction of the primary mineral. During scheduling process, the mining software dynamically determined cut-off grades based on the material allocation strategy, including stockpiling, processing capacity constraints, and haulage constraints with the objective of maximising schedule net present value (NPV). Cut-off grade parameters were defined by mineralisation type, resulting in the calculated cut-off grades presented in Table 12.4. Table 12.4. Inputs to gold cut-off grade by mineralisation type. Cut-off grade Open Pit COG Merlin 5MTPA Mill Fully Costed Cut Off Grades Oxide - Mill Material Oxide - Crushed Leach Material Oxide - Stockpiled Mill Material Oxide - Stockpiled Leach Material Mixed - Mill Material Mixed - Crushed Leach Material Mixed - Stockpiled Mill Material Mixed - Stockpiled Leach Material Ore Differential Mining Costs ($/t) {Ore Premium} 0.00 0.00 0.00 0.00 0.00 0.00 0.00 0.00 Full Mining Costs, Haulage Included ($/t) 2.70 2.70 2.70 2.70 2.70 2.70 2.70 2.70 Processing Fixed Cost ($/t) 15.75 6.800 15.75 6.80 15.75 6.800 15.75 6.80 Processing Variable Cost ($/t) 0.00 0.00 1.23 1.23 0.00 0.00 1.23 1.23 Processing Sustaining Capital Cost ($/t) 0.00 0.00 0.00 0.00 0.00 0.00 0.00 0.00 General & Administration On Site Cost ($/t) 0.24 0.24 0.24 0.24 0.24 0.24 0.24 0.24 All Cap Infrastructure and Exploration Costs ($/t) 3.48 3.48 3.48 3.48 3.48 3.48 3.48 3.48 Total Cost per tonne ($/t) 22.17 13.22 23.40 14.45 22.17 13.22 23.40 14.45 Gold Price $/oz 1,950 1,950 1,950 1,950 1,950 1,950 1,950 1,950 Royalties $/oz 48.75 48.75 48.75 48.75 48.75 48.75 48.75 48.75 AngloGold Ashanti Technical Report Summary for the Arthur Gold Project – current at 31 December 2025 __________________________________________________________________________________________ 26 March 2026 106 Cut-off grade Open Pit COG Merlin 5MTPA Mill Fully Costed Cut Off Grades Oxide - Mill Material Oxide - Crushed Leach Material Oxide - Stockpiled Mill Material Oxide - Stockpiled Leach Material Mixed - Mill Material Mixed - Crushed Leach Material Mixed - Stockpiled Mill Material Mixed - Stockpiled Leach Material Refining cost $/oz 5.00 5.00 5.00 5.00 5.00 5.00 5.00 5.00 Realised Gold Price $/oz 1,896 1,896 1,896 1,896 1,896 1,896 1,896 1,896 Realised Gold Price $/g 60.97 60.97 60.97 60.97 60.97 60.97 60.97 60.97 Metallurgical Recovery % 92.5% 78.9% 92.5% 78.9% 74.0% 63.6% 74.0% 63.6% Mine call factor % 100.0% 100.0% 100.0% 100.0% 100.0% 100.0% 100.0% 100.0% Cut-Off Grade (g/t) 0.393 0.275 0.415 0.300 0.492 0.341 0.519 0.372 12.2 Mineral Reserve classification and uncertainty The Mineral Reserve estimate is based on an operational mine plan. The work completed to date represents a technically achievable and financially economical mine plan. This will be updated annually. The Mineral Reserve plan only considers the Indicated portion of the Merlin Pit. All Mineral Reserve is estimated by reporting physicals (volumes tonnes grades material types etc.) against the Mineral Resource model within detailed designs. Mineral Reserve physicals are then scheduled and put through a financial model for economic evaluation. All Indicated Mineral Resource within the Mineral Reserve model were classified as Probable. 12.3 Mineral Reserve summary The Mineral Reserve estimate for the Arthur Gold Project was classified as a Probable Mineral Reserve in accordance with Regulation S-K 1300 definitions. The Mineral Reserve was derived exclusively from the Indicated Mineral Resource estimate using the block model described in Chapter 11.2 of this Report and were defined through pit optimisation and detailed open pit designs incorporating three mining phases. Relevant modifying factors, including mining, processing, metallurgical, infrastructure, economic, marketing, legal, environmental, social, and governmental considerations, were applied to determine the economically extractable portions of the resource. Overburden storage areas, including west and east dumps, were designed to accommodate all mined waste material associated with the Probable Mineral Reserve. A Reserve production schedule and supporting financial model were developed from the mine designs, and the Qualified Person’s review of the cash flow analysis indicates that the Project demonstrates positive cash flow and provides a reasonable basis for the declaration of Probable Mineral Reserve. 12.4 Mineral Reserve statement The Mineral Reserve, based on a $1,950/oz gold price, tonnages and grades are estimated and reported as delivered to the plant (i.e., the point where material is delivered to the processing facility). The Mineral Reserve estimate is current at 31 December 2025 and is summarised in Table 12.5 (gold) and Table 12.6 (silver). AngloGold Ashanti Technical Report Summary for the Arthur Gold Project – current at 31 December 2025 __________________________________________________________________________________________ 26 March 2026 107 Table 12.5. Gold Mineral Reserve statement. Area/Deposit Category Tonnes (Mt) Grade (g/t Au) Contained gold (t) (Moz Au) Merlin (open pit) Proven - - - - Probable 87.64 1.75 153.68 4.94 Sub-total Proven & Probable 87.64 1.75 153.68 4.94 Total Arthur Gold Project (open pit) Proven - - - - Probable 87.64 1.75 153.68 4.94 Total Proven & Probable 87.64 1.75 153.68 4.94 Table 12.6. Silver Mineral Reserve statement. Area/Deposit Category Tonnes (Mt) Grade (g/t Au) Contained silver (t) (Moz Au) Merlin (open pit) Proven - - - - Probable 87.64 2.76 242.03 7.78 Sub-total Proven & Probable 87.64 2.76 242.03 7.78 Total Arthur Gold Project (open pit) Proven - - - - Probable 87.64 2.76 242.03 7.78 Total Proven & Probable 87.64 2.76 242.03 7.78 Notes: Rounding of numbers may result in computational discrepancies in the Mineral Reserve tabulations. All figures are expressed on an attributable basis unless otherwise indicated. To reflect that figures are not precise calculations and that there is uncertainty in their estimation, AngloGold Ashanti reports tonnage, grade and content for gold to two decimals. To reflect that figures are not precise calculations and that there is uncertainty in their estimation, AngloGold Ashanti reports tonnage, grade and content for silver to two decimals. The reported tonnages for the silver by-product are an outcome from the associated pit, that have been determined based on the extraction of the primary mineral. All ounces are Troy ounces. “Moz” refers to million ounces. 1. The Mineral Reserve stated herein is current at date and was prepared in compliance with Regulation S-K 1300. 2. “Tonnes” refers to a metric tonne which is equivalent to 1,000 kilograms. 3. The Mineral Reserve tonnages and grades are estimated and reported as delivered to the plant (i.e., the point where material is delivered to the processing facility). 4. Property currently in a development stage. 5. The gold and silver Mineral Reserve for Arthur Gold Project includes the Merlin deposit only. 6. Mr. Hamid Taghavi, RM SME, employed by AngloGold Ashanti, is the Qualified Person for the Arthur Gold Project Mineral Reserve. 7. The Merlin gold Mineral Reserve is based on a gold price of $1,950/oz. In 2025, a dynamic cut-off grade strategy was applied for mine planning and the open pit cut-off grades range from 0.28g/t to 0.49g/t gold (varying according to grade and material type), and stockpiles cut-off grades range from 0.30g/t to 0.52g/t gold (varying according to grade and material type). In 2025, a metallurgical recovery factor range from 63.61% to 95.00% (varying according to grade and material type) was applied to the Merlin open pit and stockpiles for gold. 8. The Merlin silver Mineral Reserve is based on a silver price of $19.50/oz. In 2025, for Merlin, a metallurgical recovery factor range from 10.20% to 22.21% (varying according to material type) was applied to the open pit for silver. The Mineral Reserve stated in this Report is based on tonnes and grade and contained metal delivered to the mill or crushed leach processing areas. 12.5 Factors that may affect the Mineral Reserve estimates Factors that may affect the Mineral Reserve estimates include: • Long-term commodity price assumptions. • Long-term exchange rate assumptions. • Long-term consumables price assumptions. Other factors that can affect the estimates include changes to: • Mineral Resource input parameters for the Mineral Resource that were converted to Mineral Reserve. • Input parameters used in the constraining stope and pit shell designs. • Cut-off grade assumptions. • Changes to geotechnical (including seismicity) and hydrogeological factors and assumptions. AngloGold Ashanti Technical Report Summary for the Arthur Gold Project – current at 31 December 2025 __________________________________________________________________________________________ 26 March 2026 108 • Changes to metallurgical and mining recovery assumptions. • Inputs to capital and operating cost estimates. • Assumptions as to the ability to access the site, retain mineral and surface rights titles. • Assumptions as to the ability to maintain environmental and other regulatory permits and maintain the social licence to operate. 12.6 Qualified Person's opinion Mineral Reserve estimates are dependent upon the application of modifying factors, including but not limited to mining methods, metallurgical performance, operating and capital costs, infrastructure, permitting, environmental and social considerations, legal and land tenure, marketing assumptions, and economic parameters such as commodity prices and exchange rates. Mining-related risks, including deviations from assumed geotechnical conditions, dilution, recovery, equipment availability, or productivity assumptions, could adversely affect mineability and unit costs, potentially impacting Mineral Reserve viability. Similarly, variations in metallurgical performance relative to assumptions, including recovery, throughput, or reagent consumption, could materially affect payable metal production and economic outcomes. Mineral Reserve may also be materially affected by changes or delays in permitting, environmental approvals, land access, or social licence to operate. Additional or more restrictive regulatory requirements, mitigation measures, or unforeseen environmental or community-related constraints could limit mine development, alter mine plans, or increase costs beyond those assumed in the modifying factors. Infrastructure availability, water supply, power access, and logistics assumptions also represent potential sources of risk. Disruptions or changes in the availability, cost, or performance of required infrastructure could materially impact future mining operations and the economic basis of the Mineral Reserve estimates. The Qualified Person notes that the Mineral Reserve estimates are based on the best information available at the time of preparation of this Report and reflect reasonable assumptions regarding the modifying factors. However, as these factors are subject to change over time, actual outcomes may differ from those assumed, and such differences could result in a material change to the Mineral Reserve estimates. 13. Mining methods 13.1 Introduction The mining studies incorporate geological and Mineral Resource model data, geotechnical criteria, metallurgical assumptions, and macroeconomic inputs to evaluate mining method selection, pit optimisation, mine design, production scheduling, and waste management strategies. Multiple mining methods were evaluated during the pre-feasibility study. These evaluations considered open pit and underground mining methods across a range of production rates and layouts. The assessment accounted for deposit geometry, grade distribution, geotechnical constraints, production scheduling, capital and operating costs, and project risk. The open pit mining method was chosen based on the superior economics, improved production schedule, and the ability to fully exploit the orebody. This style of mining best lends itself to the disseminated style of the orebody and provides sufficient capabilities to mine at a high rate. This open pit mining method is very common in Nevada, with large scale mining operations. The most efficient method to exploit ore bodies of this scale is to use large rope shovels and ultra-class haul trucks, as is done at multiple other properties in Nevada. Mine planning and optimisation were carried out using industry-standard software and workflows, including Lerchs–Grossmann pit optimisation, staged pit design, and LOM scheduling. The planned mining approach is conventional open pit truck-and-shovel operations, consistent with industry practice for deposits of comparable scale, geometry, and production rate. Primary loading is assumed to be performed by electric rope shovels in the Komatsu 4100XPC class (or equivalent), selected to match the targeted production profile and truck payload for optimised fleet productivity. Haulage will be conducted using rigid-frame ultra-class haul trucks in the Caterpillar 798 class (or equivalent), aligned with the selected loading unit size to achieve appropriate pass-matching and cycle-time efficiency.


 
AngloGold Ashanti Technical Report Summary for the Arthur Gold Project – current at 31 December 2025 __________________________________________________________________________________________ 26 March 2026 109 The mining fleet will be supported by ancillary equipment including track-type dozers for pit floor and dump management, rubber-tired loaders for stockpile and contingency loading, motor graders for haul road maintenance, water trucks for dust suppression, and other standard support equipment required for safe and efficient open pit operations. This equipment selection reflects a balance between productivity, operational flexibility, capital efficiency, and alignment with the production targets defined in the LOM plan. The mining plan proposes conventional staged open pit mining methods of drill blast, load, and haul operations with Owner-operated equipment. Overburden (waste rock) storage areas will be located adjacent to the open-pit mining area. Lower-grade ore will be hauled by the open pit mining fleet to the heap leach crusher, with higher-grade material preferentially fed to the stockpile to the gravity mill circuit. Most of the waste mining will be above the water table, while the majority of the ore is below the water table. The planned general mining method is summarised as follows: • Clearing and stripping of suitable material from all disturbed areas into discrete stockpiles. • Drilling and blasting of ore and associated internal waste on 15m benches, while bulk waste, which is outside the ore envelope, is also blasted on 15m benches. Trim blasts will be used to provide wall control as required. Most of the explosive usage is ammonium nitrate/fuel oil, with all explosives supplied by a subcontractor. • Loading and hauling using 4100XPC or equivalent class rope shovels and 360t capacity haul trucks, mining on 15m high benches in all material zones. Mill and crushed leach ore will be directly fed to the crusher or stockpiled for blending. • The heap leach will be constructed in 10m lifts from the mine as required. • Overburden storage areas will be developed in 30m lifts and progressively rehabilitated. • Ancillary plant support for floor control, haul road construction and maintenance, rehabilitation drill support, waste dump battering provided by a fleet of dozers, graders, and water carts. • Pit dewatering will be managed by dewatering wells. Collection of storm water by in-pit sumps will be used as needed during the mining operation. Hydrological studies are discussed in detail in Chapter 7.5. • Grade control drilling will be provided by the owner, including both RC drill and blasthole sampling, and will be conducted during the mine life. • Topsoil will be stockpiled during initial mining stages in the pits and throughout construction of the heap leach facility and overburden storage areas. These stockpiles will be earmarked for post-mining reclamation activities per Nevada regulatory requirements. The proposed mine schedule was developed with the following operational constraints/parameters applied: • Pre-calculated, set cut-off grades are not applied during the mine planning process. Mine Plan Schedule Optimiser software was used for scheduling purposes, with operating cost and cycle time inputs based on haulage profiles to create variable cut-off grades in order to maximise NPV. • Milling rate is set at a maximum of 7Mtpa, with first ore delivery in year 4. • Heap leach rate is set at a maximum of 5.5Mtpa, with first ore delivery in year 4. • The maximum mining rate is 146Mtpa, peaking in year 3 and declining based on haulage capacities and material deliveries. • Maximum vertical advance of 10 benches per year (applied to benches larger than 0.5Mt). • Maximum of 28 Caterpillar 798 trucks planned per year. • Maximum of 5 P&H 4100XPC shovels planned per year. 13.2 Geotechnical considerations A primary factor of the Merlin design is the weathering and alteration of the rock mass is expected to control the geomechanical behaviour of the slope which is reflected in the Merlin geotechnical domains assigned (Table 13.1). It is also assumed that slope dewatering will be able to be achieved ahead of mining. AngloGold Ashanti Technical Report Summary for the Arthur Gold Project – current at 31 December 2025 __________________________________________________________________________________________ 26 March 2026 110 Table 13.1. Merlin geotechnical domains. Domain identifier Group Description MER_EastWallUnits 1 Younger Landslide Breccias + Quaternary Alluvials (Tyx/Tgs/Qay) MER_FRSW_AA 2 Fresh to slightly weathered advanced argillic alteration. MER_FRSW_ARILPP 3 Fresh to slightly weathered undifferentiated clays MER_FRSW_SI 4 Fresh to slightly weathered silica altered. MER_MW_AA 5 Moderately weathered advanced argillic MER_MW_ARILPP 6 Moderately weathered undifferentiated clays MER_MW_SI 7 Moderately weathered silica altered. MER_HWCW_AA 8 Highly to completely weathered advanced argillic alteration. MER_HWCW_ARILPP 9 Highly to completely weathered undifferentiated clay alteration. MER_HWCW_SI 10 Highly to completely weathered silica altered. MER_Jt 11 Joshua Hollows Stratigraphy. Design specifications were developed internally and provided as primary inputs into the mine slope design (Table 13.2). Table 13.2. Design specifications. Note: GT: Geotechnical; OS: overall slope; IR: inter-ramp; OSA: overall slope angle; IRA: inter-ramp angle; BFA: Bench Face Angle; FoS: Factor of Safety. These specifications are agnostic of the slope location and require local adjustments and design modification based on the final wall design and for the presence of large structures such as faults. Inter-ramp angles were optimised on the allowable overall slope angles to meet the design acceptance criteria. AngloGold Ashanti Technical Report Summary for the Arthur Gold Project – current at 31 December 2025 __________________________________________________________________________________________ 26 March 2026 111 13.3 Requirements for stripping, mining and backfilling The total LOM material movement is forecast at approximately 1,043Mt. Of this total, 45.5Mt is classified as mill feed, 42.1Mt as heap leach feed, and 955.8Mt as waste. The resulting LOM average strip ratio is estimated at 10.9:1 (waste: ore). At the completion of mining, the open pit is planned to be partially backfilled to the projected long-term groundwater table elevation, consistent with closure strategy assumptions. Recommended overall slope angles (inclusive of ramps and local step-outs), as provided by the AngloGold Ashanti Geomechanics team, range from 28° to 35°, depending on geotechnical domain and sector. These angles form the basis of the pit design used for Mineral Reserve estimation. Hydrogeological modelling and associated design considerations were discussed in detail in Chapter 7.5. From the yearly production schedule in Table 13.3, the first three years of mining will be waste stripping, and the first ore will be available at the end of year three. Table 13.3. Mine schedule material movement by phase/period. Tonnage (Mt) Year Phase 2030 2031 2032 2033 2034 2035 2036 2037 2038 2039 Total Phase1 73 117 146 48 384 Phase2 90 135 68 20 7 320 Phase3 47 103 88 84 18 340 Total 73 117 146 138 135 115 123 95 84 18 1,043 The pit is expected to be fully dewatered by the time mining goes below the water table. 13.4 Mine design The Mineral Reserve plan consists of three nested pushbacks, focusing on the high-grade portion of the Merlin pit. The pushbacks were developed using the geotechnical criteria provided by the geotechnical team, as detailed in geotechnical recommendation chapter. The IRA varies based on geotechnical domain, as does the bench width. The bench face angle and bench height are 75° and 15m, respectively. Phases one to three of the planned Merlin open pit are shown in Figures 13.1 to 13.3. The final pit layout is discussed in Chapter 13.9. AngloGold Ashanti Technical Report Summary for the Arthur Gold Project – current at 31 December 2025 __________________________________________________________________________________________ 26 March 2026 112 Figure 13.1. Phase one of the Merlin open pit. Note: Figure prepared by AngloGold Ashanti, 2025.


 
AngloGold Ashanti Technical Report Summary for the Arthur Gold Project – current at 31 December 2025 __________________________________________________________________________________________ 26 March 2026 113 Figure 13.2. Phase two of the Merlin open pit. Note: Figure prepared by AngloGold Ashanti, 2025. AngloGold Ashanti Technical Report Summary for the Arthur Gold Project – current at 31 December 2025 __________________________________________________________________________________________ 26 March 2026 114 Figure 13.3. Phase three of the Merlin open pit. Note: Figure prepared by AngloGold Ashanti, 2025. Two-way haul roads were designed at a width of 42m, which includes running width of 3.5 times the width of the haul truck, plus 6m for the berm. Roads were designed at 10% grade, with a switchback radius of 16m. Single lane haul roads were used for no more than the last three benches of the pushback. Single lanes were designed at 27m and up to 12% grade. In general, mining widths are generous, with many benches allowing for up to 400m of mining width to maximise productivity. However, near pit bottoms and ramp interactions mining widths will go down to as narrow as 50m. Groundwater will be addressed with dewatering wells prior to mining. Surface water will be addressed through in-pit pumps when needed, and emulsion can be used for blasting drill holes in meteoric water. In the Beatty climate, meteoric water can be expected to be minimal. 13.5 Waste dump design parameters Overburden storage area or waste storage facility designs were created for the pre-feasibility study to contain mined material that will not be processed. A 1.35 swell factor was assumed, which will provide for both swell when mined and compaction when placed into the facility. All waste or overburden dump areas will be stripped and the topsoil store for reclamation works. Run off from these areas will be collected by perimeter ditches stored and recycled to the process plant for reuse as make up water. Waste stockpiles were designed at a 3:1 slope, which account for concurrent reclamation. AngloGold Ashanti Technical Report Summary for the Arthur Gold Project – current at 31 December 2025 __________________________________________________________________________________________ 26 March 2026 115 At the end of mine-life, stockpiled waste will be reclaimed into the pit, above the water table. The water table is expected to take decades to create a pit lake based on current ground water levels and recharge rates in a preliminary groundwater, therefore there is a delay expected between the end of mining and the beginning of waste reclamation to the pit. 13.6 Surface waste dump and ore stockpile 13.6.1 Surface waste dump Two overburden storage areas were incorporated into the Mineral Reserve plan: the east overburden storage areas and the west overburden storage areas. Both facilities are designed with overall slope angles of 3H:1V to support concurrent reclamation and long-term stability objectives. The selected geometry provides sufficient footprint and operational flexibility to allow for segregation and management of potentially acid-generating material, if required. The overburden storage areas were strategically located as close to the pit limits as practical to minimise haulage distances, while preserving optionality for potential future pit expansions. The east overburden storage areas expansion to the east is constrained by the Greenlink Corridor, while the west overburden storage areas expansion to the north is limited by Beatty Wash. These constraints have been incorporated into the current design envelopes. The designed storage capacities of the west and east overburden storage areas are approximately 1,431Mt and 258Mt, respectively as shown in Figure 13.4. Figure 13.4. Mineral Reserve plan pit, surface waste dump, ore stockpile area. Note: Figure prepared by AngloGold Ashanti, 2025. Brown: west overburden storage area (OSA); blue: east overburden storage area (OSA), green dashed: Ore Stockpile Area. 13.6.2 Ore stockpile An ore stockpile facility has been designed on the southeast side of the pit with an estimated total storage capacity of approximately 40Mt, as shown in Figure 13.5 (proposed Project layout). AngloGold Ashanti Technical Report Summary for the Arthur Gold Project – current at 31 December 2025 __________________________________________________________________________________________ 26 March 2026 116 Figure 13.5. Proposed Project layout for the Merlin open pit. Note: Figure prepared by AngloGold Ashanti, 2025. OSA: Overburden Storage Area; HLP: Heap Leach Pad; FTSF: Filtered Tailings Storage Facility. The stockpile is intended to provide operational flexibility and maintain a consistent feed rate to both the milling circuit and the crushed heap leach facility throughout the LOM. The stockpile strategy will support grade management, processing optimisation, and mitigation of short-term mining variability. Material will be segregated based on grade and metallurgical characteristics to facilitate blending and processing control, as required by the respective processing streams. Ore rehandling costs associated with stockpile reclaim were incorporated into the cut-off grade calculations and were reflected in the mine planning assumptions and financial model. Reclaim was assumed to be conducted using front-end loaders, with material transported by 100t class haul trucks to the primary crusher dump hopper. The unit rehandling cost estimate was based on equipment productivity assumptions, haul distances, cycle times, fuel consumption, and labour inputs consistent with the pre-feasibility study-level mine operating cost model. The stockpile layout and capacity are considered sufficient to support production smoothing and processing continuity under the planned mining sequence. 13.7 Production schedule The mine schedule was developed with the following operational constraints/parameters applied: • Pre-calculated, set cut-off grades were not applied during the mine planning process. Mine Plan Schedule Optimiser (MPSO) was used for the scheduling portion of this exercise. MPSO used


 
AngloGold Ashanti Technical Report Summary for the Arthur Gold Project – current at 31 December 2025 __________________________________________________________________________________________ 26 March 2026 117 operational expenditure and cycle time based on haulage profile to create a variable cutoff to maximise NPV. The total LOM material movement is forecast at approximately 1,043Mt. Of this total, 45.5Mt is classified as mill feed, 42.1Mt as heap leach feed, and 955.8Mt as waste (Table 13.4). The resulting LOM average strip ratio is estimated at 10.9:1 (waste:ore). AngloGold Ashanti Technical Report Summary for the Arthur Gold Project – current at 31 December 2025 __________________________________________________________________________________________ 26 March 2026 118 Table 13.4. Yearly mine production schedule in tonnes and ounces by year. Project Year Destinations Unit 1 2 3 4 5 6 7 8 9 10 Total Leach Tonnage (K Tonne) 270 6,158 3,320 10,431 8,296 3,214 4,883 5,508 42,081 Cont. gold (K Oz) 3 148 54 155 125 53 102 98 739 Cont. silver (K Oz) 31 665 180 397 273 136 255 251 2,189 Mill Tonnage (K Tonne) 49 9,650 857 9,582 8,029 3,389 7,000 7,000 45,555 Cont. gold (K Oz) 10 1,556 45 629 542 120 799 501 4,202 Cont. silver (K Oz) 21 1,947 92 1,085 732 244 750 722 5,593 Waste Tonnage (K Tonne) 73,000 116,800 145,681 121,714 130,890 94,987 106,932 88,508 71,618 5,696 955,826 Total Tonnage 73,000 116,800 146,000 137,522 135,067 115,000 123,258 95,111 83,501 18,204 1,043,462 AngloGold Ashanti Technical Report Summary for the Arthur Gold Project – current at 31 December 2025 __________________________________________________________________________________________ 26 March 2026 119 13.8 Mine equipment, machinery and personnel The mining fleet will consist of large-scale equipment suitable for conventional open-pit mining. The project is to be run as an Owner-operated mine. The primary mining fleet is shown in the equipment list below. • 10 CAT MD6310 drills • 28 CAT 798 Haul trucks • 5 Komatsu 4100XPC shovels • 5 CAT 18M motorgraders • 5 CAT D10T2 track dozers • 5 CAT 777 water trucks • 5 CAT 834 rubber tire dozers • 2 CAT 992 project loaders • 4 CAT 777 project haul trucks • 3 CAT 395 project excavators • 3 CAT D11 dozers • 2 CAT 988 project loaders Total personnel in mine operations will include the maintenance department and is expected to run 491 personnel at the highest headcount. 13.9 Final mine outline The proposed project layout for the Merlin open pit is shown in Figure 13.5. 14. Processing and recovery methods Crushed heap leaching or milling are the preferred processing methods for the Merlin deposit. Generally, the Merlin ore is strongly oxidised with gold recoveries increasing with decreasing feed size. Significant amounts of gravity recoverable gold are present in higher grade zones of the deposit. These higher-grade materials are routed to the milling cyanidation circuit that includes a gravity gold recovery circuit integrated with a closed- circuit ball mill. Lower grade material is processed by crushing, agglomeration, and heap leach cyanidation. This comparatively lower cost process reduces the economic cut-off grades and increases the profitability of the Project. The processing methods selected have been applied to similar deposits in the region and more widely in the mining industry. Both the milling circuit and the heap leaching circuit consist of well-tested technologies that have been operated successfully at similar scales. There are no novel processes included in the pre-feasibility study. 14.1 Comminution design criteria A summary of the design criteria for the mill process plant and the heap leach operation is included in Table 14.1 and 14.2 below. Table 14.1. Design criteria for the mill process plant. Description Units Value Mill process plant Throughput t/a 7,000,000 Nominal rate, does not include availability and design factors t/d 19,178 Design Throughput t/h 1,065 AngloGold Ashanti Technical Report Summary for the Arthur Gold Project – current at 31 December 2025 __________________________________________________________________________________________ 26 March 2026 120 Description Units Value Crushing configuration Gyratory-Cone-HPGR Overall Utilisation, Primary Crushing % 75 Overall Utilisation, Secondary Crushing % 75 Overall Utilisation, HPGR Tertiary Crushing % 88 Operating Time, hours/day h/day 24 Primary crushed ore product size P100 mm 295 P80 mm 113 Secondary crushed ore product size P100 mm 76 P80 mm 46 Tertiary crushed ore product size P100 mm 22 P80 mm 9 Tertiary crusher screen undersize (ball mill feed) P100 mm 6 P80 mm 3.1 Grinding configuration Ball Mill / Cyclone Overall Utilisation, Grinding % 92 Operating Time, hours/day h/day 24 Design Throughput t/h 869 Recirculating Load % 300 Total Mill Power Installed kW 18,400 Table 14.2. Design criteria for the heap leach operation. Description Units Value Heap leach operation Throughput t/a 5,500,000 Throughput t/d 15,068 Crushing configuration Gyratory-Cone-HPGR Overall Utilisation, Primary Crushing % 75 Overall Utilisation, Secondary Crushing % 80


 
AngloGold Ashanti Technical Report Summary for the Arthur Gold Project – current at 31 December 2025 __________________________________________________________________________________________ 26 March 2026 121 Description Units Value Overall Utilisation, HPGR Tertiary Crushing % 80 Overall Utilisation, Conveyor Stacking % 75 Operating Time h/day 24 Primary crushed ore product size P100 mm 177 Secondary crushed ore product size P100 mm 50 P80 mm 40 Tertiary crushed ore product size P100 mm 36 P80 mm 9 14.2 Mill process plant The proposed milling flowsheet is shown in Figure 14.1. AngloGold Ashanti Technical Report Summary for the Arthur Gold Project – current at 31 December 2025 __________________________________________________________________________________________ 26 March 2026 122 Figure 14.1. Milling flowsheet - mill and CIL processing circuit process flow diagram. Note: Figure prepared by AngloGold Ashanti, 2025. AngloGold Ashanti Technical Report Summary for the Arthur Gold Project – current at 31 December 2025 __________________________________________________________________________________________ 26 March 2026 123 The comminution circuit will comprise three-stage crushing with HPGR and a single large ball mill operating in closed circuit with hydrocyclones. Downstream of comminution, the process plant will include gravity concentration, intensive cyanide leaching and electrowinning for gravity circuit recovery. The remaining gold will be recovered through a CIL circuit. Gold and silver values loaded to activated carbon in the CIL circuit will be extracted by pressure elution (Zadra) in an adsorption-desorption-recovery (ADR) plant. Metals will then be precipitated by electrowinning from high grade solutions. The precipitates will be filtered, scrubbed of mercury in a vacuum retort, and smelted in a furnace to produce doré bars. The quality of the activated carbon will be maintained by acid washing and regeneration in a rotary kiln before it will be returned to the CIL circuit. The tailings will be filtered and conveyed to a filtered TSF using belt conveyors, grasshoppers, ramp grasshoppers and a radial stacker. Mobile equipment will be used on the filtered TSF to spread tailings and to compact structural zones as designed to maintain stability. 14.2.1 Comminution The major crushing equipment and their sizes will be as follows: • Primary Crusher: 42 x 65 gyratory crusher, 373kW motor • Secondary Crusher: MP1000 cone crusher, 746kW motor • Coarse Ore Screen and Secondary Crusher Screen: 3.6m wide x 8.5m long vibrating screens • HPGR: HRC2000e unit, 4,040kW motor • HPGR Product Screen: 3.0 x 7.3m, 30kW • HPGR Product fine ore stockpile Screen: 3.0 x 7.3m, 30kW The grinding circuit was designed around a single large ball mill operating in closed circuit with hydrocyclones. Major equipment sized for the grinding circuit will be as follows: • Ball Mill: 8.28 m diameter x 12.8 m EGL, 18,400 kW motor • Cyclone: Single Cyclone Cluster with twenty-two 20” cyclones Crushing plant feed will be hauled from long term stockpiles or reclaimed from the crushing area ROM stockpile. Stockpiled ore will be recovered by front-end loader and transferred by haul trucks to the dump hopper. The major components of the primary crushing system for the mill will consist of the dump hopper, primary crusher surge pocket, hydraulic rock breaker, discharge apron feeder, and the primary crusher discharge conveyor. The coarse crushed ore feed conveyor will transfer the discharge of crushed ore from the primary crusher discharge conveyor to the secondary crusher screen feed bin. The coarse ore will be fed by the secondary crusher screen apron feeder to the secondary screen. Screen over size will be sent for secondary crushing and the undersize fraction will be transferred by the coarse ore stockpile feed conveyor to the coarse ore stockpile. Reclaim from the coarse ore stockpile will be transferred by coarse ore stockpile discharge apron feeders and the HPGR feed conveyor to the HPGR feed bin and then via the HPGR feed conveyor to the HPGR crusher. Because the mill availability is 92% and the HPGR crusher will have a lower availability at 88%, during normal operation the HPGR will produce about 5% more than the mill can immediately use. This quantity of extra output will be dry screened and stored in the fine ore stockpile. A “shark fin” splitter will split 5% of the crushed product to a screen and its undersize will be transferred to the stockpile. When crushing equipment is down, a front-end loader will transfer fine ore to the ball mill from the fine ore stockpile via a conveyor. The mainstream from the “shark fin” splitter will be sent to a product screen pulp box where the ore will be wetted with process water, and then discharged to a product screen. Oversize will be recycled using three conveyors back to the HPGR. The screen undersize product will be transferred to the hydrocyclone feed pump box before pumping it to the cyclone cluster for classification. The hydrocyclone cluster underflow will flow by gravity to the feed end of the ball mill. Discharge from the ball mill will return by gravity to the hydrocyclone feed pump box. The hydrocyclone overflow stream, with a P80 of 106µm will be transferred to the grinding thickener via a trash screen that will remove any oversized grit and organic waste. AngloGold Ashanti Technical Report Summary for the Arthur Gold Project – current at 31 December 2025 __________________________________________________________________________________________ 26 March 2026 124 14.2.2 Gravity concentration The gravity feed pump will divert fresh feed from the cyclone feed pump box to two screens. The undersize will be directed at two centrifugal gravity concentrators. The screen oversize (+2mm), representing roughly 10% of the slurry, will bypass the concentrators and flow to the gravity tails pump box. The gravity concentrators will operate in semi-continuous mode. When discharged, concentrate will flow to the intensive leach reactor (ILR) feed hopper, excess water will be decanted, and concentrate will be accumulated until a full batch is available for processing. The accumulated concentrate will then be transferred by gravity to the ILR, where it will undergo desliming; the ILR fines will then be returned to the grinding circuit via the gravity tails pump box. Within the ILR, intensive cyanidation will dissolve gold into a high tenor pregnant solution. This solution will be filtered through the ILR filter media to produce a clear pregnant liquor suitable for direct electrowinning. The ILR pregnant solution is collected in the ILR pregnant solution tank and processed separately from the pregnant solution that will be generated during carbon elution. Gravity circuit testwork indicated a gravity gold recovery of up to 50% of the contained gold. The mass pull from the gravity concentrators will be approximately 0.088% of the gravity circuit feed. Gravity tails will be pumped from the gravity tails pump box back to the cyclone feed pump box in the grinding circuit. 14.2.3 CIL and adsorption circuit The hydrocyclone overflow will report to the grinding (pre-leach) thickener, where the slurry is concentrated from 35% solids to 50% solids (w/w). Thickened slurry is then pumped to two parallel CIL trains via a leach feed pump box. Within each CIL train, the slurry will enter either the first or the second tank and then flow in series through the remaining tanks. Slurry transfer between successive CIL tanks will be accomplished using mechanically swept inter-tank pumping screens (Kemix or similar). These screens will retain the carbon inventory within each tank while allowing slurry to pass through, with flow driven by moderate pumping integrated with the screens and a controlled differential in slurry level between adjacent tanks. Inter-tank screens can be removed using a dedicated CIL tower crane and transported to a wash bay for routine cleaning and maintenance using a high-pressure screen washer. A spare screen will be maintained on site to facilitate fast screen changeover. Stripped/regenerated carbon or pre-attrited virgin carbon will enter the final tank of each CIL train and will be advanced counter current to slurry flow using carbon advance pumps. In the first two CIL tanks, the carbon advance pumps will deliver loaded carbon with slurry to a loaded carbon screen, which will separate loaded carbon as screen oversize. The loaded carbon is hydraulically transferred to the acid wash column or elution column in the ADR plant, while the screen undersize (slurry) will return to the CIL tanks 1 or 2. Carbon concentration in the CIL circuit will be maintained at 15g/L overall. Loaded carbon from the first/second CIL tank will be sent to the carbon acid washing or elution columns on a batch basis. Oxygen will be sparged into each CIL tank to maintain dissolved oxygen concentration of approximately 20ppm. Milk of lime will be added to maintain the leach pH at approximately 11. Sodium cyanide will be added to leach tanks 1 to 3 via a pumped ring main system that allows for sodium cyanide addition to any CIL tank if upstream tanks are bypassed. Slurry exiting the final CIL tank, after passing through the inter-tank screens in CIL tanks 8 and 16 will be discharged at a slurry density of about 50% w/w solids. The stream will flow across a carbon safety screen, which will recover any remaining carbon fines as screen oversize. The carbon-free screen undersize reports by gravity to the tail wash thickener by gravity. 14.2.4 Adsorption, desorption and carbon regeneration circuit The adsorption, desorption, and carbon regeneration circuit was designed to treat loaded carbon from the CIL trains and recover dissolved gold through acid washing, elution, electrowinning, and carbon reactivation. 14.2.5 Acid wash Loaded carbon from the first/second CIL tank in each train will be pumped to a loaded carbon screen, which is operated in a closed loop for six hours once per day. The screen oversize will flow by gravity to a carbon steel, rubber lined acid wash column with a 12t carbon capacity. The screen undersize/fines will return to the leach recirculation tank and feed pump box, with a bypass option to CIL tank 2. In the acid wash column, the loaded carbon will be treated with a 3% w/w hydrochloric solution prepared by diluting 32% w/w hydrochloric acid (HCl). The acid will remove calcium, magnesium and other salts that foul the


 
AngloGold Ashanti Technical Report Summary for the Arthur Gold Project – current at 31 December 2025 __________________________________________________________________________________________ 26 March 2026 125 carbon surface and reduce adsorption capacity. After acid washing, the carbon will be rinsed with fresh water and sodium hydroxide solution to neutralise the residual acid. The washing liquor will be discarded to the tailing thickener feed pump box. To protect surrounding process areas, the acid wash column will sit inside an acid- proof bund equipped with an acid-resistant sump pump that will return collected spillage to the final tailing thickener feed pump box. 14.2.6 Elution circuit – Pressure Zadra process Acid-washed carbon will be hydraulically transferred to one of two 12t elution columns, which will operate in series as part of a Pressure Zadra elution system. The circuit will include: • Two 12t capacity elution columns operating in series, • Electric elution heaters, • Two recovery heat-exchangers, • Two trim heat-exchangers, • A strip eluate tank and • A strip eluate pump. This equipment will operate in a closed loop with four electrowinning cells located inside the gold room. The proposed elution sequence will be: • Pre-soak: An alkaline solution containing 1.5% w/w of sodium hydroxide (NaOH) and 0.2% w/w of sodium cyanide circulates through the columns at 95°C. • Stripping Phase: Additional solution is added at 2.0 bed volumes per hour. The stripping solution is heated to ≥145°C at 400kPag to desorb the gold from the loaded carbon. • Pregnant Solution Handling: The pregnant eluate exits the column top, passes through elution discharge strainers, and heat exchangers and flow to the electrowinning stage. The trim heat exchangers cool the solution > 95°C using fresh water to prevent flashing in the electrowinning cells. • Carbon Discharge: After elution, stripped carbon is cooled by displacement with process water and transferred to a carbon dewatering sieve bend. The oversize reports to the kiln feed hopper. Undersize of the sieve bend reports to the fine carbon collection tank. The settled carbon fines will be pumped to a filter press to recover carbon fines. Overflow from the carbon collection tank will be pumped to the CIL regenerated carbon storage tank. 14.2.7 Carbon regeneration and make-up addition The oversize carbon will be metered using the kiln screw feeder into an electric, rotary, regeneration kiln for carbon regeneration. This electrically powered and heated kiln is designed for: • 100% carbon throughput regeneration • 20 hour/day operation. • 700/750°C operating temperature • Inert atmosphere provided by superheated steam After exiting the kiln, regenerated carbon is quenched in water in the carbon quench tank and pumped to either the CIL carbon sizing screen or the vertical carbon in column (CIC) carbon sizing screen using a single duty regenerated carbon transfer pump. • CIL sizing screen oversize → CIL regenerated carbon storage tank → recycle to final CIL tank • Vertical CIC sizing screen oversize → vertical CIC regenerated carbon storage tank → trucked to heap leach vertical CIC columns • All undersize → fine carbon collection tank → pressure filtration Kiln exhaust gases will pass through a mercury scrubber before discharging to the atmosphere. Because carbon attrition occurs in the circuit, fresh carbon will be added through the carbon attrition tank via a fresh carbon AngloGold Ashanti Technical Report Summary for the Arthur Gold Project – current at 31 December 2025 __________________________________________________________________________________________ 26 March 2026 126 hopper with bag breaker. Fresh carbon will be pre-attrited to remove carbon fines, then it will be transferred to either the CIL regenerated carbon storage tank or vertical CIC regenerated carbon storage tank through the vibrating carbon screens installed above the tanks. 14.2.8 Electrowinning and gold room Pregnant eluate produced during the pressure Zadra elution process will be collected in a dedicated pregnant solution tank. The pregnant solution will be distributed to four electrowinning (EW) cells arranged in two parallel trains, each consisting of two cells in series. A separate EW cell will be provided for pregnant solution generated from the gravity/ILR circuit. All EW cells will be enclosed and fitted with stainless-steel mesh cathodes. Gold will be recovered by electrowinning onto the cathode surfaces. The resulting gold-bearing sludge will be removed from the cathodes using high-pressure wash water and gravitates to the sludge filter feed tank. Barren solution from the EW cell will flow by gravity to the strip eluate tank, where NaOH, sodium cyanide and anti- scalant concentrations will be adjusted prior to reheating and recirculating to the elution columns. To limit the accumulation of impurities, approximately 20% of the barren solution will be bled to the first two tanks in each CIL train. Fumes generated in the EW cells will be collected by two EW extraction and vented to the atmosphere at the electrowinning exhaust stack after passing through the EW cell mist eliminators. Any collected condensate will be returned to the strip eluate tank or the ILR pregnant solution tank. The gold-bearing sludge will be dewatered in a sludge press filter, and the filter cake will be dried in a sludge oven at approximately 100°C. Dried sludge will be blended with fluxes (silica, nitre, borax, and sodium carbonate) in accordance with a pre-determined recipe and smelted in an electric barring furnace. Smelting will produce a molten precious metal phase and a separate slag phase. Molten metal will be poured into doré moulds at a nominal rate of five smelts per week. Slag will be removed and collected in slag trays separately. Furnace particulates will be captured by the furnace extraction system and baghouse. The doré bars will be quenched, cleaned, weighed, stamped, sampled for assay, and stored in the secure vault while awaiting dispatch to a commercial refinery. The gold room will be equipped with full security features, including access control, intrusion detection, and closed circuit television. A dedicated gold room sump fitted with a gold trap will collect process spillage. Captured solids will periodically be removed, and overflow from the sump will be returned to the leach circuit via the gold room sump pump. 14.2.9 Tailings thickening and filtration The tailings slurry (approximately 40 w/w% solids when combined with filtrate from the tailings filters) after passing through the carbon safety screen will be thickened in the final tailing thickener to a target density of approximately 62 w/w % solids. The underflow will be pumped to a pressure filtration plant comprising four filter presses. The filter presses will dewater the tailings to approximately 85 w/w % solids, producing a dry filter cake suitable for dry tailings stacking. Dewatered tailings will be conveyed via overland conveyors, grasshopper conveyors and a dry stacker to the filtered TSF. A portion of the tailing thickener overflow will be used as tailings filter manifold flush water and filter cloth wash water. These water streams will be collected in the tailings filtrate tank and pumped back to the tailing thickener. 14.2.10 Filtered tailing storage facility A filtered TSF was designed to manage the tailings produced by the mill. Tailings will be conveyed to a surface stacking facility southeast of the process plant, where they will be placed in thin lifts, spread, and compacted where needed using conventional earth-moving equipment in a bottom-up configuration. The filtered TSF was designed to ensure environmental containment in compliance with all applicable Nevada State, USA Federal, and Global Industry Standard on Tailings Management requirements. A starter dam and toe buttress will provide operational and seismic stability for the first lifts. Seepage from and precipitation landing on the filtered TSF will be collected in engineered drainage systems and directed to containment ponds. An exterior drainage system will direct all other precipitation around and downgrade from the filtered TSF. A geotechnical investigation concluded that the site is generally suitable for a filtered TSF, with no identified geological hazards expected to materially impact facility performance. 14.2.11 Heap leach The heap leach flowsheet is shown in Figure 14.2. AngloGold Ashanti Technical Report Summary for the Arthur Gold Project – current at 31 December 2025 __________________________________________________________________________________________ 26 March 2026 127 Figure 14.2. Heap leach flowsheet - heap leach and CIC processing circuit process flow diagram. Note: Figure prepared by AngloGold Ashanti, 2025. AngloGold Ashanti Technical Report Summary for the Arthur Gold Project – current at 31 December 2025 __________________________________________________________________________________________ 26 March 2026 128 The crushing circuit will comprise three stages of crushing, with a primary gyratory crusher, a secondary cone crusher, and a tertiary HPGR. Two stockpiles, coarse ore crushed, and fine ore crushed, will decouple the various operations to reduce interruption and maximise the circuit availability. From the HPGR crushed stockpile, ore will be withdrawn and agglomerated in a drum agglomerator by addition of barren solution and cement before stacking. A lime addition system was designed but is not expected to be required due to higher cement dosage at the early stage of the heap construction. The agglomerated HPGR crushed ores will be stacked on the heap leach pad via grasshoppers and a radial stacker. Barren solution will be applied on the heap leach pad via drip emitters. The sodium cyanide solution will percolate through the heap leach pad, dissolves gold and silver, and will be collected at the bottom of the heap leach pad. The pregnant solution will be pumped to the vertical CICs, where gold and silver will be adsorbed by activated carbon. Once loaded with gold and silver, the activated carbon will be transported to the ADR plant located adjacent to the milling facility to recover gold and silver. 14.2.12 Heap leach crushing The crushing circuit was designed based on the process design criteria of 5.5Mtpa and to account for the ore comminution characteristics determined from the test programs. The major crushing equipment and their sizes will be as follows: • Primary Crusher: 42 x 65 gyratory crusher 373kW (500 HP) • Coarse Ore Screen: 3.6m wide x 8.5m long vibrating screen • Secondary Crusher: 671 kw one crusher (900 HP) • Tertiary Crusher: 1.7m diameter x 1.4 m wide roll 3,275kW HPGR (4,390 HP) ROM material will be delivered from the open pit to a ROM stockpile in the crushing area or from long term stockpiles directly to the crusher. ROM material stockpiled next to the crusher will be sized to provide a minimum of two weeks of mining production. Stockpiled ore will be recovered by front-end loader and transferred by 100t class haul trucks to the dump hopper. The primary gyratory crusher layout was sized according to the new gyratory unit. Major components of primary crushing system will include the dump hopper, primary crusher surge pocket, hydraulic rock breaker, discharge apron feeder, discharge conveyor, and coarse ore stockpile feed conveyor. The primary crushing, secondary crushing and tertiary crushing layouts were modelled as per the flowsheet. The coarse material, crushed to P100 of 177mm, will be stored in the coarse ore stockpile, which will have a live capacity of 12,800t and equivalent to 12 hours of plant throughput. The stockpile will be reclaimed by three apron feeders operating in parallel, which will discharge onto coarse ore reclaim conveyor for transfer to the coarse ore screen feed bin. The coarse ore screen feed conveyor will transfer the ore from the feed bin to the coarse ore screen. In addition to the coarse ore feed, the screen will also receive the secondary crusher product via the secondary crusher transfer conveyor. The coarse ore screen oversize will be transferred via the coarse screen o/s conveyor to the secondary crusher feed bin and fed to the secondary crusher by a secondary crusher belt feeder. The secondary crusher product will be discharged to the coarse ore reclaim conveyor and fed to the coarse ore bin. The coarse screen undersize is transferred via the coarse screen undersize conveyor to the HPGR feed bin and fed to the HPGR crusher by the HPGR feed conveyor. The fine HPGR discharge (P80 of 9mm and P100 of 36mm) will be placed in the fine ore stockpile. Fine ore will be reclaimed from the fine ore stockpile by three discharge apron feeders and conveyed to the agglomerator feed conveyor. The agglomeration circuit was designed around a drum agglomerator configuration. Testwork indicated that a maximum rate of 10kg of cement per tonne of ore would be needed for effective agglomeration. Cement will be added to the agglomeration drum feed belt. Provision was made in the layout for the future installation of a second silo for a lime addition system. Barren leach solution will be directly introduced into the agglomeration drum at a rate of 82L/t of ore. Lime addition, although included in the design basis, was not expected to be required during the initial stages of heap construction when higher cement dosage will be applied. The agglomeration circuit was designed for 81% availability.


 
AngloGold Ashanti Technical Report Summary for the Arthur Gold Project – current at 31 December 2025 __________________________________________________________________________________________ 26 March 2026 129 A bulk sampling system was incorporated into the process to support metallurgical accounting requirements (not shown on the layout), as reflected in the process flow diagram. 14.2.13 Heap leach facility Ore discharged from the agglomerator drum will be conveyed via the agglomerator discharge conveyor to a series of grasshopper conveyors and ramp grasshopper conveyors, which feed an index feed conveyor and a radial stacker for heap construction. The heap will be built in nominal 8m lifts to a planned maximum height of 96m. Heap leaching will be conducted with an average leach cycle of 65 days. The initial heap area is approximately 10.1Mft2. The heap leach facility was developed to a pre-feasibility study level based on the design prepared by NewFields. The overall facility will comprise a lined heap leach pad, process pond, and event pond, with the heap leach pad designed for staged development in two phases. Phase one will include the initial pad area together with solution management infrastructure. Phase two will provide for a future pad expansion. Each phase was designed to accommodate 32Mt of ore, for 64Mt total. Ore will be conveyed to the heap leach pad and stacked in nominal lifts on a composite-lined pad incorporating a low-permeability soil or geosynthetic clay liner overlain by a high density polyethylene (HDPE) primary liner and drainage layer. The pad and solution collection systems were designed to accommodate a nominal solution application rate of 0.005gpm/ft² and a maximum solution return rate of approximately 5,000gpm, consistent with the selected heap leach operating parameters. A geotechnical investigation concluded that the site is generally suitable for heap leach facility development, with no identified geological hazards expected to materially impact facility performance. 14.2.14 Carbon adsorption plant Pregnant leach solution (PLS) will drain by gravity from the heap to the pregnant solution tank and will be pumped to the vertical CIC units at a design rate of 5,000gpm using two operating vertical pumps. Gold adsorption will occur in two vertical CIC units operating in parallel. Each vertical CIC unit will consist of a closed-top, five-stage carbon adsorption column. Loaded carbon will be withdrawn from the bottom stage of each vertical CIC using a dedicated carbon transfer pump and discharged into a tanker truck. Excess solution accompanying the loaded carbon will be drained and returned to the process circuit. Loaded carbon will be transported by truck to the centralised ADR facility located at the mill. Regenerated carbon will be returned from the mill ADR to the vertical CIC circuit by truck. After removing loaded carbon from the bottom stage, the same carbon pump will advance carbon down the column, one stage at a time. When the top stage is finished transferring, regenerated carbon will be loaded from a nearby storage tank. 14.3 Reagents Reagent selection and consumption were based on project-specific metallurgical testwork and industry operating practice. All reagents will be stored, mixed and handled in dedicated areas to prevent cross- contamination and ensure personnel safety. Alkaline and acidic reagents will be stored in separate contained and bunded areas equipped with sumps and sump pumps to manage potential spills. Storage tanks were sized to accommodate projected consumption rates and delivery volumes and will be provided with level instrumentation and alarms to prevent overfilling. Reagent transfer and preparation areas will be equipped with appropriate ventilation, fire suppression systems, and safety shower stations, and Material Safety Data Sheet stations. Forklifts will be used for handling reagent bulk bags and totes. 14.3.1 Milk of lime Quicklime will be delivered by tank truck and pneumatically transferred by a truck carried blower to the storage silo. Air entering the silo with the quicklime will exit the silo through a baghouse filtered silo vent at top of the silo. Quicklime from the cone bottom of the silo will be delivered by a screw conveyor to a vertical grinding mill type slaker. Fresh water will be fed to the slaker with control manifold to control the slaking temperature to an ideal range (normally between 75 to 85°C) for optimal slaking. Slaked lime milk will be further diluted to 20% w/w and discharged to a transfer pump box and transferred to the milk of lime storage tank. A recirculating pumping system will be delivering the lime milk to various dosing points for pH control of CIL slurry. AngloGold Ashanti Technical Report Summary for the Arthur Gold Project – current at 31 December 2025 __________________________________________________________________________________________ 26 March 2026 130 14.3.2 Sodium cyanide Sodium cyanide will be delivered to site as solid briquettes with ISO containers. A mixing/recirculation pumping system with suction from the mixing/recirculation tank will pump pH adjusted solution (pH ≥10.5) to the ISO container to dissolve the solid briquettes and recirculate back by compressed air to the mixing tank. The mixing tank was sized to contain one ISO container’s sodium cyanide (17.5 ton of 98% w/w) with solution diluted to concentration of 30%. The mixing/recirculation pump will then pump the solution from mixing tank to the cyanide holding tank. From there, cyanide feed pumps will distribute cyanide solution to the CIL, ILR and elution circuits via a ring main piping system. Spillages in the sodium cyanide area will be collected at the sodium cyanide area sump and will be delivered to the leach tanks area by using the sodium cyanide area sump pump. 14.3.3 Sodium hydroxide (NaOH) NaOH will be delivered to site in bulk form at 50 w/w % solution and held in a dedicated storage tank. The sodium hydroxide distribution pump will distribute caustic solution to the desorption circuit, ILR mixing tank and the cyanide mix/storage tanks. The distribution pump will be a fixed speed, centrifugal pump operating in a continuous loop at the bulk storage tank. Recirculating flowrate will be managed through a manual ball valve. 14.3.4 Hydrochloric acid (HCl) HCl solution will be delivered to site in bulk form and held in a dedicated storage tank. The hydrochloric acid dosing pump will be a variable speed peristaltic pump for dosing the acid wash column. 14.3.5 Flocculant There will be two flocculant systems for this project: one will be the grinding thickener flocculant system and the other counter current decantation (CCD) and tails thickener flocculant system. The two systems will be identical except for the different holding tank volume and dosing pumping systems. There will be one flocculant system for the grinding thickener and tails thickener. Flocculant will be delivered to site in bulk bags. A bulk bag will be lifted by a dedicated hoist into the flocculant hopper with bag breaker where a flocculant screw feeder will discharge the flocculant at a controlled rate into the educator bowl and where it will be mixed with fresh water as it enters the flocculant mixing tank to produce a 0.5% w/w solution. Flocculant solution will be transferred by a progressive cavity type transfer pump from the mixing tank to the storage tank. A variable speed dosing pump will be used to deliver flocculant to the grinding thickener through the flocculant inline mixer, to achieve a dosing rate of 54g/t of solids at 0.05% w/w. For the CCD and tails thickener flocculant system, two holding tanks were currently sized for the required volume and three dosing pumps were designed, each for one of the three thickeners. 14.3.6 Activated carbon The fresh activated carbon used for gold adsorption will consist of granular particles in the form of coconut shells of 1.68 x 3.35mm (6 x 12 mesh) in size. The carbon will be delivered in 500kg bulk bags containing less than 5% moisture and stored in the reagent building. Fresh activated carbon will be added into the carbon quench tank. 14.3.7 Anti-scalant Anti-scalant will be delivered in 1m3 totes in solution form. Anti-scalant will be delivered without dilution by the positive displacement-type dosing pump to the strip eluate tank at a dosage rate of 10-15ppm. 14.3.8 Oxygen Oxygen will be a critical reagent during the leaching reaction, and it will be added to maintain a dissolved level of at least 20 ppm in the leach tanks. The oxygen supply will be produced through a pressure swing adsorption plant (PSA). The PSA plant will consist of two systems in parallel, each including an air compressor, an air dryer and an air receiver, a PSA gas separator, and an oxygen receiver. The oxygen pressure in the receiver will be maintained at a minimum pressure (40psig) to allow delivery to the CIL tanks. This minimum pressure can be adjusted as required. AngloGold Ashanti Technical Report Summary for the Arthur Gold Project – current at 31 December 2025 __________________________________________________________________________________________ 26 March 2026 131 14.3.9 Gold room smelting fluxes Borax, silica sand, sodium nitrate, and soda ash will be delivered in 20-25kg bags in the form of crystals pellets. The breakdown in composition will be as follows: 60% borax, 30% silica, 5% sodium nitrate, and 5% sodium carbonate. The fluxes will be combined with the gold sludge before smelting. 15. Infrastructure The Merlin area currently has minimal infrastructure on-site, as it is an exploration area. Current access to the property is by dirt road running from US-95 just south of Beatty, NV, through Fluorspar Canyon to the site. The existing infrastructure consists of low-volume wells which supply water for exploration drilling, temporary exploration roads, and drilling staging areas/laydown yards. An emergency response trailer and trained medical personnel are stationed at the Merlin laydown yard. 15.1 Access roads and site roads There is an existing access road at Fluorspar Canyon that is used to access the exploration areas. This road will be improved to allow for more traffic and safe bulk deliveries to site. A second access road will be established to the site from US-95 through Crater Flat, on the eastern side of the Project. This second route is not currently being used south of the exploration area. A new road base will be established with culverts and drainage as needed. The proposed on-site roads will include the primary haulage roads and light vehicle and delivery roads that connect the crushing plant, mill, ADR and mine shop administration areas to the main Crater Flat access road that will run along the eastern side of the planned heap leach pad. 15.2 Water demand, supply, and management Water will be supplied from new wells installed in the Amargosa Desert basin or from dewatering wells to be installed around the open pit. AngloGold Ashanti owns rights to use 574 acre-feet per year in the Crater Flat water basin where the proposed mine will be located. The planned operations will consume approximately 2,200 acre-feet per year. Additional water will be supplied using water rights owned and purchased in the Amargosa Desert Basin. Approvals for this water usage will be needed from the Nevada Division of Water Resources. Fresh water for potable water, fire water, and process make-up, will be delivered through a 24-inch high-density polyethylene pipeline from off-site wells, or diverted from the dewatering system, and stored in an elevated storage tank adjacent to the proposed truck maintenance shop location. The potable water treatment facility was designed to process water at a capacity of 300L per person per day, with the tank size determined by workforce numbers. Potable water will be pumped from the storage tank and distributed via a high-density polyethylene piping network throughout the site. The potable water pipes will be installed underground with a minimum cover of 0.9m. Non-contact water will be routed around the site and conveyed downslope through engineered channels designed to handle the 1:100-year storm event with a 20% climate change factor. Contact water will be collected in lined ponds and recycled to the process plant for reuse, minimising discharge and supporting water conservation. Water from dewatering wells will be directed to a holding facility, where it will undergo testing and treatment as necessary before being injected into the aquifer using a re-infiltration system. A portion of the dewatering water will be diverted to be used as fresh water. Depending on the water quality, it will be used to generate potable water or will bypass the freshwater tank and go directly to the process area. For domestic waste disposal, planning includes designated areas for solid waste collection and transfer to a non-hazardous landfill or to licensed off-site facilities in compliance with regulatory requirements. Sewage management will use a packaged treatment plant sized for the workforce, with treated effluent discharged in accordance with environmental standards or reused where permissible. Other infrastructure for domestic waste and sewage disposal will include wastewater lines, sewage lines, sewage pumps, a septic tank and tile field. 15.3 Power Power will be provided by the local utility provider, Valley Electric Association, with coordination from California Independent System Operator and GridLiance. California Independent System Operator manages more than 50,000MW of generation capacity and supplies most of the power consumed in the Valley Electric Association AngloGold Ashanti Technical Report Summary for the Arthur Gold Project – current at 31 December 2025 __________________________________________________________________________________________ 26 March 2026 132 network. GridLiance owns and operates transmission lines and substations that provide connections to the Valley Electric Association. A system impact study for the Arthur Gold Project is in progress to define the system upgrades needed to supply the required power for operations. This will require a new, larger capacity transmission line, substation, and branch line to the proposed operations site. A preliminary electrical load analysis identified an average power demand of approximately 57MW, with an estimated connected load of 86MW. A single-line diagram was developed to determine the specifications and sizing requirements for the distribution equipment. A standby diesel generator facility comprising three units rated at 2MW each will be installed at the process plant substation. These generators will connect to the process plant side to supply emergency loads in the event of a power outage. Within the facility, overhead power lines will distribute 34.5kV from the main substation to the two switchyards. The ball mill and the two high-pressure grind roll crushers will receive power via dedicated 13.8kV overhead wood pole lines with aluminum conductor steel reinforced (ACSR) conductors. Distribution to the process plant, crusher corridors, heap corridor, and remote locations will also use 4.16kV overhead wood pole lines with ACSR conductors. At the mine site, a 35kV overhead looped line will provide redundancy and facilitate modifications for the power supply to shovels, dewatering pumps, and access trolleys throughout various phases of mining operations. All electrical equipment supplied will comply with North American standards. Power, control, and instrumentation wiring will generally employ steel wire armoured cables with copper conductors. 15.4 Hydrocarbon demand, supply and infrastructure Hydrocarbon demand, supply, and infrastructure requirement, were reviewed as part of the pre-feasibility study, and bulk diesel delivery by road tankers was selected as the best option. Fuel for surface vehicles will be delivered to the site and stored at the maintenance workshop (as required), with a weekly supply of fuel, lubricants, and other fluids. Storage will include suitable facilities at the maintenance area and is based on the fleet types and numbers, and these facilities shall feature three dispensing ports for haul trucks, light off-site trucks, and light gas vehicles, each with separate entrances and exits. These storage facilities will be double- walled, standalone fuel stations. Dispensing stations will be strategically located near haul truck parking bays and process plant service roads, with dedicated access routes to minimise congestion. Connectivity improvements include upgrades to Fluorspar Canyon Road and provisions for future pipeline tie-ins. Hydrocarbon systems will integrate with site utilities for pump operation and monitoring, while emergency access meets Nevada Department of Transportation hazardous material standards. 15.5 Built infrastructure The built infrastructure will include buildings and civil works. A summary of the site buildings planned is provided in Table 15.1. Table 15.1. Summary of proposed on-site buildings. Building Dimensions Features Truck Shop, Administration, and Warehouse 57,000 ft² 380 ft x 150 ft x 50 ft Pre-engineered structure, truck shop adjoining a two story area with administration offices on the second floor and warehousing on the first Blast Bulk Storage Facility 4,800 ft2 80 ft x 60 ft x 20 ft Lump sum turnkey package, final design under approval of blasting contractor Magazine Storage Facility 3,348 ft2 62 ft x 54 ft x 20 ft Lump sum turnkey package, will store Class B, and Class C explosives in compliance to all applicable regulations. Gold Room 6,370 ft2 91 ft x 71 ft x 71 ft Pre-engineered building. Houses all refinery and associated gas handling equipment.


 
AngloGold Ashanti Technical Report Summary for the Arthur Gold Project – current at 31 December 2025 __________________________________________________________________________________________ 26 March 2026 133 Building Dimensions Features Mill General Reagents Storage 3,000 ft2 72 ft x 42 ft x 36 ft Pre-engineered steel building. Stores reagents for the process area and has facilities for receipt and handling of bulk reagents. Process Maintenance, Workshop, Storage, Canteen Building 3,000 ft2 180 ft x 17 ft x 33 ft Pre-engineered steel building. Accommodates plant maintenance activities, workshop operations, storage areas, and a canteen for plant personnel. Guardhouse 200 ft2 20 ft x 10 ft x 10 ft Lump sum turnkey modular package, assembled before delivery to site. Support Laboratory 3,080 ft2 56 ft x 55 ft x 20 ft Lump sum turnkey modular package, pre-assembled offsite before shipment, re-assemble and final installation on site. Includes all laboratory equipment. Health Building 2,400 ft2 60 ft x 40 ft x 20 ft Pre-engineered building. Space for onsite medical support and parking for emergency vehicles. Tailing Filtration Building 28,750 ft2 250 ft x 115 ft x 66 ft Stick-built building. Metal roof to cover filters with short exterior walls. Will include overhead space needed for installation and operational clearance for maintenance cranes. Operational Control Rooms (Qty 3) 200 ft2 each 20 ft x 10 ft x 10 ft Lump sum turnkey modular package. Assembled before delivery to site. Located near the Grinding Area, the Heap Leach Primary Crusher, and the Tailings Filtration Building Electrical Controls and Motor Drive Buildings (E-Houses, Qty 6) To be determined Lump sum turnkey modular package. Assembled before delivery to site. Will contain the electrical control and motor drive equipment for different sections of the process and mining areas. The size of these buildings will be determined by the supplier depending on the number and size of motor drives that will be serviced from each E-House. 15.5.1 Transportation infrastructure The planned site access will be provided by two primary existing roads. These roads will be inspected and enhanced to accommodate heavy equipment during both the construction phase and subsequent operations. The improvements will include road widening, resurfacing, and, where necessary, the installation of culverts and bridge structures. 15.5.2 Mine access road, corridor and haul roads The proposed mine will be accessed via dedicated haul roads designed for the selected truck fleet, with one entrance and one exit on opposite sides of the pit to optimise traffic flow. Each haul road will be approximately 100ft wide, incorporating two lanes, with ditches and berms on both sides to prevent unauthorised access by light vehicles. A separate light vehicle road was included in the layout to eliminate crossings with heavy equipment, improving safety and operational efficiency. 15.5.3 Industrial waste disposal facilities Domestic and non-hazardous waste will be separated at source and transported to an approved landfill. Hazardous waste, including used oils, lubricants, and chemical residues, will be collected in designated containment areas and disposed of off-site. 15.5.4 Other infrastructure Other infrastructure requirements for the proposed site will include provisions for fire protection, security, and a range of support facilities. Fire protection infrastructure is planned to consist of fire water tanks, fire water lines, and hydrants distributed throughout the site, with coverage for key operational areas such as the process plant, AngloGold Ashanti Technical Report Summary for the Arthur Gold Project – current at 31 December 2025 __________________________________________________________________________________________ 26 March 2026 134 maintenance facilities, and accommodation zones. Security measures will be considered, including perimeter fencing, controlled access points, and a security building located near the site gate. Support facilities will be assessed to ensure adequate maintenance workshops, administrative offices, and storage areas are available for ongoing operations. Septic and waste management infrastructure will include sewage lines, septic tanks, and tile fields, as well as systems for solid waste disposal and hazardous waste containment. Stormwater management will be addressed through engineered diversion channels and lined ponds for contact water, as reflected in the site layout. These facilities will be designed to meet regulatory requirements and support safe, efficient, and environmentally responsible operations. 15.6 Transportation facilities A logistics study was conducted, and the route options were reviewed, including information on regulations, seasonal influences, and mitigation measures. 15.6.1 Ground freight road US-95 serves as the primary north-south corridor connecting Las Vegas with Beatty and Tonopah. This direct, well-maintained highway plays a crucial role in mining logistics and facilitates ground freight transportation to locations throughout North America. Additionally, US-95 provides access to the nearest port Los Angeles/Long Beach via I-710, I-10 east, I-15 north, and then US-95 north to Beatty. Limitations: Oversized loads require Nevada and California Departments of Transport permits. Police escorts, pilot cars, and specific travel hours may be necessary. Bridge and road weight restrictions should be verified on I-15 and US-95. Transporting cyanide, fuel, and explosives requires designated carriers and must comply with strict permitting rules. A route survey is required prior to planning oversize cargo transport. There are no regulations for gold ore, concentrate, or bullion. Armoured transport options are available by road, rail, and air (such as Brinks). The following regulations apply: • Federal hazardous materials regulation (49 CFR) all fuel, flammable liquids, oxidisers, toxic chemicals, cyanide, and many reagents must be classified, packaged, marked, with placards; drivers and transporters must meet training, shipping-paper, and placard requirements. This is the baseline for road hazardous material (HAZMAT) shipments. • Under Bureau of Alcohol, Tobacco and Firearms and federal explosives rules (27 CFR Part 555) and Nevada statute explosives rules, blasting agents, detonators, propellants, etc., are strictly controlled; manufacturing/possession/storage/transport require licensing, secure storage, recordkeeping and (often) pre-transport notifications and locked magazines; and Nevada has criminal and licensing statutes governing explosives. Transit of bulk explosives will trigger both federal (Bureau of Alcohol, Tobacco and Firearms /Department of Transport) and state requirements. • State oversize/overweight permits and routing (Nevada Department of Transportation). Any large mining equipment or heavy modular loads require Nevada over-dimensional/overweight permits; Nevada Department of Transportation issues permits online, sets allowable travel times, route restrictions, escort requirements, and weight/axle limits, and permits must be carried in the vehicle. Bridge/structure ratings and local county road rules can force route changes. • Cyanide and specific mining chemical guidance/industry codes sodium cyanide (commonly used in gold recovery) triggers special handling practices, emergency planning, and, if part of a Code-certified operation certified transport expectations (International Cyanide Management Code guidance) plus Environmental Protection Authority oversight of cyanide-related emissions/air toxics. Many mines require certified transporters for cyanide delivery. Seasonal Impacts: US-95 remains reliable and operational throughout the year. Additional precautions may be necessary for transporting cyanide, chemicals, fuel, and explosives from July to September due to extreme temperatures. Climate-controlled transportation should be considered for heat-sensitive cargo. Although some desert highways may experience closures during late summer, US-95 continues to operate without interruption. 15.6.2 Ground freight rail Beatty does not have direct rail service. The nearest major rail terminal is the Union Pacific Las Vegas Intermodal Terminal, located 117 miles from Beatty. Another option is the BNSF Barstow Intermodal Facility, a west coast cargo hub situated 204 miles to the south of Beatty and accessible via I-15N and CA-127N. AngloGold Ashanti Technical Report Summary for the Arthur Gold Project – current at 31 December 2025 __________________________________________________________________________________________ 26 March 2026 135 Limitations: Rail carriers facilitate the acceptance, routing, special placarding, and shipper certifications required for HAZMAT rail transportation. The following regulations apply. • Federal hazardous materials regulation (49 CFR) all fuel, flammable liquids, oxidisers, toxic chemicals, cyanide, and many reagents must be classified, packaged, marked, with placards; drivers and transporters must meet training, shipping-paper and placard requirements. This is the baseline for road HAZMAT shipments. • Under Bureau of Alcohol, Tobacco and Firearms and federal explosives rules (27 CFR Part 555) and Nevada statute explosives rules, blasting agents, detonators, propellants, etc., are strictly controlled: manufacturing/possession/storage/transport require licensing, secure storage, recordkeeping and (often) pre-transport notifications and locked magazines; Nevada has criminal and licensing statutes governing explosives. Transit of bulk explosives will trigger both federal (Bureau of Alcohol, Tobacco and Firearms and Department of Transport) and state requirements. • Rail carrier HAZMAT and carrier policies Class I railroads (e.g., Union Pacific) will accept hazardous shipments but require the shipper to certify correct classification/packaging and to follow Department of Transport placarding and rail-specific rules; some rail routes or terminals may refuse certain divisions or require special handling/security. Rail is still often the preferred method for bulk hazardous reagents or large modules, but carriers set operational constraints. • Cyanide and specific mining chemical guidance/industry codes sodium cyanide (commonly used in gold recovery) triggers special handling practices, emergency planning, and if part of a Code-certified operation certified transport expectations (International Cyanide Management Code guidance) plus Environmental Protection Authority oversight of cyanide-related emissions/air toxics. Many mines require certified transporters for cyanide delivery. Seasonal Impacts: Both railways are stable and not affected by weather conditions during winter or peak summer. 15.6.3 Sea freight The Port of Los Angeles/Long Beach, CA, is the largest container port in the United States and is located approximately 330 miles southwest of Beatty. This port accommodates container, break-bulk, and roll on-roll on vessels. It can be accessed via CA-127S, I-15S, and US-95. Cargo arriving at the port can be transported directly to the Project site via I-15 and US-95 by truck, or by rail from the port to the Union Pacific Las Vegas Intermodal Terminal, followed by trucking to the Project site. As an alternative, the Port of Oakland, located about 540 miles northwest of Beatty, may also be used as a west coast entry point. Limitations: No Federal or State regulations, only subject to ocean carrier restrictions at sea. During multimodal transport via ground or rail, subject to ground freight regulations for road/rail. Seasonal Impacts: Congestion at the port during the holiday season and peak shipping season, late summer/fall, is a potential risk. No risk due to weather. 15.6.4 Air freight Harry Reid International Airport (LAS) at Las Vegas, Nevada, located 120 miles southeast of Beatty, can be accessed via US-95. Harry Reid International Airport is a major hub for all air cargo and is a major hub for freight providers such as DHL, Fed-Ex and UPS. For small parcels and cargo couriers are a good option as they are based at LAS. The Local Beatty Airport (BTY) is mostly for public use and for small cargo and is not suitable for large freight. Limitations: No Federal or State regulations, only subject to air carrier restrictions in the air. During multimodal transport via ground or rail, subject to ground freight regulations for road/rail. Seasonal Impacts: Mostly reliable year-round. Minor impact/delays may be observed due to winter fog or desert dust storms. AngloGold Ashanti Technical Report Summary for the Arthur Gold Project – current at 31 December 2025 __________________________________________________________________________________________ 26 March 2026 136 15.7 Conclusion Freight will be delivered to site through a combination of air, sea, rail, and truck using the routes described above. Each method is relatively low risk and reliable. A summary of preferred routes by generalised cargo type is provided in Table 15.2. Table 15.2. Logistics study summary. Cargo type Preferred route/mode Risks Mitigation Small Cargo Air (LAS) + Truck (US-95) Heat-sensitive cargo in summer Climate-controlled trucking Containerised Cargo Sea (LA/Long Beach) + Rail (UP Las Vegas) + Truck (US-95) Port congestion, flash floods Buffer time, dual port options, alternate trucking Oversize Cargo Sea (LA/Long Beach, breakbulk/RO- RO) + Heavy haul truck via I-15 + US- 95 Permit delays, travel restrictions, heat/wind Night/early morning transport, DOT permits, escorts 16. Market studies 16.1 Market for mine products The principal commodities produced at the Project will be gold and silver, which are freely-traded commodities. No market studies were completed in support of this Report. Gold production can generally be sold to a number of financial institutions or refining houses and therefore no market studies are required. Gold is a freely-traded commodity with deep, liquid international markets, and therefore marketability of production from the Arthur Gold Project is not considered a risk. Once in operation, the doré bars will be refined and sold through established channels, with pricing determined transparently by the London Bullion Market Association and other recognised exchanges. No dedicated market study was commissioned, as such studies are not typically required for precious metals; however, the global gold market is supported by a broad range of buyers, including refiners, central banks, and investment institutions. Metallurgical testwork completed to date and the anticipated recovery methods leading to production of doré bars have not identified deleterious elements that would restrict saleability or result in penalties, and the risk of off specification product is not anticipated. Gold produced from the Project will be readily marketable, with no material restrictions anticipated. It is assumed that doré bullion will be produced at the ADR plant for commercial refining. It is assumed that the produced doré bullion will be shipped by road to a commercial refiner in the region, such as Asahi Refining in Salt Lake City, Utah. Selected refiners will be accredited on the Good Delivery List of the London Bullion Market Association. 16.2 Commodity price forecasts AngloGold Ashanti management determined the gold prices (in US dollars) used for estimating the Mineral Resource and Mineral Reserve. The Mineral Resource and Mineral Reserve are based on the use of economic assumptions that provide a reasonable basis for establishing the prospects of economic extraction for the Mineral Resource as well as the expected price for the Mineral Reserve to be economically viable. These economic assumptions are in US dollars and based on AngloGold Ashanti’s assessment of multiple factors, including long-range commodity price trends, consensus exchange rate and price forecasts, historical price averages (over a ten-year period), impacts on inflation and the resulting high-interest rate environment. AngloGold Ashanti selects appropriate prices for the Mineral Reserve mine plan that align to its strategy for each asset. The resultant plan is then tested for economic viability at the stated Mineral Reserve price. A gold price of $1,950/oz and a silver price of $19.50/oz was used for the Mineral Reserve estimates. A gold price of $2,150/oz and a silver price of $23.00/oz was used for the Merlin Mineral Resource estimates. A gold price of $1,750/oz and a silver price of $26.25/oz was used for the Silicon Mineral Resource estimates. Typically, the price is set higher than the Mineral Reserve price. The metal price assumptions for the Project’s metal products are considered suitable to support the financial analysis of the Mineral Reserve evaluation. to ensure that the Mineral Reserve estimate is a subset of the Mineral Resource estimate.


 
AngloGold Ashanti Technical Report Summary for the Arthur Gold Project – current at 31 December 2025 __________________________________________________________________________________________ 26 March 2026 137 16.3 Contracts No material contracts to develop or sell gold doré or silver by-product have been drafted or issued at this time, given the early stage of property assessment. 17. Environmental studies, permitting plans, negotiations, or agreements with local individuals or groups 17.1 Permitting AngloGold Ashanti currently has permits with the BLM and the NDEP’s Bureau of Mining Regulation and Reclamation for three authorised Exploration Plan of Operations to conduct exploration activities on the Silicon, Crown, and Mother Lode claim blocks, which include the Merlin deposit in southern Nye County, Nevada, USA. Those permits allow 543.83 acres of surface disturbance on public land. The permits for activities on the public lands are based on Environmental Assessments that contain environmental baseline data on biological species, cultural resources, climate, and local physical characteristics. AngloGold Ashanti has existing Reclamation Permits with the BLM and the NDEP that stipulate reclamation requirements and bonding costs for these projects. Under state and federal law, AngloGold Ashanti has reclamation/closure obligations (liability), and the liabilities must be secured by a bond procured by AngloGold Ashanti. The value of the bonds is prescribed by the State of Nevada according to a formula specified and accepted by the state, and the value is adjusted as the Project proceeds and expands its surface disturbances from exploration through production. The State of Nevada will retain the bonds associated with each of the Exploration Plan of Operations until all closure requirements are met by the Project. Closure planning associated with the Exploration Plan of Operations are conceptual at this Report’s current date. The required closure content at the time of initial application to mine will have sufficient technical detail to align with the bonding for closure. The key state element will be the cost forecasting of the closure planning. The cost estimates are determined using an industry-agency reclamation calculator that codifies and links most closure activities to standardised equipment and earthmoving costs. AngloGold Ashanti is in the process of consolidating these Exploration Plan of Operations into a single Exploration Plan of Operations to be known as the Arthur Gold Exploration Project. The proposed consolidation would authorise the same amount (543.93 acres) and type of surface disturbance (exploration activities) within a larger project area. At the Report date, the BLM and the NDEP were reviewing the consolidation proposal. At the Report current date, permitting for the Arthur Gold Mine Plan of Operations had not commenced, but is planned for 2026. On the federal level, any future mining activity would be subject to analysis under the National Environmental Policy Act. The National Environmental Policy Act is a United States environmental law that requires federal agencies to assess the environmental effects of their proposed actions before making decisions. The proposed operation is on public lands administered by the BLM, a federal agency. The National Environmental Policy Act is triggered when a "major federal action" is proposed on public lands that could significantly affect the human environment. The planned mine is therefore likely to require and an Environmental Impact Statement under the National Environmental Policy Act. State permitting is managed by agencies such as the NDEP which are responsible for protecting water, air, and land. The permitting processes will rely on robust, technically defensible studies. AngloGold Ashanti has been conducting baseline studies and evaluating potential mine impacts for the past several years and will continue into 2026. These studies are conducted in accordance with BLM and other federal and state-approved protocols. Several other state and county-level permits will be required to operate a mine in Nevada. AngloGold Ashanti is compiling a list of potential required permits, which will depend on a final mine plan. A list of key permits and authorisations anticipated for the Arthur Gold Project is listed in Table 17.1. AngloGold Ashanti Technical Report Summary for the Arthur Gold Project – current at 31 December 2025 __________________________________________________________________________________________ 26 March 2026 138 Table 17.1. Key permits and authorisations. Permit or Authorisation Description Regulatory Agency Anticipated Application Date Anticipated Grant Date Record of Decision A Record of Decision by the BLM is issued for a mine project to ensure that the Project is conducted in accordance with the law and the public interest. The Record of Decision constitutes the decision of the BLM and is based on the analyses contained in an Environmental Impact Statement. US Department of the Interior BLM Q1 2027 Q4 2028 Section 106 Compliance / Programmatic Agreement Section 106 compliance requires agencies to identify historic properties in the area where the Project could have effects. A programmatic agreement would occur between BLM, State Historic Preservation Office, and AngloGold Ashanti that defines how cultural resources and traditional cultural properties will be identified and managed. State Historical Preservation Office Q2 2027 Q4 2028 Section 7 Compliance / Take Permits Section 7 of the Endangered Species Act requires federal agencies to ensure their actions do not jeopardise endangered or threatened species or adversely modify their critical habitats. Take permits would be required if impacts will occur on any federally listed species, such as Desert Tortoise, Spring-Loving Centaury, and incidental eagle take. US Fish and Wildlife Service Q2 2027 Q4 2028 Right of Way Permits, requiring SF- 299 and Plans of Development Required for transmission lines and other linear structures placed on public lands administered by the BLM. US Department of the Interior Bureau of Land Management Q1 2027 Q4 2028 404 Permit/Waters of US Jurisdictional Determination Installation of any required structures within Federally jurisdictional drainages, and/or dredging or removal of waters and wetlands of the US would require a 404 permit. A jurisdictional determination is needed to locate which waters/wetlands have federal jurisdiction US Army Corps of Engineers Q3 2026 Q1 2027 Air Quality Construction and Operating Permits Sources of air emissions for the Project are regulated under the NDEP and require permits for construction and operations- related activities. NDEP Bureau of Air Pollution Control Q3 2027 Q4 2028 Reclamation Permit An approved permit for reclamation of surface disturbance due to mining and mineral processing, including financial assurances, is required. NDEP Bureau of Mining Regulation and Reclamation Q1 2027 Q4 2028 Water Pollution Control Permit These permits are required to prevent degradation of waters of the state from mining. The permits require facility design and containment requirements. NDEP Bureau of Mining Regulation and Reclamation Q3 2027 Q4 2028 General Stormwater Discharge Permit Required for the management of site stormwater NDEP Bureau of Water Pollution Control Q3 2027 Q4 2028 Industrial Artificial Pond Permit Required for ponds containing chemicals directly associated with the processing of ore. Nevada Department of Wildlife Q3 2027 Q4 2028 AngloGold Ashanti Technical Report Summary for the Arthur Gold Project – current at 31 December 2025 __________________________________________________________________________________________ 26 March 2026 139 Permit or Authorisation Description Regulatory Agency Anticipated Application Date Anticipated Grant Date Class III Solid Waste Landfill Required for disposal of wastes on site NDEP, Bureau of Sustainable Materials Management Q3 2027 Q4 2028 Preparation of permit applications will begin in 2026, prioritised according to lead time requirements. AngloGold Ashanti plans to begin submitting these long-lead applications by early 2027, thereby ensuring that all necessary authorisations will be in place to support Project timeline assumptions. 17.2 Environmental AngloGold Ashanti has developed characterisation plans that describe the ongoing and future collection of baseline environmental data that will be required to support any future mine permitting process. Current baseline characterisation activities include: geochemical characterisation of waste rock geochemistry and acid-base accounting, hydrologic characterisation and testing, water quality monitoring, seep, spring and wetland studies, cultural resource surveys, surveys for plants and wildlife including surveys for desert tortoise, eagles, and sensitive plants and animals; and baseline and impact assessments for air, traffic, socioeconomics, visual and dark skies, noise and vibration, and palaeontology. These studies address some of the baseline data whose collection is time critical to production of a Mine Plan of Operations that would serve as the basis to initiate the BLM’s National Environmental Policy Act process required to process a Plan of Operations. The BLM may identify additional baseline data and data collection timing could affect the proposed schedule for completion of the National Environmental Policy Act process. No known environmental issues have been identified that would materially affect the current mine design or scope of the needed environmental permits. The proposed operations area encompasses sensitive environmental areas that will require monitoring and mitigation, particularly in terms of compliance with the Endangered Species Act. Mitigation measures applicable to the exploration programme will be part of the exploration Decision Records or are agreed-upon best management practices. 17.2.1 Requirements and plans for waste tailings disposal, site monitoring and water management Four overburden storage area configurations were evaluated from the standpoint of environmental impact, permitting constraints, haulage efficiency, and long-term closure compatibility. The west and east overburden storage areas were selected because they best satisfy operational haulage requirements while avoiding sensitive environmental features such as regional drainages and US-95 highway adjacency concerns. The design supports concurrent reclamation using engineered 3:1 slopes and allows for future segregation of potentially acid generating waste if required. Tailing storage facilities were designed as a bottom-up filtered tailing stack with a small perimeter starter dam to provide toe stability and inspection access during operations. The facility will incorporate a composite liner system consisting of compacted native soil, a reinforced geosynthetic clay liner, an 80-mil double layer High- Density Polyethylene geomembrane, cushioning geotextile, and an underdrain layer. Surface water management was a key design driver and will include fully-lined perimeter contact water ditches, dedicated collection ponds, and non-contact diversion channels to segregate clean runoff from contact waters. Permanent contact water ponds were designed to store runoff from a 1:50-year, 24-hour storm event, consistent with environmental design flood criteria, with temporary systems provided to support phased TSF development. Collected contact water will be pumped back to the process plant for reuse, minimising freshwater demand. Full engineered design is being completed for this feature. Site monitoring, water management, and closure will be included in the mining application to the NDEP and the BLM. AngloGold Ashanti has completed the installation of multiple groundwater monitoring wells to evaluate local water levels and baseline water quality conditions. No significant issues are anticipated. 17.3 Socio-economic impacts AngloGold Ashanti North America maintains ongoing, collaborative working relationships with the Town of Beatty, Nye County officials, local community organisations, adjacent landowners, and relevant state and federal agencies, including the BLM and the NDEP. AngloGold Ashanti North America also conducts regular outreach AngloGold Ashanti Technical Report Summary for the Arthur Gold Project – current at 31 December 2025 __________________________________________________________________________________________ 26 March 2026 140 to local, state, and federal elected officials and agency representatives to provide project updates and support informed decision-making. AngloGold Ashanti North America conducts regular community meetings, stakeholder consultations, and public engagement activities in Beatty and surrounding communities. These efforts include public open houses, small- group stakeholder meetings, coordination with local advisory boards, direct engagement with neighbouring landowners, and structured forums such as the Beatty Community Working Group, which brings together local stakeholders and project representatives to discuss project updates, community priorities, and areas of mutual interest. To support transparent, constructive, and long-term relationships within the proposed operation’s area of influence, AngloGold Ashanti North America implements community investment and engagement initiatives aligned with its corporate social responsibility framework. These initiatives include support for local education and workforce development programs, collaboration with local service providers and emergency response agencies, participation in community events and forums, and efforts designed to enhance local economic participation and community well-being. AngloGold Ashanti North America also supports locally driven initiatives such as the Beatty Foundation, an independent, community-based organisation that administers funding for local projects and programs aligned with community priorities. These efforts are coordinated through the AngloGold Ashanti North America Community Relations Manager and are designed to promote open communication, encourage local workforce participation, and deliver tangible, community-aligned benefits throughout the life of the Project. The mine permitting process, including baseline studies and the Environmental Impact Statement, has scoped and initiated the analysis of the potential impacts of mine activities on various social factors, including population, economic conditions, demographics, recreation, social justice, and disparate economic impacts through a Socioeconomic Impact Assessment. This analysis is an integral part of the public and agency review process. Mitigation measures to address any identified impacts will be proposed in the Environmental Impact Statement and finalised in the Record of Decision. The social licence to operate is a critical foundation for the proposed mine and refers to the ongoing approval and acceptance by local communities and stakeholders. AngloGold Ashanti is committed to building and sustaining community and stakeholder support. The potential material socio-economic and cultural impacts are being identified and will be included and analysed in the Socioeconomic Impact Assessment. Mitigation measures will be proposed and approved in the Environmental Impact Statement and Record of Decision. 17.4 Mine closure and reclamation Mine closure planning, bonding, and permitting are managed by the State of Nevada through the NDEP. Any exploration, mining, milling, or other beneficiation process activity that proposes to create a disturbance of five acres or greater, or that will remove in excess of 33,113t of material in any calendar year, requires a reclamation permit to be issued by Bureau of Mining Regulation and Reclamation. The associated bonding required by the state will be calculated using a prescriptive bond estimating tool to be provided by the state. As discussed in Chapter 3.4, the value of the bond is prescribed by the State of Nevada, according to a formula specified and accepted by the state to determine the value of the bond. The State of Nevada will retain the bond until all closure requirements are met by AngloGold Ashanti. A closure plan will be prepared based on the pre-feasibility study design and submitted to the NDEP (and the BLM) as part of the Water Pollution Control Permit with the NDEP. The closure plan will provide provisional methodologies and details on the closure and reclamation tasks for the permitting components (e.g., heap pads, mill dismantling/demolition, overburden storage area). Closure costs will be calculated using the same prescriptive bond estimating tool provided by state, while taking into consideration self-performed pit backfilling. Closure planning for Merlin is conceptual at the Report date. The required closure content at the time of the initial application to mine must have sufficient technical detail to align with the bonding for closure. The key state element will be the cost forecasting of the closure planning. The cost estimates will be determined using an industry-agency reclamation calculator that codifies and links most closure activities to standardised equipment and earthmoving costs.


 
AngloGold Ashanti Technical Report Summary for the Arthur Gold Project – current at 31 December 2025 __________________________________________________________________________________________ 26 March 2026 141 17.4.1 Closure and reclamation planning Closure and reclamation planning for the Arthur Gold Project establishes the foundation for achieving long-term physical, geochemical, and environmental stability while meeting all federal and Nevada regulatory requirements. The pre-feasibility study-level strategy aligns with NAC 519A (reclamation and landform stability), NAC 445A (water quality protection), BLM 43 CFR 3809 (surface management), the Clean Water Act, and AngloGold Ashanti’s global closure and rehabilitation standards. The overarching objective is to transition the site to a safe, stable, and self-sustaining post-mining landscape without the need for perpetual active management. Key objectives include ensuring long-term geotechnical stability of the Merlin open pit, waste rock landforms, and the filtered TSF; preventing acid rock drainage and deleterious metal leaching; maintaining compliance with water-quality standards at permitted compliance points; reducing erosion through properly designed landforms and drainage systems; and establishing vegetation using native species appropriate for the local arid climate. The preferred closure concept includes partial backfilling of approximately half of the pit volume using material from the east and west overburden storage areas. This approach reduces long-term public-safety risks associated with highwalls and improves landform stability. Backfilled areas will be re-shaped to stable slopes (≈3H:1V), promote proper drainage, and support revegetation through placement of suitable growth media. Construction of safety berms or equivalent perimeter controls will ensure long-term public safety. Waste rock landforms will be regraded and capped with a diverting flow-control layer designed to minimise infiltration and reduce geochemical risks. Slopes will be flattened where necessary to support erosion control and vegetation establishment. Roughly half of the stored overburden will be rehandled to assist with pit backfilling. Closure of the filtered TSF involves placement of a cover system to reduce infiltration and protect long-term water quality. The facility will be regraded for stable drainage, and long-term monitoring will confirm settlement, cover integrity, and water-quality performance at down-gradient compliance wells. The closure water-management system will collect contact water from the overburden storage areas and filtered TSF and direct it either to the closure water-treatment facility or to an approved discharge point. Engineered drainage channels will be designed to withstand major storm events, ensuring long-term hydrological stability and protection of surrounding waters. Maintaining separation of contact and non-contact water remains a central requirement under Nevada’s Water Pollution Control Permit framework. Closure landforms will be covered with growth media sourced from designated borrow areas. Native seed mixes appropriate for the Mojave-Great Basin transition will be used to stabilise slopes, support wildlife habitat, and re-establish a functional ecosystem. Further seed-mix refinement, soil-amendment requirements, and revegetation methods will be defined during the feasibility study. Remaining process facilities, pipelines, powerlines, tanks, and ancillary structures will be de-energised, demolished, or removed according applicable United States Federal and Nevada state requirements. Dewatering and monitoring wells will be plugged and abandoned per Nevada State requirements (NAC 534). Inert demolition material may be placed in the onsite landfill, where allowed, by permit. Long-term post-closure monitoring will assess water quality, vegetation establishment, and landform performance. Financial assurance will be calculated using Nevada’s Standardised Reclamation Cost Estimator, ensuring all reclamation liabilities are fully bonded. More detailed geotechnical modelling, acid rock drainage and metal leaching assessments, cover design testing, and climate-resilience evaluations will be completed during the feasibility study. Closure costs, excluding backfill, were estimated using the Standardised Reclamation Cost Estimator (SRCE) version 2.0. Backfill costs were estimated using a detailed cost model for labour, consumables, maintenance, and management of a mining fleet to rehandle waste back to the Merlin pit. It was assumed that these activities will be owner managed over a 20 year period. The total cost for backfilling the pit was estimated as $492M. Using the SRCE tool, all other closure activity was estimated to cost $160M. During the 20 years of closure activities, general and administrative costs were estimated to be $91M. 17.5 Qualified Person's opinion on adequacy of current plans The baseline and permitting process with state and federal agencies is designed to adequately characterise the current conditions and the affected environment (including social and cultural resources and/or entities). All AngloGold Ashanti Technical Report Summary for the Arthur Gold Project – current at 31 December 2025 __________________________________________________________________________________________ 26 March 2026 142 stakeholders will have the opportunity to comment on the proposed operations via public scoping and later in the process via presentations, meetings, and written and electronic submissions during comment periods. Project environmental compliance will be established by state and federal regulations. The submitted baselines, impact assessments, and permit applications assess the Project's compliance with applicable regulations to determine adequacy. Baseline gaps or inadequate environmental protection controls by AngloGold Ashanti will require revision and resubmission of permit applications. Controls will be designed for effective mitigation along with practicable implementation considerations. 17.6 Commitments to ensure local procurement and hiring AngloGold Ashanti North America is committed to maximising local and regional economic participation through the procurement of goods and services in support of the Project. AngloGold Ashanti prioritises the use of qualified local and Nevada-based businesses, including Tribal-owned enterprises, where available, and seeks to build long-term, mutually beneficial relationships with suppliers operating within Nye County, surrounding communities, and neighbouring Tribal Nations. AngloGold Ashanti North America maintains ongoing coordination with local business organisations, Tribal representatives, industry associations, and workforce and economic development partners to communicate procurement opportunities and support vendor readiness. These efforts include participation in regional supplier outreach events, coordination with organisations such as the Nevada Mining Association and regional economic development authorities, and direct engagement with local and Tribal businesses to provide information on project needs, contracting processes, and vendor qualification requirements. AngloGold Ashanti North America maintains a supplier registration process that enables local and Tribal businesses to register their interest and receive information about the Project, anticipated scopes of work, and potential contracting opportunities. AngloGold Ashanti North America’s procurement approach is aligned with its corporate sustainability framework and is designed to promote local workforce participation, strengthen the regional and Tribal supply chain, and contribute to long-term economic resilience in the Beatty District and Nye County. These efforts are coordinated across procurement, sustainability, Tribal engagement, and community relations functions to ensure consistent communication, transparency, and alignment with community and Tribal stakeholder priorities throughout the proposed LOM and during closure. No commitments had been made regarding local procurement or hiring at the Report date. However, consistent with its principles and values, AngloGold Ashanti intends to continue building on existing stakeholder engagement efforts to establish constructive, beneficial, and sustainable relationships with stakeholders at the local, regional, and state levels. These relationships, while differing by stakeholder group (e.g., local communities, non-governmental organisations, and government agencies), are expected to support the development of social licence to operate while contributing to long-term community sustainability. A Preliminary Project Stakeholder Engagement Plan has been developed, and baseline studies were conducted and integrated during the pre-feasibility study phase to inform ongoing engagement, LOM planning, and risk management. The greater southern Nevada region (including Beatty, Amargosa Valley, Pahrump, and Tonopah) is expected to have sufficient human capital, service providers, and supporting industries to support potential Project operations, subject to certain limitations. While an available labour pool is anticipated when considering the broader regional workforce, it is assumed that a significant portion of the workforce would require mining-specific training. Accordingly, workforce training and development requirements were incorporated into planning assumptions. Residential housing capacity in Beatty is currently limited and is not sufficient to support a substantial increase in the workforce. Housing is more readily available in Pahrump and Tonopah. As part of the pre-feasibility study process, AngloGold Ashanti engaged with Beatty town leadership to discuss community preferences related to potential workforce growth and whether employees would be based locally or in surrounding communities. Beatty currently has limited access to retail services, including the absence of a grocery store, constrained availability of dry goods, limited dining options, and limited temporary accommodation. These factors are recognised as considerations for workforce liveability and community capacity planning. Any potential changes to local services or business activity would be dependent on future project development, market conditions, and community interest, and would be evaluated in alignment with AngloGold Ashanti's operational planning, policies, standards, and engagement processes. AngloGold Ashanti Technical Report Summary for the Arthur Gold Project – current at 31 December 2025 __________________________________________________________________________________________ 26 March 2026 143 18. Capital and operating costs 18.1 Introduction The financial analysis includes the following financial cost estimates provided by the AngloGold Ashanti technical teams. • Capital cost estimates are based on vendor estimates, budgetary quotes, and in house estimates based on previous projects the Engineering, Procurement, and Construction Management (EPCM) has managed. • Operating cost estimates are calculated based on a zero-cost basis and updated to reflect 2026 dollars. • General and administrative cost estimates are based upon the North Bullfrog operational readiness exercise escalated to Arthur Gold Project scale in October 2025 and updated to reflect 2026 dollars. • All-in-sustaining costs (AISC) include operating costs, closure costs, sustaining capital, but do not include capital costs. • All-in costs (AIC) include operating costs and capital costs. • For both AISC and AIC the World Gold Council standard on non-GAAP metrics is followed. • Mine closure liability estimate is based on costs associated with mining and processing of the Mineral Reserve estimate. • Capital and operating costs have been estimated to a ±25% level of accuracy. 18.2 Capital costs The key costs excluded from the positive cashflow cost model are: exploration costs through the end of 2025; and all sunk costs incurred through the end of 2025, are excluded. The total LOM and pre-production capital cost for the Project, respectively, are $4,424M and $3,628M. Table 18.1 summarises the capital cost estimate included in the financial model. Table 18.1. Capital costs included in the financial model for the Merlin open pit. Item Value $M (Real) Pre-production Mining 819 Mining Capital 690 Process 1,358 Mineral Resource Drilling 61 Environmental Studies 6 Water Rights 23 Land Acquisitions 8 Permitting 29 Indirect Costs 168 Engineering, Procurement, and Construction Management (EPCM) 99 Hydro/Geo Tech 26 Engineering Studies 12 Owners Capital 219 Commissioning / Ramp-up 109 Total Construction Capital 3,628 Closure Costs 675 Total Construction Capital + Closure 4,303 Sustaining Capital 121 Total 4,424 AngloGold Ashanti Technical Report Summary for the Arthur Gold Project – current at 31 December 2025 __________________________________________________________________________________________ 26 March 2026 144 18.3 Operating costs Operating cost estimates were prepared by AngloGold Ashanti North America for mining and by third party consultants Atkins Realis, in collaboration with AngloGold Ashanti North America, for processing. Mining costs assume an owner-operated fleet and were developed using first-principles cost estimation methodologies supplemented by vendor quotations. Labour costs were developed from the anticipated staffing plan. Labour rates were applied with consideration for burden and overtime. The specific rates were based on AngloGold Ashanti North America guidance, the 2022 Nevada Mining Association Compensation and Benefits survey, and were escalated for inflation. Total operating costs for the Arthur Gold Project are presented in Table 18.2. Table 18.2 does not include operating costs that are capitalised before commercial production; operational costs that occur prior to commercial production are capitalised. Table 18.2. Operating costs used for the Merlin open pit. Operating Costs LOM Total ($M) Unit Costs ($/t) Mining ($/t mined) 2,062 1.98 Processing – Mill ($/t processed) 690 15.15 Processing - Crushed Heap Leach ($/t processed) 277 6.59 General and Administrative ($/t processed) 274 3.13 Total Operating Costs ($/t processed) 3,329 37.98 The unit operating costs are based on 1,043Mt, of which 88Mt is ore and 956Mt is waste over an estimated LOM of 12 years (including mining and processing). The mining costs include drilling, blasting, loading, hauling, support equipment, general mine and maintenance, supervision, and technical. Processing costs include mill and heap leach processing, as well as transportation and refining costs. G&A costs include all administration and overhead costs. The unit cost for ore processed is based on the total tonnes, including the mill tails processing. Arthur Gold Project has developed operating and capital estimates with a ± 25% accuracy in accordance with pre-feasibility level requirements of Subpart 229.1302. Contingency for operating cost has not been applied based on reasonableness to comparable Nevada Operations and Arthur Gold Projects internal process in estimating operating costs. Capital Contingency was developed for non-civil work at 18%, civil work, i.e. mining waste removal was developed based on a $/t mined basis with a portion capitalised based on International Financial Reporting Standards. The overall capital contingency applied is 12%. 18.4 Risk assessment The study risk assessment focuses on the technical and project-delivery factors that may influence cost accuracy, schedule reliability, engineering definition, and operational performance. This evaluation concentrates on the elements that directly affect the confidence level of the capital and operating cost estimates prepared for the study. The capital cost estimate was developed as a Class 4 study using deterministic methods supported by vendor quotations, benchmark data, and first-principles calculations. Contingency was assigned based on design maturity, data quality, and the relative confidence of each contributing discipline. Operating costs were developed using first-principles approaches, complemented by vendor data, testwork, and benchmarking against comparable operations. The resulting accuracy is consistent with pre-feasibility-level expectations. Several technical areas contribute to remaining cost uncertainty. Metallurgical testwork, while sufficient for the current phase of study purposes, requires further refinement to better quantify recovery performance, variability among material types, and processing characteristics. These aspects could influence both operating consumables and equipment sizing during the next study phase. In mining and geotechnical engineering, updates to slope design have already demonstrated material impacts on stripping volumes and pre-production costs, emphasizing the need for additional geotechnical drilling and analysis during the Feasibility Study. Engineering definition also varies among equipment packages, with some costing derived from historical data where vendor quotations were not available, though such uncertainties are addressed through the applied contingency structure.


 
AngloGold Ashanti Technical Report Summary for the Arthur Gold Project – current at 31 December 2025 __________________________________________________________________________________________ 26 March 2026 145 Project schedule remains a notable source of risk, particularly with respect to federal permitting timelines, which lie on the project’s critical path. Additional schedule and cost uncertainty arises from the reliance on a predominantly non-local construction workforce which can influence contractor pricing, labor turnover, and site productivity. Risk management for the study is supported by a formal risk register that tracks identified risks, existing controls, and required follow-up actions. While the capital estimate does not include explicit risk-mitigation cost allowances, sensitivities and scenario analyses demonstrate that the project remains robust under a range of adverse but reasonable cost, operating, and schedule conditions. Overall, the risk assessment confirms that the cost estimation methods, associated contingencies, and current level of engineering definition are appropriate for the current study stage and provide a sound basis for advancing to the next study phase. 19. Economic analysis 19.1 Key assumptions, parameters and methods The financial model that supports the Merlin Mineral Reserve estimate is a standalone model that calculates annual cash flows based on scheduled ore production, assumed processing recoveries, metal sale prices, projected operating and capital costs and estimated taxes. The prices used are in US dollars and therefore do not have an exchange rate applied. The financial analysis includes the following inputs: • 2026 Business planning assumptions used. • Mining method evaluated is conventional truck and shovel open pit. • The mining cost, processing cost, and other site costs are calculated on a zero-cost basis. Costs are based on direct quotes from vendors, public labour statistics, AngloGold Ashanti North America internal data, and salaried data published online. The economic analysis was performed in support of the estimation of the Mineral Reserve; this indicated a positive cash flow using the assumptions detailed in this Report. The economic analysis is based on the metallurgical recovery predictions in Chapter 10, the Mineral Reserve estimates in Chapter 12, the mine plan discussed in Chapter 13, the commodity price forecasts in Chapter 16, closure cost estimates in Chapter 17, and the capital and operating costs outlined in Chapter 18. For the financial analysis, a 2.5% royalty was applied. This reflects the regional royalty that will be applicable. 19.2 Taxes The Project is subject to federal income tax. Nevada does not impose a state-level corporate income tax; however, mining operations are subject to the Nevada Net Proceeds of Minerals tax. Additional applicable taxes and fees include property taxes, sales and use taxes and payroll taxes. Currently AngloGold Ashanti (USA) Inc. (the tax paying US entity of AngloGold Ashanti, as opposed to the operating entity of AngloGold Ashanti North America) is not paying income taxes as no income is being generated by the Project. AngloGold Ashanti USA has been generating net operating losses for several years, with in excess of $800M of net operating losses carry forwards. Net operating losses generated prior to 2018 can offset 100% of taxable income and may be carried forward 20 years. AngloGold Ashanti USA generated more than 700M of net operating losses in 2014 and 2015 related to the Cripple Creek operation and these net operating losses expire in 2034 and 2035. Net operating losses generated after 2017 may offset 80% of taxable income and are carried forward indefinitely. Nevada net proceeds of minerals tax is a tax based on the actual production of minerals from operating mines in Nevada. The project will be subject to a 5% Nevada net proceeds of minerals tax rate. Sales and use tax are imposed on the sale, transfer, barter, licensing, lease, rental, use or other consumption of tangible personal property in Nevada. The sales tax for Nye County, Nevada is 7.60%, with 4.0% paid to the state of Nevada and 3.6% paid to Nye County. This tax is owed regardless of the location of the seller and is based on the location of the mining project. Services are generally not subject to sales and use tax in Nevada when they are separately stated on invoices. AngloGold Ashanti Technical Report Summary for the Arthur Gold Project – current at 31 December 2025 __________________________________________________________________________________________ 26 March 2026 146 19.3 Results of economic analysis The cash flow forecast is presented in Table 19.1 and Table 19.2. Table 19.1. Cash flow forecast for Merlin open pit. Units Merlin Reserve First gold Year 2033 Gold from Project Area Koz 4,526 Total Tonnes Treated Mt 88 Average Annual Gold Production Koz 500 Average Ore Grade g/t 1.75 Life of Mine (Mining + Processing) Years 12 Cost Base (Real) Cash Costs $/oz 778 All-in-Sustaining Cost (AISC) $/oz 954 All-in-Cost (AIC) $/oz 1,755 Investment Evaluation Gold Price Assumption (real) $/oz 1,950 Initial Project Capital Investment (Real) $M 3,628 Sustaining Capital (real) $M 121 NPV (@ 5%) $M 41 AngloGold Ashanti Technical Report Summary for the Arthur Gold Project – current at 31 December 2025 __________________________________________________________________________________________ 26 March 2026 147 Table 19.2. Cash flow forecast for Merlin open pit over the LOM. Item Unit Total LOM 2026 2027 2028 2029 2030 2031 2032 2033 2034 2035 2036 2037 2038 2039 2040 2041 2042 2043 2044 2045 2046 2047 Gold Price $/oz 1,950.0 1,950.0 1,950.0 1,950.0 1,950.0 1,950.0 1,950.0 1,950.0 1,950.0 Silver Price $/oz 19.5 19.5 19.5 19.5 19.5 19.5 19.5 19.5 19.5 Production Gold Oz ('000) 4,526 - - - - - - - 929.0 750.8 605.1 403.5 410.5 841.6 541.2 43.2 1.0 - - - - - - Silver Oz ('000) 1,466 - - - - - - - 243.0 299.9 229.5 152.3 144.5 194.2 186.1 15.5 0.6 - - - - - - Revenue Gold Revenue USD M 8,826 - - - - - - - 1,812 1,464 1,180 787 800 1,641 1,055 84 2 - - - - - - Royalties USD M 221 - - - - - - - 45 37 30 20 20 41 26 2 0 - - - - - - Operating Costs Mining Cost USD M 2,062 - - - - - - - 341 355 307 331 307 302 111 7 0 - - - - - - Processing Cost USD M 967 - - - - - - - 50 140 147 147 147 147 149 38 1 - - - - - - General & Admin USD M 274 - - - - - - - 21 28 28 27 27 22 22 6 0 0 0 0 0 0 0 Other Operating Costs USD M 26 - - - - - - - - - 6 7 6 6 2 - - - - - - - - By product (+/-) USD M (29) - - - - - - - (5) (6) (4) (3) (3) (4) (4) (0) (0) - - - - - - Total Operating Cost USD M 3,521 - - - - - - - 453 554 513 528 505 514 307 52 2 0 0 0 0 0 0 Sustaining Capital USD M 121 - - - - - - - - 1 12 14 54 37 3 1 - - - - - - - Closure Costs USD M 675 - - - - - - - - - - - - - - 2 2 2 2 2 2 2 2 Non-GAAP Metrics & Cash Flow Total AISC USD M 4,318 - - - - - - - 453 555 524 542 558 551 310 55 4 2 2 2 2 2 2 Total AISC USD/oz 954 - - - - - - - 487 739 866 1,343 1,360 655 573 1,276 3,637 - - - - - - Other Capital (non Sust.) USD M 3,628 116 117 66 425 664 1,029 919 292 - - - - - - - - - - - - - - Total AIC USD M 7,945 116 117 66 425 664 1,029 919 745 555 524 542 558 551 310 55 4 2 2 2 2 2 2 Total AIC USD/oz 1,755 - - - - - - - 802 739 866 1,343 1,360 655 573 1,276 3,637 - - - - - - Tax USD M 383 - (0) (0) 4 6 7 10 64 56 30 11 11 96 87 1 0 - - - - - - Free Cash Flow USD M 497 (116) (117) (65) (429) (670) (1,036) (929) 1,003 853 626 233 231 994 659 28 (2) (2) (2) (2) (2) (2) (2) NPV0 USD M 497 NPV5 USD M 41 AngloGold Ashanti Technical Report Summary for the Arthur Gold Project – current at 31 December 2025 __________________________________________________________________________________________ 26 March 2026 148 Table 19.2. Cash flow forecast for Merlin open pit over the LOM (continued). Item Unit Total LOM 2048 2049 2050 2051 2052 2053 2054 2055 2056 2057 2058 2059 2060 2061 2062 2063 2064 2065 2066 2067 2068 2069 2070 Gold Price $/oz Silver Price $/oz Production Gold Oz ('000) 4,526 - - - - - - - - - - - - - - - - - - - - - - - Silver Oz ('000) 1,466 - - - - - - - - - - - - - - - - - - - - - - - Revenue Gold Revenue USD M 8,826 - - - - - - - - - - - - - - - - - - - - - - - Royalties USD M 221 - - - - - - - - - - - - - - - - - - - - - - - Operating Costs Mining Cost USD M 2,062 - - - - - - - - - - - - - - - - - - - - - - - Processing Cost USD M 967 - - - - - - - - - - - - - - - - - - - - - - - General & Admin USD M 274 0 0 0 0 0 4 4 4 3 3 3 3 3 3 3 5 7 7 7 7 8 7 9 Other Operating Costs USD M 26 - - - - - - - - - - - - - - - - - - - - - - - By product (+/-) USD M (29) - - - - - - - - - - - - - - - - - - - - - - - Total Operating Cost USD M 3,521 0 0 0 0 0 4 4 4 3 3 3 3 3 3 3 5 7 7 7 7 8 7 9 Sustaining Capital USD M 121 - - - - - - - - - - - - - - - - - - - - - - - Closure Costs USD M 675 2 2 2 2 2 26 26 26 25 25 24 24 24 24 23 37 47 53 47 47 54 54 67 Non-GAAP Metrics & Cash Flow Total AISC USD M 4,318 2 2 2 2 2 29 30 29 28 28 28 27 28 27 26 42 54 60 53 53 61 61 76 Total AISC USD/oz 954 - - - - - - - - - - - - - - - - - - - - - - - Other Capital (non Sust.) USD M 3,628 - - - - - - - - - - - - - - - - - - - - - - - Total AIC USD M 7,945 2 2 2 2 2 29 30 29 28 28 28 27 28 27 26 42 54 60 53 53 61 61 76 Total AIC USD/oz 1,755 - - - - - - - - - - - - - - - - - - - - - - - Tax USD M 383 - - - - - - - - - - - - - - - - - - - - - - - Free Cash Flow USD M 497 (2) (2) (2) (2) (2) (29) (30) (29) (28) (28) (28) (27) (28) (27) (26) (42) (54) (60) (53) (53) (61) (61) (76) NPV0 USD M 497 NPV5 USD M 41


 
AngloGold Ashanti Technical Report Summary for the Arthur Gold Project – current at 31 December 2025 __________________________________________________________________________________________ 26 March 2026 149 19.4 Sensitivity analysis A sensitivity analysis was performed on the Project economics. The results are presented in Figure 19.1. Figure 19.1. NPV Sensitivity analysis for the Merlin open pit. Note: Figure prepared by AngloGold Ashanti, 2025. This chart illustrates how the Project’s cash flow responds to a ±25% level of accuracy changes in four key value drivers: gold price, grade processed, operating costs, and capital costs. Each line shows the directional impact of increasing or decreasing that variable relative to the base case. Gold price and grade have positive slopes, indicating that higher values improve cash flow, while operating costs and capital have negative slopes, showing that increases in these inputs reduce cash flow. Overall, the graph highlights which variables the Project is most sensitive to and how changes in each factor affect economic performance. The Project is most sensitive to grade and gold price, as a 25% decrease results in a comparable decrease to the NPV. The Project is least sensitive to operating costs. The sensitivity tables (Tables 19.3 to 19.8) quantify the NPV response to variations in key parameters, including commodity price, capital expenditures, gold grade, mining operating costs, and processing operating costs. Table 19.3. NPV Cash flow sensitivity to the gold price, grade processed, operating costs, capital. Parameter 1 -25% Base Case +25% Gold Price (1,147) 41 1,119 Grade Processed (1,151) 41 1,123 Operating Costs 428 41 (394) Capital 634 41 (616) 1 NPV5 Sensitivities estimated based on current mine plan for the Mineral Reserve Case. AngloGold Ashanti Technical Report Summary for the Arthur Gold Project – current at 31 December 2025 __________________________________________________________________________________________ 26 March 2026 150 Table 19.4. NPV Cash flow sensitivity to the gold price. Gold Price ($) Increment NPV5 1,463 Base -25% (1,147) 1,560 Base -20% (903) 1,658 Base -15% (657) 1,755 Base -10% (413) 1,853 Base -5% (180) 1,950 Base 41 2,048 Base +5% 264 2,145 Base +10% 438 2,243 Base +15% 666 2,340 Base +20% 894 2,438 Base +25% 1,119 2,715 Custom 1,746 3,500 Custom 3,437 Table 19.5. Cash flow sensitivity to the Project capital costs. Capital Real ($M) Increment NPV5 4,535 Base +25% (616) 4,353 Base +20% (477) 4,172 Base +15% (343) 3,990 Base +10% (215) 3,809 Base +5% (87) 3,628 Base 41 3,446 Base -5% 169 3,265 Base -10% 297 3,083 Base -15% 426 2,902 Base -20% 504 2,721 Base -25% 634 Table 19.6. Cash flow sensitivity to the gold grade. Grade (g/t) Increment NPV5 1.31 Base -25% (1,151) 1.40 Base -20% (906) 1.49 Base -15% (660) 1.58 Base -10% (414) 1.67 Base -5% (181) 1.75 Base 41 1.84 Base +5% 264 1.93 Base +10% 439 2.02 Base +15% 669 2.10 Base +20% 897 2.19 Base +25% 1,123 AngloGold Ashanti Technical Report Summary for the Arthur Gold Project – current at 31 December 2025 __________________________________________________________________________________________ 26 March 2026 151 Table 19.7. Cash flow sensitivity to the mine operating expenditure. Mining operating expenditure Percent NPV5 2.44 Base +25% (224) 2.34 Base +20% (171) 2.24 Base +15% (118) 2.14 Base +10% (65) 2.05 Base +5% (12) 1.95 Base 41 1.85 Base -5% 94 1.75 Base -10% 148 1.66 Base -15% 161 1.56 Base -20% 214 1.46 Base -25% 267 Table 19.8. Cash flow sensitivity to the processing operating expenditure. Processing operating expenditure Percent NPV5 13.80 Base +25% (114) 13.24 Base +20% (83) 12.69 Base +15% (52) 12.14 Base +10% (21) 11.59 Base +5% 10 11.04 Base 41 10.48 Base -5% 72 9.93 Base -10% 104 9.38 Base -15% 135 8.83 Base -20% 167 8.28 Base -25% 161 20. Adjacent properties This Chapter is not relevant to this Report. 21. Other relevant data and information This Chapter is not relevant to this Report. 22. Interpretation and conclusions 22.1 Introduction The Arthur Gold Project is a development-stage property that includes the Silicon and Merlin gold deposits. This Report was prepared for AngloGold Ashanti based on the pre-feasibility study, which is based on an open pit at the Merlin deposit. The Arthur Gold Project Mineral Reserve estimate for the Merlin deposit and the Mineral Resource estimates for the Merlin and Silicon deposits, current at 31 December 2025, were compiled per the AngloGold Ashanti Mineral Resource and Mineral Reserve Reporting Group Standard and meet Regulation S-K 1300 definitions. The Qualified Persons believe that the geological interpretation and modelling of exploration data, economic analysis, mine design and sequencing, process scheduling, and operating and capital cost estimation have been developed using accepted industry practices. The Project is subject to a range of technical, environmental, social, economic, political and other risks typical of projects at this stage. No material has yet been mined or processed, and therefore no production reconciliation AngloGold Ashanti Technical Report Summary for the Arthur Gold Project – current at 31 December 2025 __________________________________________________________________________________________ 26 March 2026 152 has been completed. Ongoing drilling, metallurgical testing, mine planning and permitting activities will continue to refine the Project definition and reduce uncertainty over time. 22.2 Geology and Mineralisation The Merlin and Silicon deposits lie within the southern extension of the Walker Lane mineral belt and overlies the far-western margins of the southwestern Nevada volcanic field. The southwestern Nevada volcanic field comprises an overlapping complex of calderas (Timber Mountain Caldera Complex) about 30km to the east of Silicon, that developed between 11 and 15Ma. The geology comprises a stack of rhyolitic ignimbrite sheets, cut by complex normal faulting. Merlin-Silicon is interpreted as a low sulphidation epithermal gold system. Mineralisation occurred during multiple hydrothermal events is interpreted to have occurred between ca. 13 and 11.6Ma associated with large scale ignimbrite events. Mineralisation at Merlin exhibits strong stratigraphic and structural controls. High-grade gold is associated with epithermal veins and vein stockworks (e.g. Lynnda Vein) and occasionally as gold grains on manganese oxide coated fractures. Silicon mineralisation is defined by steeply dipping high grade epithermal veins and hydrothermal breccias, in a dominantly south-southeast (135°) striking, west dipping (~70°) fault corridor (i.e., Silicon-Tramway fault zone), with additional stratigraphically controlled disseminated mineralisation along the Rhyolite flow of the Picture Rock Group. A significant portion of the low to moderate-grade mineralisation occurs as broad oxidised disseminated zones within silica-adularia altered Bullfrog Tuff and Tram Tuff units. Merlin mineralisation is cut off to the east by the normal displacement, east-dipping Bare Mountains fault. Mineralisation wanes to the south where it is narrow and low grade. Additional drilling is required to define the limits of mineralisation to the west and better understand the mineralisation and fault system between Merlin and Silicon to the north. In general, gold grades appear associated with the presence of silica-adularia alteration, veins with complex and diverse texture, and hematite/ manganese oxide staining. Two or more hydrothermal events, one related to the early formation adularia-quartz-pyrite mineralisation and a subsequent hydrothermal breccia/vein event are interpreted based on cross-cutting relationships. The oxidation profile extends to depths >500m. 22.3 Mining methods and Mineral Reserve The Merlin deposit is a large medium-grade deposit, with a smaller high-grade strike. The nature of the mineralisation lends itself to conventional large-scale open pit mining. Mining is planned to be conducted using conventional drill-and-blast techniques, followed by load-and-haul operations using a conventional fleet of large hydraulic excavators and electric rope shovels supported by rigid-frame haul trucks. Ore will be transported to the ROM stockpile area, where it will be segregated into short-term and long-term stockpiles based on grade and processing destination prior to reclaim and delivery to the primary crushing circuit. The Merlin mine plan supporting the Mineral Reserve estimate was prepared at the pre-feasibility study level and incorporated updated modifying factors, geotechnical parameters, and operational assumptions consistent with pre-feasibility study-level engineering. The current pit slope design is developed to a pre-feasibility study level. Further geotechnical modelling will be undertaken at the feasibility study stage as an opportunity to refine pit slope recommendations. Technical risks include uncertainties in geological continuity, grade distribution, metallurgical variability and mine plan assumptions. These risks can be mitigated through continued infill and step-out drilling, iterative geological and Mineral Resource model updates, additional metallurgical testing and ongoing optimisation of pit designs, haulage profiles and mine schedules. As mining starts, operational data and reconciliation will further reduce technical uncertainty. 22.4 Recovery methods Ore from the Merlin open pit will be processed in an oxide mill or on a heap leach pad with tertiary crushing. The ore will be delivered to the crushing circuits or long-term stockpiles located near the open pit mine. Higher grade material will be three-stage crushed with gyratory crusher, cone crusher and HPGR and ground to P80 106 µm in a ball mill closed with hydrocyclones. Centripetal concentrators will collect gravity recoverable gold and silver from the hydrocyclone underflow. Gravity concentrate will be processed on site by intensive sodium cyanide leaching. The ground slurry will be processed in a conventional CIL circuit, where sodium


 
AngloGold Ashanti Technical Report Summary for the Arthur Gold Project – current at 31 December 2025 __________________________________________________________________________________________ 26 March 2026 153 cyanide will be used to dissolve gold and silver from the mineralised material. Tails will be filtered and placed in a dedicated tailings impoundment. Lower grade material will be three-stage crushed with gyratory crusher, cone crusher and high-pressure grind roll and agglomerated with cement in a drum agglomerator. The agglomerated ore will be conveyor stacked on a permanent heap leach pad. Sodium cyanide solution will be applied to percolate through the heap leach pad and dissolve gold and silver from the mineralised material. The gold and silver will be recovered from the pregnant solution in a vertical CIC circuit. Loaded carbon produced from either the CIL circuit or the vertical CIC circuit will be processed in carbon adsorption, desorption and regeneration circuit. Gold doré will be produced in an on-site facility and sold to a third party refinery. Both the heap leach and milling-cyanidation circuits are conventional and have been successfully implemented by other projects at similar commercial scales. 22.5 Infrastructure The Arthur Gold Project is located in a favourable mining jurisdiction in southern Nevada, approximately 12km from Beatty, with access to established regional infrastructure, experienced mining vendors, and maintained transportation corridors suitable for heavy and oversized loads. No regional infrastructure constraints have been identified that would preclude Project development. Site access will be supported by upgrades to the existing Fluorspar Canyon Road and construction of a secondary access route from US-95 via Crater Flat. On-site infrastructure, including haul roads and service roads, is planned to support open pit mining, crushing, milling, and heap leach operations. Water supply will be sourced from existing groundwater rights in the Crater Flat basin and additional rights in the Amargosa Desert basin, supplemented by pit dewatering. Water management includes recycling of process water, stormwater diversion designed for extreme events, lined contact water containment, aquifer re-infiltration, and potable water treatment systems. Required regulatory approvals are anticipated to be obtainable. Power will be supplied by the regional utility, with transmission upgrades, including a new line and substation, to support an estimated average demand of approximately 57MW (86MW connected load). Standby diesel generators will provide emergency backup power. The Project is adjacent to the Greenlink Nevada transmission line which is currently in construction. This will be owned and operated by NV Energy. Surface infrastructure designs accommodate for this transmission line but there will be no direct connection to this line or the NV Energy power network. The Project is within the utility district for Valley Electric Association and a separate line will be constructed to connect to their service system. Hydrocarbon supply will be provided via bulk diesel delivery and on-site storage and dispensing facilities designed to support the mining fleet. 22.6 Environmental aspects Waste rock disposal, tailings management, water control, and closure planning have been evaluated at the pre- feasibility study level and are considered technically achievable under Nevada regulatory requirements. The west overburden storage area configuration was selected based on environmental avoidance, haulage efficiency, permitting considerations, and long-term closure compatibility. The design supports concurrent reclamation and potential segregation of potentially acid generating material. The filtered tailings facility will use a lined, bottom-up dry stack configuration with engineered drainage controls and composite liner systems to protect groundwater. Contact water will be collected and recycled to the process plant, while non-contact water will be diverted to minimise freshwater demand and environmental risk. Groundwater monitoring infrastructure has been established, and no significant baseline concerns have been identified at the Report date. Socio-economic impacts are being assessed through the Environmental Impact Statement process, including evaluation of population, economic, and community effects. Mitigation measures will be defined through the permitting process. Community engagement and maintaining social licence to operate are integral components of project development. Closure and reclamation planning was developed in alignment with Nevada and federal regulatory frameworks. The strategy includes partial pit backfilling, regrading and stabilisation of waste rock facilities, composite cover systems for the filtered TSF, long-term water management controls, and progressive revegetation using native AngloGold Ashanti Technical Report Summary for the Arthur Gold Project – current at 31 December 2025 __________________________________________________________________________________________ 26 March 2026 154 species. All closure liabilities will be secured through state-mandated bonding using Nevada’s standardised reclamation cost estimator. Additional geotechnical, geochemical, and hydrological studies will be completed at the feasibility study stage to further refine closure designs. Based on current evaluations, no material environmental, closure, or socio-economic issues have been identified that would preclude development, subject to completion of detailed engineering, regulatory approvals, and bonding requirements. Environmental and permitting risks are associated with potential delays to Project progression, and as such, permitting remains on the critical path. Environmental risks are primarily associated with permitting timelines discussed in Chapter 17.1, baseline data completeness, and compliance with regulatory requirements. Permitting remains on the critical path for Project advancement. These risks will be managed through early and continuous engagement with regulatory agencies, completion of environmental baseline studies, incorporation of environmental controls into mine design and adherence to applicable environmental standards and monitoring programs. Social risks include stakeholder expectations, land access, and community acceptance. These risks will be mitigated through proactive stakeholder engagement, transparent communication of Project activities and impacts and implementation of grievance and feedback mechanisms. Ongoing engagement is expected to support and maintain the social licence to operate. Economic risks relate to commodity price volatility, operating and capital cost escalation and overall market conditions. These risks are partially mitigated through conservative economic assumptions, cost benchmarking, sensitivity analyses and continued opportunities for mine plan and processing optimisation. Project economics remain sensitive to changes in gold price and input costs. Political and regulatory risks are primarily associated with changes in permitting requirements, regulatory interpretations or government policies that could impact project timelines or costs. These risks will be managed through compliance with existing regulations, monitoring of regulatory developments and maintaining constructive relationships with the relevant authorities. Overall, while risks and uncertainties remain consistent with a project at this stage of development, they are considered manageable with established mitigation strategies. Continued exploration success, refinement of technical studies, and advancement of permitting are expected to further reduce risk and enhance Project value over time. 23. Recommendations All mining, technical, and supporting studies have been completed to a pre-feasibility study level of accuracy and confidence, consistent with industry standards and study objectives. The following steps represent the natural progression of work to be undertaken to further refine, de-risk, and enhance the Arthur Gold Project, the costs associated with these steps are listed below and included in total project capital: • Complete targeted infill and step-out drilling to further improve orebody definition, geological continuity, and confidence in the Mineral Resource estimates. • Undertake expanded metallurgical characterisation and variability testwork to confirm recovery assumptions, validate design criteria, and support final process flowsheet selection. • Advance geotechnical data collection, detailed analysis, and modelling to refine pit slope recommendations and support final mine design parameters. • Continuing proactive management and advancement of environmental baseline studies and permitting activities, recognising that permitting remains on the Project critical path and a key schedule risk. • Progress the feasibility study in parallel with permitting activities to increase confidence in cost estimates, engineering design, and Mineral Reserve conversion. AngloGold Ashanti Technical Report Summary for the Arthur Gold Project – current at 31 December 2025 __________________________________________________________________________________________ 26 March 2026 155 24. References 24.1 References 24.1.1 External Belcher, W.R., Sweetkind, D.S., Faunt, C.C., Pavelko, M.T., and Hill, M.C., 2017, An update of the Death Valley regional groundwater flow system transient model, Nevada and California: US Geological Survey Scientific Investigations Report 2016-5150, 74 p., 1 pl. Carr, M.D, Sawyer, D.A., Nimz, K., Maldonado, F., and Swadley, W.C., 1996. Digital bedrock geological map database of the Beatty 30 x 60-minute quadrangle, Nevada and California. USGS open-file report 96-291, 41 p. Haines and Terbrugge, 1991, The MRMR ratings empirical design chart. Groundwater flow modelling was developed using Groundwater Vistas (GW Vistas), Version 8, by Environmental Simulations, Inc., as the graphical interface and model pre-/post-processing environment for MODFLOW-based simulations. https://www.groundwatermodels.com/index.php Langevin, C.D., Hughes, J.D., Banta, E.R., Niswonger, R.G., Panday, Sorab, and Provost, A.M., 2017, Documentation for the MODFLOW 6 Groundwater Flow Model: US Geological Survey Techniques and Methods, book 6, chap. A55, 197. Lucia M. Patterson, 2018, Nevada Bureau of Mines and Geology Special Publication L-6 State and Federal Permits Required in Nevada before mining or milling can begin, Nevada Division of Minerals. Nevada Division of Environmental Protection, 2022. https://ndep.nv.gov/uploads/land-mining-regs-guidance- docs/20210824_GuidanceDoc_ModP1RList_ADA2.pdf Nelson, N.C., and Jackson, T.R., 2020, Simulated effects of pumping in the Death Valley Regional Groundwater Flow System, Nevada and California—Selected management scenarios projected to 2120: US Geological Survey Scientific Investigations Report 2020–5103, 30 p. SGS Canada Inc., 2019. An Investigation into Gravity Amenability Testwork on Drill Core Samples, Burnaby, BC, Canada: SGS Canada Inc. 24.1.2 Internal Aaron Tomsett, 2023, Merlin Gold Project Preliminary Gold Mineral Resource Estimate, Cube Consulting. AngloGold Ashanti's Guidelines for the reporting of the Mineral Resource and Mineral Reserve, Internal document. AngloGold Ashanti's Standard Mineral Resource and Mineral Reserve Reporting Group Standard, Internal document. AngloGold Ashanti, 2024, Geotechnical Core Logging Procedure, Internal Document AngloGold Ashanti, 2025, Core Logging SOP, Internal Document Itasca, 2022, Silicon Geotech Update Jared Olson, 2022, Report on Heap Leach Cyanidation Testing C-Horst Drill Core Composites, McClelland Laboratories. Kappes Cassiday and Associates, 2022, Merlin Project Report of Metallurgical Test Work. Wilson, S.E., Young, M.R., House, A.R., Delong, R., and Malhotra, D., 2020a, Technical Report and Preliminary Economic Assessment for Biox Mill and heap leach Processing at the Mother Lode project, Bullfrog Mining district, Nye County, Nevada, Corvus Gold. AngloGold Ashanti Technical Report Summary for the Arthur Gold Project – current at 31 December 2025 __________________________________________________________________________________________ 26 March 2026 156 Wilson, S.E., Young, M.R., House, A.R., Delong, R., and Malhotra, D., 2020b, Technical Report and Preliminary Economic Assessment for Gravity Milling and Heap Leach Processing at the North Bullfrog Project, Bullfrog Mining District, Nye County, Nevada, Corvus Gold. Kappes, Cassiday & Associates, 2022. Merlin Project Report of Metallurgical Test Work December 2022, Reno, Nevada: Kappes, Cassiday & Associates. Kappes, Cassiday & Associates, 2024. Merlin Project Variability Composites Report of Metallurgical Test Work April 2024, Reno, Nevada: Kappes, Cassiday & Associates. McClelland Laboratories, Inc., 2021. Report on Metallurgical Testing - Silicon Project Drill Core and RC Cutting Composites MLI Job No. 4662 October 14, 2021, Sparks, Nevada: McClelland Laboratories Inc. McClelland Laboratories, Inc., 2025. Report on Metallurgical Testing - Merlin Drill Core Composites MLI Job No. 4903 January 9, 2025, Sparks, Nevada: McClelland Laboratories. RSC Consulting, 2026. Report for AngloGold Ashanti, 2025 Merlin Mineral Resource Audit for the Arthur Gold Project. Internal report prepared for the Arthur Gold Project, February 2026. RESPEC, 2022. Report on H2 RESOURCE ESTIMATION FOR THE SILICON PROJECT, Internal document. 24.2 Glossary of terms All-in costs (AIC): All-in cost refers to the total expenses associated with completing a transaction, project, or obtaining a loan, inclusive of all direct and indirect costs. AIC includes growth capital and exploration cost for new deposits and or expansions. All-in sustaining costs (AISC): AISC is a non-GAAP measure which is an extension of the “total cash costs” metric and incorporates all costs related to sustaining production and recognises sustaining capital expenditures associated with developing and maintaining gold mines. In addition, the metric includes the cost associated with corporate office structures that support these operations, the community and environmental rehabilitation costs attendant with responsible mining and any exploration and evaluation cost associated with sustaining current operations. AISC includes stay-in-business capital and items of capital nature and excludes growth capital. By-products: Any potentially economic or saleable products that emanate from the core process of producing gold or copper, including silver, molybdenum and sulphuric acid. Carbon-in-leach (CIL): Gold is leached from a slurry of ore where cyanide and carbon granules are added to the same agitated tanks. The gold loaded carbon granules are separated from the slurry and treated in an elution circuit to remove the gold. Carbon-in-pulp (CIP): Gold is leached conventionally from a slurry of ore with cyanide in agitated tanks. The leached slurry then passes into the CIP circuit where activated carbon granules are mixed with the slurry and gold is adsorbed on to the activated carbon. The gold-loaded carbon is separated from the slurry and treated in an elution circuit to remove the gold. Comminution: Comminution is the crushing and grinding of ore to make gold available for physical or chemical separation (see also “Milling”). Contained gold or Contained copper: The total gold or copper content (tonnes multiplied by grade) of the material being described.


 
AngloGold Ashanti Technical Report Summary for the Arthur Gold Project – current at 31 December 2025 __________________________________________________________________________________________ 26 March 2026 157 Cut-off grade: Cut-off grade is the grade (i.e., the concentration of metal or mineral in rock) that determines the destination of the material during mining. For purposes of establishing “prospects of economic extraction,” the cut-off grade is the grade that distinguishes material deemed to have no economic value (it will not be mined in underground mining or if mined in surface mining, its destination will be the waste dump) from material deemed to have economic value (its ultimate destination during mining will be a processing facility). Other terms used in similar fashion as cut-off grade include net smelter return, pay limit, and break-even stripping ratio. Depletion: The decrease in the quantity of ore in a deposit or property resulting from extraction or production. Development: The process of accessing an orebody through shafts and/or tunneling in underground mining operations. Development stage property: A development stage property is a property that has Mineral Reserve disclosed, but no material extraction. Diorite: An igneous rock formed by the solidification of molten material (magma). Doré: Impure alloy of gold and silver produced at a mine to be refined to a higher purity. Economically viable: Economically viable, when used in the context of Mineral Reserve determination, means that the Qualified Person has determined, using a discounted cash flow analysis, or has otherwise analytically determined, that extraction of the Mineral Reserve is economically viable under reasonable investment and market assumptions. Electrowinning: A process of recovering gold from solution by means of electrolytic chemical reaction into a form that can be smelted easily into gold bars. Elution: Recovery of the gold from the activated carbon into solution before zinc precipitation or electrowinning. Exploration results: Exploration results are data and information generated by mineral exploration programs (i.e., programs consisting of sampling, drilling, trenching, analytical testing, assaying, and other similar activities undertaken to locate, investigate, define or delineate a mineral prospect or mineral deposit) that are not part of a disclosure of Mineral Resource or Mineral Reserve. A registrant must not use exploration results alone to derive estimates of tonnage, grade, and production rates, or in an assessment of economic viability. Exploration stage property: An exploration stage property is a property that has no Mineral Reserve disclosed. Exploration target: An exploration target is a statement or estimate of the exploration potential of a mineral deposit in a defined geological setting where the statement or estimate, quoted as a range of tonnage and a range of grade (or quality), relates to mineralisation for which there has been insufficient exploration to estimate a Mineral Resource. AngloGold Ashanti Technical Report Summary for the Arthur Gold Project – current at 31 December 2025 __________________________________________________________________________________________ 26 March 2026 158 Feasibility study: A feasibility study is a comprehensive technical and economic study of the selected development option for a mineral project, which includes detailed assessments of all applicable modifying factors, as defined by this section, together with any other relevant operational factors, and detailed financial analyses that are necessary to demonstrate, at the time of reporting, that extraction is economically viable. The results of the study may serve as the basis for a final decision by a proponent or financial institution to proceed with, or finance, the development of the project. A feasibility study is more comprehensive, and with a higher degree of accuracy, than a pre-feasibility study. It must contain mining, infrastructure, and process designs completed with sufficient rigour to serve as the basis for an investment decision or to support project financing. The confidence level in the results of a feasibility study is higher than the confidence level in the results of a pre-feasibility study. Terms such as full, final, comprehensive, bankable, or definitive feasibility study are equivalent to a feasibility study. Flotation: Concentration of gold and gold-hosting minerals into a small mass by various techniques (e.g. collectors, frothers, agitation, air-flow) that collectively enhance the buoyancy of the target minerals, relative to unwanted gangue, for recovery into an over-flowing froth phase. Gold Produced or Gold production: Refined gold in a saleable form derived from the mining process. Grade: The quantity of ore contained within a unit weight of mineralised material generally expressed in grams per metric tonne (g/t) or ounce per short ton for gold bearing material or Percentage copper (%Cu) for copper bearing material. Greenschist: A schistose metamorphic rock whose green colour is due to the presence of chlorite, epidote or actinolite. Indicated Mineral Resource: An Indicated Mineral Resource is that part of a Mineral Resource for which quantity and grade or quality are estimated on the basis of adequate geological evidence and sampling. The level of geological certainty associated with an Indicated Mineral Resource is sufficient to allow a Qualified Person to apply modifying factors in sufficient detail to support mine planning and evaluation of the economic viability of the deposit. Because an Indicated Mineral Resource has a lower level of confidence than the level of confidence of a Measured Mineral Resource, an Indicated Mineral Resource may only be converted to a Probable Mineral Reserve. Inferred Mineral Resource: An Inferred Mineral Resource is that part of a Mineral Resource for which quantity and grade or quality are estimated on the basis of limited geological evidence and sampling. The level of geological uncertainty associated with an Inferred Mineral Resource is too high to apply relevant technical and economic factors likely to influence the prospects of economic extraction in a manner useful for evaluation of economic viability. Because an Inferred Mineral Resource has the lowest level of geological confidence of all Mineral Resource, which prevents the application of the modifying factors in a manner useful for evaluation of economic viability, an Inferred Mineral Resource may not be considered when assessing the economic viability of a mining project, and may not be converted to a Mineral Reserve. Initial assessment (also known as concept study, scoping study, conceptual study and preliminary economic assessment): An initial assessment is a preliminary technical and economic study of the economic potential of all or parts of mineralisation to support the disclosure of Mineral Resource. The initial assessment must be prepared by a Qualified Person and must include appropriate assessments of reasonably assumed technical and economic factors, together with any other relevant operational factors, that are necessary to demonstrate at the time of reporting that there are reasonable prospects for economic extraction. An initial assessment is required for disclosure of Mineral Resource but cannot be used as the basis for disclosure of Mineral Reserve. Leaching: Dissolution of gold from crushed or milled material, including reclaimed slime, prior to adsorption on to activated carbon or direct zinc precipitation. Life of mine (LOM): Number of years for which an operation is planning to mine and treat ore, and is taken from the current mine plan. AngloGold Ashanti Technical Report Summary for the Arthur Gold Project – current at 31 December 2025 __________________________________________________________________________________________ 26 March 2026 159 Measured Mineral Resource: A Measured Mineral Resource is that part of a Mineral Resource for which quantity and grade or quality are estimated on the basis of conclusive geological evidence and sampling. The level of geological certainty associated with a Measured Mineral Resource is sufficient to allow a qualified person to apply modifying factors, as defined in this section, in sufficient detail to support detailed mine planning and final evaluation of the economic viability of the deposit. Because a Measured Mineral Resource has a higher level of confidence than the level of confidence of either an Indicated Mineral Resource or an Inferred Mineral Resource, a Measured Mineral Resource may be converted to a Proven Mineral Reserve or to a Probable Mineral Reserve. Metallurgical plant: A processing plant constructed to treat ore and extract gold or copper in the case of Quebradona (and, in some cases, often valuable by-products). Metallurgical recovery factor (MetRF): A measure of the efficiency in extracting gold, silver or copper from the ore. Milling: A process of reducing broken ore to a size at which concentrating or leaching can be undertaken (see also “Comminution”). Mine call factor (MCF): The ratio, expressed as a percentage, of the total quantity of recovered and unrecovered mineral product after processing with the amount estimated in the ore based on sampling. The ratio of contained gold delivered to the metallurgical plant divided by the estimated contained gold of ore mined based on sampling. Mineral deposit: A mineral deposit is a concentration (or occurrence) of material of possible economic interest in or on the earth’s crust. Mineral Reserve: A Mineral Reserve is an estimate of tonnage and grade or quality of Indicated and Measured Mineral Resource that, in the opinion of the Qualified Person, can be the basis of an economically viable project. More specifically, it is the economically mineable part of a Measured or Indicated Mineral Resource, which includes diluting materials and allowances for losses that may occur when the material is mined or extracted. Mineral Reserve is subdivided in order of increasing confidence into Probable Mineral Reserve and Proven Mineral Reserve. Mineral Reserve is aggregated from the Proven and Probable Mineral Reserve categories. A Measured Mineral Resource may be converted to either a Proven Mineral Reserve or a Probable Mineral Reserve depending on uncertainties associated with modifying factors that are taken into account in the conversion from Mineral Resource to Mineral Reserve. The Mineral Reserve tonnages and grades are estimated and reported as delivered to plant (i.e., the point where material is delivered to the processing facility). Mineral Resource: A Mineral Resource is a concentration or occurrence of material of economic interest in or on the Earth's crust in such form, grade or quality, and quantity that there are reasonable prospects for economic extraction. A Mineral Resource is a reasonable estimate of mineralisation, taking into account relevant factors such as cut-off grade, likely mining dimensions, location or continuity, that, with the assumed and justifiable technical and economic conditions, is likely to, in whole or in part, become economically extractable. It is not merely an inventory of all mineralisation drilled or sampled. Mineral Resource is subdivided and must be so reported, in order of increasing confidence in respect of geoscientific evidence, into Inferred, Indicated or Measured categories. The Mineral Resource tonnages and grades are reported in situ and stockpiled material is reported as broken material. Mining recovery factor (MRF): This factor reflects a mining efficiency factor relating the recovery of material during the mining process and is the variance between the tonnes called for in the mining design and what the plant receives. It is expressed in both a grade and tonnage number. AngloGold Ashanti Technical Report Summary for the Arthur Gold Project – current at 31 December 2025 __________________________________________________________________________________________ 26 March 2026 160 Modifying Factors: Modifying factors are the factors that a Qualified Person must apply to Indicated and Measured Mineral Resource and then evaluate in order to establish the economic viability of Mineral Reserve. A Qualified Person must apply and evaluate modifying factors to convert Measured and Indicated Mineral Resource to Proven and Probable Mineral Reserve. These factors include but are not restricted to: Mining; processing; metallurgical; infrastructure; economic; marketing; legal; environmental compliance; plans, negotiations, or agreements with local individuals or groups; and governmental factors. The number, type and specific characteristics of the modifying factors applied will necessarily be a function of and depend upon the mineral, mine, property, or project. Non-sustaining capital (expenditure): Non-sustaining capital (expenditure) is a non-GAAP measure comprising capital expenditure incurred at new operations and capital expenditure related to ‘major projects’ at existing operations where these projects will materially increase production. Open pit mining: An excavation made at the surface of the ground for the purpose of extracting minerals, inorganic and organic, from their natural deposits, which excavation is open to the surface. Ounce (oz) (troy): Used in imperial statistics. A kilogram is equal to 32.1507 ounces. A troy ounce is equal to 31.1035 grams. Pay limit: The grade of a unit of ore at which the revenue from the recovered mineral content of the ore is equal to the sum of total cash costs, closure costs, Mineral Reserve development and stay-in-business capital. This grade is expressed as an in situ value in grams per tonne or ounces per short ton (before dilution and mineral losses). Precipitate: The solid product formed when a change in solution chemical conditions results in conversion of some pre-dissolved ions into solid state. Preliminary feasibility study (pre-feasibility study): is a comprehensive study of a range of options for the technical and economic viability of a mineral project that has advanced to a stage where a Qualified Person has determined (in the case of underground mining) a preferred mining method, or (in the case of surface mining) a pit configuration, and in all cases has determined an effective method of mineral processing and an effective plan to sell the product. A pre-feasibility study includes a financial analysis based on reasonable assumptions, based on appropriate testing, about the modifying factors and the evaluation of any other relevant factors that are sufficient for a Qualified Person to determine if all or part of the Indicated and Measured Mineral Resource may be converted to Mineral Reserve at the time of reporting. The financial analysis must have the level of detail necessary to demonstrate, at the time of reporting, that extraction is economically viable. A pre-feasibility study is less comprehensive and results in a lower confidence level than a feasibility study. A pre-feasibility study is more comprehensive and results in a higher confidence level than an initial assessment. Probable Mineral Reserve: A Probable Mineral Reserve is the economically mineable part of an Indicated and, in some cases, a Measured Mineral Resource. Production stage property: A production stage property is a property with material extraction of Mineral Reserve. Productivity: An expression of labour productivity based on the ratio of ounces of gold produced per month to the total number of employees in mining operations. Proven Mineral Reserve: A Proven Mineral Reserve is the economically mineable part of a Measured Mineral Resource and can only result from conversion of a Measured Mineral Resource.


 
AngloGold Ashanti Technical Report Summary for the Arthur Gold Project – current at 31 December 2025 __________________________________________________________________________________________ 26 March 2026 161 Qualified Person: A Qualified Person is an individual who is (1) A mineral industry professional with at least five years of relevant experience in the type of mineralisation and type of deposit under consideration and in the specific type of activity that person is undertaking on behalf of the registrant; and (2) An eligible member or licencee in good standing of a recognised professional organisation at the time the technical report is prepared. Section 229.1300 of Regulation S-K 1300 details further recognised professional organisations and also relevant experience. Quartz: A hard mineral consisting of silica dioxide found widely in all rocks. Recovered grade: The recovered mineral content per unit of ore treated. Reef: A gold-bearing horizon, sometimes a conglomerate band, that may contain economic levels of gold. Reef can also be any significant or thick gold bearing quartz vein. Refining: The final purification process of a metal or mineral. Regulation S-K 1300: Subpart 1300 of Regulation S-K (17 CFR § 229.1300) which contains the SEC’s mining property disclosure requirements for mining registrants. Rehabilitation: The process of reclaiming land disturbed by mining to allow an appropriate post-mining use. Rehabilitation standards are defined by country-specific laws, including but not limited to the South African Department of Mineral Resources, the US Bureau of Land Management, the US Forest Service, and the relevant Australian mining authorities, and address among other issues, ground and surface water, topsoil, final slope gradient, waste handling and re-vegetation issues. Resource modification factor (RMF): This factor is applied when there is an historic reconciliation discrepancy in the Mineral Resource model. For example, between the Mineral Resource model tonnage and the grade control model tonnage. It is expressed in both a grade and tonnage number. Scats: Within the metallurgical plants, scats is a term used to describe ejected ore or other uncrushable / grinding media arising from the milling process. This, typically oversize material (ore), is ejected from the mill and stockpiled or re-crushed via a scats retreatment circuit. Retreatment of scats is aimed at fracturing the material such that it can be returned to the mills and processed as with the other ores to recover the gold locked up within this oversize material. Seismic event: A sudden inelastic deformation within a given volume of rock that radiates detectable seismic energy. Shaft: A vertical or subvertical excavation used for accessing an underground mine; for transporting personnel, equipment and supplies; for hoisting ore and waste; for ventilation and utilities; and/or as an auxiliary exit. Smelting: A pyro-metallurgical operation in which gold precipitate from electro-winning or zinc precipitation is further separated from impurities. Stoping: The process of excavating ore underground. Stripping ratio: The ratio of waste tonnes to ore tonnes mined calculated as total tonnes mined less ore tonnes mined divided by ore tonnes mined. Sustaining capital (expenditure): Sustaining capital (expenditure) is a non-GAAP measure comprising capital expenditure incurred to sustain and maintain existing assets at their current productive capacity in order to achieve constant planned levels of productive output and capital expenditure to extend useful lives of existing production assets. This includes replacement of vehicles, plant and machinery, Mineral Reserve development, deferred stripping and capital expenditure related to financial benefit initiatives, safety, health and the environment. Tailings: Finely ground rock of low residual value from which valuable minerals have been extracted. AngloGold Ashanti Technical Report Summary for the Arthur Gold Project – current at 31 December 2025 __________________________________________________________________________________________ 26 March 2026 162 Tonnage: Quantity of material measured in tonnes. Tonne: Used in metric statistics. Equal to 1,000 kilograms. Total cash costs: Total cash costs is a non-GAAP metric and, as calculated and reported by AngloGold Ashanti, includes costs for all mining, processing, onsite administration costs, royalties and production taxes, as well as contributions from by-products, but exclude amortisation of tangible, intangible and right of use assets, rehabilitation costs and other non-cash costs, retrenchment costs, corporate administration, marketing and related costs, capital costs and exploration costs. Underground mining: The extraction of rocks, minerals and industrial materials, other than coal, oil and gas, from the Earth by developing entries or shafts from the surface to the seam or deposit before recovering the product by underground extraction methods. Waste: Material that contains insufficient mineralisation for consideration for future treatment and, as such, is discarded. Yield: The amount of valuable mineral or metal recovered from each unit mass of ore expressed as ounces per short ton or grams per metric tonne. Zinc precipitation: Zinc precipitation is the chemical reaction using zinc dust that converts gold in solution to a solid form for smelting into unrefined gold bars. 24.3 Abbreviations and acronyms ° Degrees > Greater than ≥ Greater than or equal to µm Micrometres ± Plus/minus % Percentage $ United States dollar $/t United States dollar per tonne $/oz United States dollar per ounce 2D Two dimensional 3D Three dimensional A x b JKSimMet SAG mill simulation parameters AAS Atomic absorption spectroscopy ACSR Aluminum conductor steel reinforced ADR Adsorption-desorption-recovery AES Atomic emission spectroscopy ASCE American Society of Civil Engineers Ag Silver AGA AngloGold Ashanti AGA AngloGold Ashanti North America Ai Bond abrasion index ALS Australian Laboratory Services ALS Reno Australian Laboratory Services in Reno, Nevada AMT Audio-frequency magnetotellurics AMTEL Advanced Mineral Technology Laboratory ASTM American Society for Testing and Materials Au Gold AngloGold Ashanti Technical Report Summary for the Arthur Gold Project – current at 31 December 2025 __________________________________________________________________________________________ 26 March 2026 163 BLM Bureau of Land Management VTY Beatty Airport, Beatty, Nevada BWi Bond ball mill work index C Celsius ca. Circa CCD Counter current decantation CIC Carbon in column CNI Call and Nicholas CRM Certified reference material Coeur Sterling Coeur Sterling, Inc cm Centimetre(s) Corvus Gold Corvus Gold Inc. CWi Crusher work index DD Diamond drill DGPS Differential global positioning system DV2 Death Valley version 2 groundwater flow model DV3 Death Valley version 3 predictive groundwater flow model DVRFS Death Valley Regional Groundwater Flow System DWi Drop weight breakage index E-GRG Extended-gravity recoverable gold EW Electrowinning F80/100 Feed 80% or 100% passing particle size FAusIMM Fellow of the Australasian Institute of Mining and Metallurgy ft Feet ft2 Squared feet g Grams g/cm3 Grams per cubic centimetre g/L Grams per litre g/t Grams per tonne g/mt Grams per metric ton gpm Gallons per minute gmp/ft2 Gallons per minute per square foot GPS global positioning system h/day Hours per day HCl Hydrochloric acid HDPE High density polyethylene HPGR High-pressure grinding rolls ICP Inductively coupled plasma ICP-MS Inductively coupled plasma mass spectrometry ID Identity IFRS International Financial Reporting Standards ILR Intensive leach reactor iPIMNS Integrated Process Mineralogy Solutions Inc Itasca Itasca International KCA Kappes Cassiday and Associates kg Kilogram(s) kg/t Kilogram per tonne km Kilometre(s) km2 Square kilometre(s) AngloGold Ashanti Technical Report Summary for the Arthur Gold Project – current at 31 December 2025 __________________________________________________________________________________________ 26 March 2026 164 kPag Kilopascal gauge kV Kilo volt(s) kW Kilo watt(s) kWh/m3 Kilo watt hour(s) per cubic metre kWh/t Kilo watt hour(s) per tonne LAS Harry Reid International Airport, Las Vegas, Nevada LMBA London Bullion Market Association m Metre M Million Mia/ih/ic Resistance to breakage parameters m2 Square metre m3 Cubic metre Ma Million annum Mg Magnesium MLI McClelland Laboratories mm Millimetre(s) mm/year Millimetre(s) per year MPSO Mine Plan Schedule Optimiser Moz Million ounces Mt Million tonnes Mt. Mount Mtpa Million tonnes per annum MW Megawatt N North NAC Nevada Administrative Code NAD North American Datum of 1983 NaOH Sodium hydroxide NDEP Nevada Division of Environmental Protection NGSJV US Nevada Gold Search Joint Venture NPV Net present value NSR Net smelter return NV Nevada, United States of America OSA Overburden storage area P80/100 Product 80% or 100% passing particle size PLS Pregnant leach solution ppm Parts per million PSA Pressure swing adsorption plant psig Pounds per square inch gauge QA/QC Quality assurance and quality control RC Reverse circulation RSC RSC Consulting Limited RD Reverse circulation pre-collars with a diamond drill tail RenGold Renaissance Gold Inc. RESPEC RESPEC Company, LLC ROM Run-of-mine RM SME Registered Member of the Society for Mining, Metallurgy and Exploration RQD Rock quality designation RWi Bond rod mill work index


 
AngloGold Ashanti Technical Report Summary for the Arthur Gold Project – current at 31 December 2025 __________________________________________________________________________________________ 26 March 2026 165 SAG Semi-autogenous grinding SCSE SAG circuit specific energy SG Specific gravity SLS Solid liquid separation SMC Steve Morrell Comminution SMU Selective mining unit SOP Core Logging Standard Operation Procedure SQL Structured query language ta JKSimMet SAG mill simulation parameter t/a Metric tonne(s) per annum t/d Metric tonne(s) per day t/h Metric tonne(s) per hour t/h m3 Metric tonne per hour per cubic metre TSF Tailings storage facility/facilities US/USA United States of America US-95 US Highway 95 USGS US Geological Survey UTM Universal Transverse Mercator V Volt W West w/w% Percentage weight concentration 25. Reliance on information provided by the registrant The Qualified Persons are of the opinion that AngloGold Ashanti has extensive experience in managing the complex challenges associated with operating at local, regional, national and international levels in support of successful global mining operations. AngloGold Ashanti maintains well-established divisions, departments and multidisciplinary teams organised both at mine sites and at corporate level to meet its operational and business requirements. These closely integrated functions address matters which, while not directly related to the physical production of saleable metals, are essential to fulfilling corporate obligations and navigating the regulatory, financial, environmental and social dimensions of modern mining. By way of illustration of the AngloGold Ashanti’s organisational structure, the corporate office includes departments responsible for Financial and Operational Analysis, Information Services, Administration and Sales, Business Development and Growth, Legal, Global Strategic Relations, Government Relations, Communications, Finance, Accounting, Tax and Investor Relations. Additional corporate teams are similarly structured to provide broad-based services and oversight. These departments work in coordination with the operating divisions, ensuring alignment of requirements, reporting and information flow. At mine-site level, operating divisions are organised into dedicated management teams, including Mine Management, Operations, Maintenance and Construction, Processing, Finance and Accounting, Social Responsibility and Community Development, Environmental Management, Regional Supply Chain and Human Resources. These teams are staffed with experienced professionals responsible for addressing the full range of technical, regulatory and operational requirements associated with mining activities. As subject-matter specialists within their respective disciplines, they represent reliable sources of information and have been consulted in the preparation, support and characterisation of information contained in this Report. In connection with the preparation of this Report, AngloGold Ashanti departments have provided information in the following areas: • Macroeconomic trends, data, interest rates and related assumptions • Marketing information • Legal matters outside the scope of the Qualified Persons’ expertise • Environmental matters outside the scope of the Qualified Persons’ expertise AngloGold Ashanti Technical Report Summary for the Arthur Gold Project – current at 31 December 2025 __________________________________________________________________________________________ 26 March 2026 166 • Community development initiatives and local stakeholder accommodation • Governmental and regulatory factors outside the scope of the Qualified Persons’ expertise The Qualified Persons have prepared Chapter 16.2 of this Report in reliance on the information provided by AngloGold Ashanti as described above. The Qualified Persons consider it reasonable to rely upon AngloGold Ashanti for the information specified above because it is generated and maintained by AngloGold Ashanti’s responsible corporate and site functions under established governance, control and review processes, and has been checked by the Qualified Persons for consistency and reasonableness in the context of this Report. As noted, the corporate and mine-site divisions contributing information to this Report are business-directed functions responsible for generating accurate and reliable data in support of AngloGold Ashanti’s operational and strategic objectives. This structured organisational framework supports the production of dependable information and provides an appropriate foundation for Mineral Resource and Mineral Reserve estimates. AngloGold Ashanti Technical Report Summary for the Arthur Gold Project – current at 31 December 2025 __________________________________________________________________________________________ 26 March 2026 167 26. Appendix B L M S e r i a l N u m b e r C l a i m N a m e C o m p a n y N a m e F i l e d U n d e r I n t e r e s t B L M S e r i a l N u m b e r C l a i m N a m e C o m p a n y N a m e F i l e d U n d e r I n t e r e s t NV105797075 BTY 183 AngloGold Ashanti North America Inc Owned NV101719925 SI 1058 AngloGold Ashanti North America Inc Owned NV105797074 BTY 182 AngloGold Ashanti North America Inc Owned NV101870807 SI 1060 AngloGold Ashanti North America Inc Owned NV105797077 BTY 185 AngloGold Ashanti North America Inc Owned NV101870809 SI 1062 AngloGold Ashanti North America Inc Owned NV105797076 BTY 184 AngloGold Ashanti North America Inc Owned NV101874217 SI 992 AngloGold Ashanti North America Inc Owned NV105797079 BTY 187 AngloGold Ashanti North America Inc Owned NV101874218 SI 993 AngloGold Ashanti North America Inc Owned NV105797078 BTY 186 AngloGold Ashanti North America Inc Owned NV101870811 SI 1064 AngloGold Ashanti North America Inc Owned NV105797081 BTY 189 AngloGold Ashanti North America Inc Owned NV101870813 SI 1066 AngloGold Ashanti North America Inc Owned NV105797080 BTY 188 AngloGold Ashanti North America Inc Owned NV101719918 SI 1051 AngloGold Ashanti North America Inc Owned NV105797083 BTY 191 AngloGold Ashanti North America Inc Owned NV101719920 SI 1053 AngloGold Ashanti North America Inc Owned NV105797082 BTY 190 AngloGold Ashanti North America Inc Owned NV101719922 SI 1055 AngloGold Ashanti North America Inc Owned NV105797085 BTY 193 AngloGold Ashanti North America Inc Owned NV101719924 SI 1057 AngloGold Ashanti North America Inc Owned NV105797084 BTY 192 AngloGold Ashanti North America Inc Owned NV101719926 SI 1059 AngloGold Ashanti North America Inc Owned NV105797087 BTY 195 AngloGold Ashanti North America Inc Owned NV101870808 SI 1061 AngloGold Ashanti North America Inc Owned NV105797086 BTY 194 AngloGold Ashanti North America Inc Owned NV101870810 SI 1063 AngloGold Ashanti North America Inc Owned NV105797089 BTY 197 AngloGold Ashanti North America Inc Owned NV101870812 SI 1065 AngloGold Ashanti North America Inc Owned NV105797088 BTY 196 AngloGold Ashanti North America Inc Owned NV101870814 SI 1067 AngloGold Ashanti North America Inc Owned NV105797091 BTY 199 AngloGold Ashanti North America Inc Owned NV101873332 SI 1127 AngloGold Ashanti North America Inc Owned NV105797090 BTY 198 AngloGold Ashanti North America Inc Owned NV101873331 SI 1126 AngloGold Ashanti North America Inc Owned NV105797093 BTY 201 AngloGold Ashanti North America Inc Owned NV101873334 SI 1129 AngloGold Ashanti North America Inc Owned NV105797092 BTY 200 AngloGold Ashanti North America Inc Owned NV101873333 SI 1128 AngloGold Ashanti North America Inc Owned NV105797095 BTY 203 AngloGold Ashanti North America Inc Owned NV101874244 SI 860 AngloGold Ashanti North America Inc Owned NV105797094 BTY 202 AngloGold Ashanti North America Inc Owned NV101874243 SI 859 AngloGold Ashanti North America Inc Owned NV105797430 BTY 538 AngloGold Ashanti North America Inc Owned NV101874248 SI 864 AngloGold Ashanti North America Inc Owned NV105797431 BTY 539 AngloGold Ashanti North America Inc Owned NV101874247 SI 863 AngloGold Ashanti North America Inc Owned NV105797033 BTY 141 AngloGold Ashanti North America Inc Owned NV101874252 SI 868 AngloGold Ashanti North America Inc Owned NV105797032 BTY 140 AngloGold Ashanti North America Inc Owned NV101874251 SI 867 AngloGold Ashanti North America Inc Owned NV105797035 BTY 143 AngloGold Ashanti North America Inc Owned NV101874256 SI 872 AngloGold Ashanti North America Inc Owned NV105797034 BTY 142 AngloGold Ashanti North America Inc Owned NV101874255 SI 871 AngloGold Ashanti North America Inc Owned NV105797037 BTY 145 AngloGold Ashanti North America Inc Owned NV105763635 SX 211 AngloGold Ashanti North America Inc Owned AngloGold Ashanti Technical Report Summary for the Arthur Gold Project – current at 31 December 2025 __________________________________________________________________________________________ 26 March 2026 168 B L M S e r i a l N u m b e r C l a i m N a m e C o m p a n y N a m e F i l e d U n d e r I n t e r e s t B L M S e r i a l N u m b e r C l a i m N a m e C o m p a n y N a m e F i l e d U n d e r I n t e r e s t NV105797036 BTY 144 AngloGold Ashanti North America Inc Owned NV105763637 SX 213 AngloGold Ashanti North America Inc Owned NV105797039 BTY 147 AngloGold Ashanti North America Inc Owned NV105763636 SX 212 AngloGold Ashanti North America Inc Owned NV105797038 BTY 146 AngloGold Ashanti North America Inc Owned NV105763638 SX 214 AngloGold Ashanti North America Inc Owned NV105797041 BTY 149 AngloGold Ashanti North America Inc Owned NV105763639 SX 215 AngloGold Ashanti North America Inc Owned NV105797040 BTY 148 AngloGold Ashanti North America Inc Owned NV105763641 SX 217 AngloGold Ashanti North America Inc Owned NV105797043 BTY 151 AngloGold Ashanti North America Inc Owned NV105763640 SX 216 AngloGold Ashanti North America Inc Owned NV105797042 BTY 150 AngloGold Ashanti North America Inc Owned NV105763642 SX 218 AngloGold Ashanti North America Inc Owned NV105797045 BTY 153 AngloGold Ashanti North America Inc Owned NV105763569 SX 145 AngloGold Ashanti North America Inc Owned NV105797044 BTY 152 AngloGold Ashanti North America Inc Owned NV105763571 SX 147 AngloGold Ashanti North America Inc Owned NV105797047 BTY 155 AngloGold Ashanti North America Inc Owned NV105763570 SX 146 AngloGold Ashanti North America Inc Owned NV105797046 BTY 154 AngloGold Ashanti North America Inc Owned NV105763572 SX 148 AngloGold Ashanti North America Inc Owned NV105797049 BTY 157 AngloGold Ashanti North America Inc Owned NV105763565 SX 141 AngloGold Ashanti North America Inc Owned NV105797048 BTY 156 AngloGold Ashanti North America Inc Owned NV105763567 SX 143 AngloGold Ashanti North America Inc Owned NV105797051 BTY 159 AngloGold Ashanti North America Inc Owned NV105763566 SX 142 AngloGold Ashanti North America Inc Owned NV105797050 BTY 158 AngloGold Ashanti North America Inc Owned NV105763568 SX 144 AngloGold Ashanti North America Inc Owned NV105797053 BTY 161 AngloGold Ashanti North America Inc Owned NV105763573 SX 149 AngloGold Ashanti North America Inc Owned NV105797052 BTY 160 AngloGold Ashanti North America Inc Owned NV105763497 SX 73 AngloGold Ashanti North America Inc Owned NV105797055 BTY 163 AngloGold Ashanti North America Inc Owned NV105763499 SX 75 AngloGold Ashanti North America Inc Owned NV105797054 BTY 162 AngloGold Ashanti North America Inc Owned NV105763498 SX 74 AngloGold Ashanti North America Inc Owned NV105797057 BTY 165 AngloGold Ashanti North America Inc Owned NV105763500 SX 76 AngloGold Ashanti North America Inc Owned NV105797056 BTY 164 AngloGold Ashanti North America Inc Owned NV105763501 SX 77 AngloGold Ashanti North America Inc Owned NV105797059 BTY 167 AngloGold Ashanti North America Inc Owned NV105763502 SX 78 AngloGold Ashanti North America Inc Owned NV105797058 BTY 166 AngloGold Ashanti North America Inc Owned NV105763504 SX 80 AngloGold Ashanti North America Inc Owned NV105797061 BTY 169 AngloGold Ashanti North America Inc Owned NV105763431 SX 7 AngloGold Ashanti North America Inc Owned NV105797060 BTY 168 AngloGold Ashanti North America Inc Owned NV105763433 SX 9 AngloGold Ashanti North America Inc Owned NV105797063 BTY 171 AngloGold Ashanti North America Inc Owned NV105763432 SX 8 AngloGold Ashanti North America Inc Owned NV105797062 BTY 170 AngloGold Ashanti North America Inc Owned NV105763434 SX 10 AngloGold Ashanti North America Inc Owned NV105797065 BTY 173 AngloGold Ashanti North America Inc Owned NV105763427 SX 3 AngloGold Ashanti North America Inc Owned NV105797064 BTY 172 AngloGold Ashanti North America Inc Owned NV105763429 SX 5 AngloGold Ashanti North America Inc Owned NV105797067 BTY 175 AngloGold Ashanti North America Inc Owned NV105763428 SX 4 AngloGold Ashanti North America Inc Owned


 
AngloGold Ashanti Technical Report Summary for the Arthur Gold Project – current at 31 December 2025 __________________________________________________________________________________________ 26 March 2026 169 B L M S e r i a l N u m b e r C l a i m N a m e C o m p a n y N a m e F i l e d U n d e r I n t e r e s t B L M S e r i a l N u m b e r C l a i m N a m e C o m p a n y N a m e F i l e d U n d e r I n t e r e s t NV105797066 BTY 174 AngloGold Ashanti North America Inc Owned NV105763430 SX 6 AngloGold Ashanti North America Inc Owned NV105797069 BTY 177 AngloGold Ashanti North America Inc Owned NV105763495 SX 71 AngloGold Ashanti North America Inc Owned NV105797068 BTY 176 AngloGold Ashanti North America Inc Owned NV105763496 SX 72 AngloGold Ashanti North America Inc Owned NV105797071 BTY 179 AngloGold Ashanti North America Inc Owned NV105763425 SX 1 AngloGold Ashanti North America Inc Owned NV105797070 BTY 178 AngloGold Ashanti North America Inc Owned NV105763426 SX 2 AngloGold Ashanti North America Inc Owned NV105797073 BTY 181 AngloGold Ashanti North America Inc Owned NV105763128 NBX 194 AngloGold Ashanti North America Inc Owned NV105797072 BTY 180 AngloGold Ashanti North America Inc Owned NV105763127 NBX 193 AngloGold Ashanti North America Inc Owned NV105797223 BTY 331 AngloGold Ashanti North America Inc Owned NV105763130 NBX 196 AngloGold Ashanti North America Inc Owned NV105797222 BTY 330 AngloGold Ashanti North America Inc Owned NV105763129 NBX 195 AngloGold Ashanti North America Inc Owned NV105797225 BTY 333 AngloGold Ashanti North America Inc Owned NV105763132 NBX 198 AngloGold Ashanti North America Inc Owned NV105797224 BTY 332 AngloGold Ashanti North America Inc Owned NV105763131 NBX 197 AngloGold Ashanti North America Inc Owned NV105797227 BTY 335 AngloGold Ashanti North America Inc Owned NV105763133 NBX 199 AngloGold Ashanti North America Inc Owned NV105797226 BTY 334 AngloGold Ashanti North America Inc Owned NV105763136 NBX 202 AngloGold Ashanti North America Inc Owned NV105797229 BTY 337 AngloGold Ashanti North America Inc Owned NV105763137 NBX 203 AngloGold Ashanti North America Inc Owned NV105797228 BTY 336 AngloGold Ashanti North America Inc Owned NV105763140 NBX 206 AngloGold Ashanti North America Inc Owned NV105797231 BTY 339 AngloGold Ashanti North America Inc Owned NV105763141 NBX 207 AngloGold Ashanti North America Inc Owned NV105797230 BTY 338 AngloGold Ashanti North America Inc Owned NV105763144 NBX 210 AngloGold Ashanti North America Inc Owned NV105797233 BTY 341 AngloGold Ashanti North America Inc Owned NV105763145 NBX 211 AngloGold Ashanti North America Inc Owned NV105797232 BTY 340 AngloGold Ashanti North America Inc Owned NV105763148 NBX 214 AngloGold Ashanti North America Inc Owned NV105797235 BTY 343 AngloGold Ashanti North America Inc Owned NV105763149 NBX 215 AngloGold Ashanti North America Inc Owned NV105797234 BTY 342 AngloGold Ashanti North America Inc Owned NV105763150 NBX 216 AngloGold Ashanti North America Inc Owned NV105797237 BTY 345 AngloGold Ashanti North America Inc Owned NV105763151 NBX 217 AngloGold Ashanti North America Inc Owned NV105797236 BTY 344 AngloGold Ashanti North America Inc Owned NV105763147 NBX 213 AngloGold Ashanti North America Inc Owned NV105797239 BTY 347 AngloGold Ashanti North America Inc Owned NV105763146 NBX 212 AngloGold Ashanti North America Inc Owned NV105797238 BTY 346 AngloGold Ashanti North America Inc Owned NV105763154 NBX 220 AngloGold Ashanti North America Inc Owned NV105797241 BTY 349 AngloGold Ashanti North America Inc Owned NV105763153 NBX 219 AngloGold Ashanti North America Inc Owned NV105797240 BTY 348 AngloGold Ashanti North America Inc Owned NV105763152 NBX 218 AngloGold Ashanti North America Inc Owned NV105797243 BTY 351 AngloGold Ashanti North America Inc Owned NV101605428 BVC EXT. #2 Mother Lode LLC Owned NV105797242 BTY 350 AngloGold Ashanti North America Inc Owned NV101304510 BVC #5697 Mother Lode LLC Owned NV105797245 BTY 353 AngloGold Ashanti North America Inc Owned NV101477481 BVC #5696 Mother Lode LLC Owned AngloGold Ashanti Technical Report Summary for the Arthur Gold Project – current at 31 December 2025 __________________________________________________________________________________________ 26 March 2026 170 B L M S e r i a l N u m b e r C l a i m N a m e C o m p a n y N a m e F i l e d U n d e r I n t e r e s t B L M S e r i a l N u m b e r C l a i m N a m e C o m p a n y N a m e F i l e d U n d e r I n t e r e s t NV105797244 BTY 352 AngloGold Ashanti North America Inc Owned NV101479178 BVC #5698 Mother Lode LLC Owned NV105797247 BTY 355 AngloGold Ashanti North America Inc Owned NV101401501 TWE 43 Mother Lode LLC Owned NV105797246 BTY 354 AngloGold Ashanti North America Inc Owned NV101495861 TWE 42 Mother Lode LLC Owned NV105797249 BTY 357 AngloGold Ashanti North America Inc Owned NV101499239 TWE 44 Mother Lode LLC Owned NV105797248 BTY 356 AngloGold Ashanti North America Inc Owned NV101406155 TWE 41 Mother Lode LLC Owned NV105797251 BTY 359 AngloGold Ashanti North America Inc Owned NV101756869 MF 19 Mother Lode LLC Owned NV105797250 BTY 358 AngloGold Ashanti North America Inc Owned NV101546103 MF 17 Mother Lode LLC Owned NV105797253 BTY 361 AngloGold Ashanti North America Inc Owned NV101479815 MF 15 Mother Lode LLC Owned NV105797252 BTY 360 AngloGold Ashanti North America Inc Owned NV101497850 MOTHER LODE # 20 Mother Lode LLC Owned NV105797255 BTY 363 AngloGold Ashanti North America Inc Owned NV101480258 MOTHER LODE # 15 Mother Lode LLC Owned NV105797254 BTY 362 AngloGold Ashanti North America Inc Owned NV101788266 ME-21 Corvus Gold Inc. Owned NV105797257 BTY 365 AngloGold Ashanti North America Inc Owned NV101788255 ME-10 Corvus Gold Inc. Owned NV105797256 BTY 364 AngloGold Ashanti North America Inc Owned NV101788253 ME-08 Corvus Gold Inc. Owned NV105797259 BTY 367 AngloGold Ashanti North America Inc Owned NV101788262 ME-17 Corvus Gold Inc. Owned NV105797258 BTY 366 AngloGold Ashanti North America Inc Owned NV101788249 ME-04 Corvus Gold Inc. Owned NV105797261 BTY 369 AngloGold Ashanti North America Inc Owned NV101788267 ME-22 Corvus Gold Inc. Owned NV105797260 BTY 368 AngloGold Ashanti North America Inc Owned NV101788265 ME-20 Corvus Gold Inc. Owned NV105797263 BTY 371 AngloGold Ashanti North America Inc Owned NV101788261 ME-16 Corvus Gold Inc. Owned NV105797262 BTY 370 AngloGold Ashanti North America Inc Owned NV101788263 ME-18 Corvus Gold Inc. Owned NV105797139 BTY 247 AngloGold Ashanti North America Inc Owned NV101788251 ME-06 Corvus Gold Inc. Owned NV105797138 BTY 246 AngloGold Ashanti North America Inc Owned NV101788260 ME-15 Corvus Gold Inc. Owned NV105797141 BTY 249 AngloGold Ashanti North America Inc Owned NV101788254 ME-09 Corvus Gold Inc. Owned NV105797140 BTY 248 AngloGold Ashanti North America Inc Owned NV101788252 ME-07 Corvus Gold Inc. Owned NV105797143 BTY 251 AngloGold Ashanti North America Inc Owned NV101788248 ME-03 Corvus Gold Inc. Owned NV105797142 BTY 250 AngloGold Ashanti North America Inc Owned NV101788250 ME-05 Corvus Gold Inc. Owned NV105797145 BTY 253 AngloGold Ashanti North America Inc Owned NV101788258 ME-13 Corvus Gold Inc. Owned NV105797144 BTY 252 AngloGold Ashanti North America Inc Owned NV101788257 ME-12 Corvus Gold Inc. Owned NV105797147 BTY 255 AngloGold Ashanti North America Inc Owned NV101788259 ME-14 Corvus Gold Inc. Owned NV105797146 BTY 254 AngloGold Ashanti North America Inc Owned NV101788256 ME-11 Corvus Gold Inc. Owned NV105797149 BTY 257 AngloGold Ashanti North America Inc Owned NV101788247 ME-02 Corvus Gold Inc. Owned AngloGold Ashanti Technical Report Summary for the Arthur Gold Project – current at 31 December 2025 __________________________________________________________________________________________ 26 March 2026 171 B L M S e r i a l N u m b e r C l a i m N a m e C o m p a n y N a m e F i l e d U n d e r I n t e r e s t B L M S e r i a l N u m b e r C l a i m N a m e C o m p a n y N a m e F i l e d U n d e r I n t e r e s t NV105797148 BTY 256 AngloGold Ashanti North America Inc Owned NV101787090 ME-01 Corvus Gold Inc. Owned NV105797151 BTY 259 AngloGold Ashanti North America Inc Owned NV101570521 MN-06 Corvus Gold Inc. Owned NV105797150 BTY 258 AngloGold Ashanti North America Inc Owned NV101570520 MN-05 Corvus Gold Inc. Owned NV105797153 BTY 261 AngloGold Ashanti North America Inc Owned NV101570518 MN-03 Corvus Gold Inc. Owned NV105797152 BTY 260 AngloGold Ashanti North America Inc Owned NV101570517 MN-02 Corvus Gold Inc. Owned NV105797155 BTY 263 AngloGold Ashanti North America Inc Owned NV101570516 MN-01 Corvus Gold Inc. Owned NV105797154 BTY 262 AngloGold Ashanti North America Inc Owned NV101570519 MN-04 Corvus Gold Inc. Owned NV105797157 BTY 265 AngloGold Ashanti North America Inc Owned NV101787070 MN-11 Corvus Gold Inc. Owned NV105797156 BTY 264 AngloGold Ashanti North America Inc Owned NV101570525 MN-10 Corvus Gold Inc. Owned NV105797159 BTY 267 AngloGold Ashanti North America Inc Owned NV101570522 MN-07 Corvus Gold Inc. Owned NV105797158 BTY 266 AngloGold Ashanti North America Inc Owned NV101787084 MN-25 Corvus Gold Inc. Owned NV105797161 BTY 269 AngloGold Ashanti North America Inc Owned NV101787082 MN-23 Corvus Gold Inc. Owned NV105797160 BTY 268 AngloGold Ashanti North America Inc Owned NV101787083 MN-24 Corvus Gold Inc. Owned NV105797163 BTY 271 AngloGold Ashanti North America Inc Owned NV101570524 MN-09 Corvus Gold Inc. Owned NV105797162 BTY 270 AngloGold Ashanti North America Inc Owned NV101570523 MN-08 Corvus Gold Inc. Owned NV105797165 BTY 273 AngloGold Ashanti North America Inc Owned NV101787071 MN-12 Corvus Gold Inc. Owned NV105797164 BTY 272 AngloGold Ashanti North America Inc Owned NV101787076 MN-17 Corvus Gold Inc. Owned NV105797167 BTY 275 AngloGold Ashanti North America Inc Owned NV101787075 MN-16 Corvus Gold Inc. Owned NV105797166 BTY 274 AngloGold Ashanti North America Inc Owned NV101787072 MN-13 Corvus Gold Inc. Owned NV105797169 BTY 277 AngloGold Ashanti North America Inc Owned NV101787087 MN-28 Corvus Gold Inc. Owned NV105797168 BTY 276 AngloGold Ashanti North America Inc Owned NV101787085 MN-26 Corvus Gold Inc. Owned NV105797171 BTY 279 AngloGold Ashanti North America Inc Owned NV101787086 MN-27 Corvus Gold Inc. Owned NV105797170 BTY 278 AngloGold Ashanti North America Inc Owned NV101787074 MN-15 Corvus Gold Inc. Owned NV105797173 BTY 281 AngloGold Ashanti North America Inc Owned NV101787073 MN-14 Corvus Gold Inc. Owned NV105797172 BTY 280 AngloGold Ashanti North America Inc Owned NV101787077 MN-18 Corvus Gold Inc. Owned NV105797175 BTY 283 AngloGold Ashanti North America Inc Owned NV101787081 MN-22 Corvus Gold Inc. Owned NV105797174 BTY 282 AngloGold Ashanti North America Inc Owned NV101787078 MN-19 Corvus Gold Inc. Owned NV105797177 BTY 285 AngloGold Ashanti North America Inc Owned NV101787088 MN-29 Corvus Gold Inc. Owned NV105797176 BTY 284 AngloGold Ashanti North America Inc Owned NV101787089 MN-30 Corvus Gold Inc. Owned NV105797179 BTY 287 AngloGold Ashanti North America Inc Owned NV101787080 MN-21 Corvus Gold Inc. Owned AngloGold Ashanti Technical Report Summary for the Arthur Gold Project – current at 31 December 2025 __________________________________________________________________________________________ 26 March 2026 172 B L M S e r i a l N u m b e r C l a i m N a m e C o m p a n y N a m e F i l e d U n d e r I n t e r e s t B L M S e r i a l N u m b e r C l a i m N a m e C o m p a n y N a m e F i l e d U n d e r I n t e r e s t NV105797178 BTY 286 AngloGold Ashanti North America Inc Owned NV101787079 MN-20 Corvus Gold Inc. Owned NV105797181 BTY 289 AngloGold Ashanti North America Inc Owned NV101564469 MN 129 Corvus Gold Inc. Owned NV105797180 BTY 288 AngloGold Ashanti North America Inc Owned NV101564468 MN 128 Corvus Gold Inc. Owned NV105797183 BTY 291 AngloGold Ashanti North America Inc Owned NV101564470 MN 130 Corvus Gold Inc. Owned NV105797182 BTY 290 AngloGold Ashanti North America Inc Owned NV101564471 MN 131 Corvus Gold Inc. Owned NV105797185 BTY 293 AngloGold Ashanti North America Inc Owned NV101564466 MN 126 Corvus Gold Inc. Owned NV105797184 BTY 292 AngloGold Ashanti North America Inc Owned NV101564467 MN 127 Corvus Gold Inc. Owned NV105797187 BTY 295 AngloGold Ashanti North America Inc Owned NV101564475 MN 135 Corvus Gold Inc. Owned NV105797186 BTY 294 AngloGold Ashanti North America Inc Owned NV101564474 MN 134 Corvus Gold Inc. Owned NV105797189 BTY 297 AngloGold Ashanti North America Inc Owned NV101564476 MN 136 Corvus Gold Inc. Owned NV105797188 BTY 296 AngloGold Ashanti North America Inc Owned NV101564477 MN 137 Corvus Gold Inc. Owned NV105797191 BTY 299 AngloGold Ashanti North America Inc Owned NV101564472 MN 132 Corvus Gold Inc. Owned NV105797190 BTY 298 AngloGold Ashanti North America Inc Owned NV101564473 MN 133 Corvus Gold Inc. Owned NV105797193 BTY 301 AngloGold Ashanti North America Inc Owned NV101564481 MN 141 Corvus Gold Inc. Owned NV105797192 BTY 300 AngloGold Ashanti North America Inc Owned NV101564480 MN 140 Corvus Gold Inc. Owned NV105797195 BTY 303 AngloGold Ashanti North America Inc Owned NV101565243 MN 142 Corvus Gold Inc. Owned NV105797194 BTY 302 AngloGold Ashanti North America Inc Owned NV101565244 MN 143 Corvus Gold Inc. Owned NV105797197 BTY 305 AngloGold Ashanti North America Inc Owned NV101564478 MN 138 Corvus Gold Inc. Owned NV105797196 BTY 304 AngloGold Ashanti North America Inc Owned NV101564479 MN 139 Corvus Gold Inc. Owned NV105797199 BTY 307 AngloGold Ashanti North America Inc Owned NV101565248 MN 147 Corvus Gold Inc. Owned NV105797198 BTY 306 AngloGold Ashanti North America Inc Owned NV101565247 MN 146 Corvus Gold Inc. Owned NV105797201 BTY 309 AngloGold Ashanti North America Inc Owned NV101565249 MN 148 Corvus Gold Inc. Owned NV105797200 BTY 308 AngloGold Ashanti North America Inc Owned NV101565250 MN 149 Corvus Gold Inc. Owned NV105797203 BTY 311 AngloGold Ashanti North America Inc Owned NV101565245 MN 144 Corvus Gold Inc. Owned NV105797202 BTY 310 AngloGold Ashanti North America Inc Owned NV101565246 MN 145 Corvus Gold Inc. Owned NV105797205 BTY 313 AngloGold Ashanti North America Inc Owned NV101565254 MN 153 Corvus Gold Inc. Owned NV105797204 BTY 312 AngloGold Ashanti North America Inc Owned NV101565253 MN 152 Corvus Gold Inc. Owned NV105797207 BTY 315 AngloGold Ashanti North America Inc Owned NV101565255 MN 154 Corvus Gold Inc. Owned NV105797206 BTY 314 AngloGold Ashanti North America Inc Owned NV101565256 MN 155 Corvus Gold Inc. Owned NV105797209 BTY 317 AngloGold Ashanti North America Inc Owned NV101565251 MN 150 Corvus Gold Inc. Owned


 
AngloGold Ashanti Technical Report Summary for the Arthur Gold Project – current at 31 December 2025 __________________________________________________________________________________________ 26 March 2026 173 B L M S e r i a l N u m b e r C l a i m N a m e C o m p a n y N a m e F i l e d U n d e r I n t e r e s t B L M S e r i a l N u m b e r C l a i m N a m e C o m p a n y N a m e F i l e d U n d e r I n t e r e s t NV105797208 BTY 316 AngloGold Ashanti North America Inc Owned NV101565252 MN 151 Corvus Gold Inc. Owned NV105797211 BTY 319 AngloGold Ashanti North America Inc Owned NV101565260 MN 159 Corvus Gold Inc. Owned NV105797210 BTY 318 AngloGold Ashanti North America Inc Owned NV101565259 MN 158 Corvus Gold Inc. Owned NV105797213 BTY 321 AngloGold Ashanti North America Inc Owned NV101565257 MN 156 Corvus Gold Inc. Owned NV105797212 BTY 320 AngloGold Ashanti North America Inc Owned NV101565258 MN 157 Corvus Gold Inc. Owned NV105797215 BTY 323 AngloGold Ashanti North America Inc Owned NV101563702 MN 119 Corvus Gold Inc. Owned NV105797214 BTY 322 AngloGold Ashanti North America Inc Owned NV101563701 MN 118 Corvus Gold Inc. Owned NV105797217 BTY 325 AngloGold Ashanti North America Inc Owned NV101563699 MN 116 Corvus Gold Inc. Owned NV105797216 BTY 324 AngloGold Ashanti North America Inc Owned NV101563700 MN 117 Corvus Gold Inc. Owned NV105797219 BTY 327 AngloGold Ashanti North America Inc Owned NV101563698 MN 115 Corvus Gold Inc. Owned NV105797218 BTY 326 AngloGold Ashanti North America Inc Owned NV101563696 MN 113 Corvus Gold Inc. Owned NV105797221 BTY 329 AngloGold Ashanti North America Inc Owned NV101563697 MN 114 Corvus Gold Inc. Owned NV105797220 BTY 328 AngloGold Ashanti North America Inc Owned NV101563695 MN 112 Corvus Gold Inc. Owned NV105797097 BTY 205 AngloGold Ashanti North America Inc Owned NV101563693 MN 110 Corvus Gold Inc. Owned NV105797096 BTY 204 AngloGold Ashanti North America Inc Owned NV101563694 MN 111 Corvus Gold Inc. Owned NV105797099 BTY 207 AngloGold Ashanti North America Inc Owned NV101563692 MN 109 Corvus Gold Inc. Owned NV105797098 BTY 206 AngloGold Ashanti North America Inc Owned NV101563690 MN 107 Corvus Gold Inc. Owned NV105797101 BTY 209 AngloGold Ashanti North America Inc Owned NV101563691 MN 108 Corvus Gold Inc. Owned NV105797100 BTY 208 AngloGold Ashanti North America Inc Owned NV101563689 MN 106 Corvus Gold Inc. Owned NV105797103 BTY 211 AngloGold Ashanti North America Inc Owned NV101563703 MN 120 Corvus Gold Inc. Owned NV105797102 BTY 210 AngloGold Ashanti North America Inc Owned NV101563704 MN 121 Corvus Gold Inc. Owned NV105797105 BTY 213 AngloGold Ashanti North America Inc Owned NV101564465 MN 125 Corvus Gold Inc. Owned NV105797104 BTY 212 AngloGold Ashanti North America Inc Owned NV101564464 MN 124 Corvus Gold Inc. Owned NV105797107 BTY 215 AngloGold Ashanti North America Inc Owned NV101563705 MN 122 Corvus Gold Inc. Owned NV105797106 BTY 214 AngloGold Ashanti North America Inc Owned NV101564463 MN 123 Corvus Gold Inc. Owned NV105797109 BTY 217 AngloGold Ashanti North America Inc Owned NV101711231 MN376 Corvus Gold Inc. Owned NV105797108 BTY 216 AngloGold Ashanti North America Inc Owned NV101711230 MN375 Corvus Gold Inc. Owned NV105797111 BTY 219 AngloGold Ashanti North America Inc Owned NV101711232 MN377 Corvus Gold Inc. Owned NV105797110 BTY 218 AngloGold Ashanti North America Inc Owned NV101711233 MN378 Corvus Gold Inc. Owned NV105797113 BTY 221 AngloGold Ashanti North America Inc Owned NV101711237 MN382 Corvus Gold Inc. Owned AngloGold Ashanti Technical Report Summary for the Arthur Gold Project – current at 31 December 2025 __________________________________________________________________________________________ 26 March 2026 174 B L M S e r i a l N u m b e r C l a i m N a m e C o m p a n y N a m e F i l e d U n d e r I n t e r e s t B L M S e r i a l N u m b e r C l a i m N a m e C o m p a n y N a m e F i l e d U n d e r I n t e r e s t NV105797112 BTY 220 AngloGold Ashanti North America Inc Owned NV101711236 MN381 Corvus Gold Inc. Owned NV105797115 BTY 223 AngloGold Ashanti North America Inc Owned NV101711234 MN379 Corvus Gold Inc. Owned NV105797114 BTY 222 AngloGold Ashanti North America Inc Owned NV101711235 MN380 Corvus Gold Inc. Owned NV105797117 BTY 225 AngloGold Ashanti North America Inc Owned NV101711239 MN384 Corvus Gold Inc. Owned NV105797116 BTY 224 AngloGold Ashanti North America Inc Owned NV101711238 MN383 Corvus Gold Inc. Owned NV105797119 BTY 227 AngloGold Ashanti North America Inc Owned NV101711240 MN385 Corvus Gold Inc. Owned NV105797118 BTY 226 AngloGold Ashanti North America Inc Owned NV101711241 MN386 Corvus Gold Inc. Owned NV105797121 BTY 229 AngloGold Ashanti North America Inc Owned NV101712267 MN389 Corvus Gold Inc. Owned NV105797120 BTY 228 AngloGold Ashanti North America Inc Owned NV101711242 MN387 Corvus Gold Inc. Owned NV105797123 BTY 231 AngloGold Ashanti North America Inc Owned NV101712269 MN391 Corvus Gold Inc. Owned NV105797122 BTY 230 AngloGold Ashanti North America Inc Owned NV101712271 MN393 Corvus Gold Inc. Owned NV105797125 BTY 233 AngloGold Ashanti North America Inc Owned NV101712273 MN395 Corvus Gold Inc. Owned NV105797124 BTY 232 AngloGold Ashanti North America Inc Owned NV101711227 MN372 Corvus Gold Inc. Owned NV105797127 BTY 235 AngloGold Ashanti North America Inc Owned NV101711226 MN371 Corvus Gold Inc. Owned NV105797126 BTY 234 AngloGold Ashanti North America Inc Owned NV101711228 MN373 Corvus Gold Inc. Owned NV105797129 BTY 237 AngloGold Ashanti North America Inc Owned NV101711229 MN374 Corvus Gold Inc. Owned NV105797128 BTY 236 AngloGold Ashanti North America Inc Owned NV101712266 MN388 Corvus Gold Inc. Owned NV105797131 BTY 239 AngloGold Ashanti North America Inc Owned NV101712268 MN390 Corvus Gold Inc. Owned NV105797130 BTY 238 AngloGold Ashanti North America Inc Owned NV101712270 MN392 Corvus Gold Inc. Owned NV105797133 BTY 241 AngloGold Ashanti North America Inc Owned NV101712272 MN394 Corvus Gold Inc. Owned NV105797132 BTY 240 AngloGold Ashanti North America Inc Owned NV101712274 MN396 Corvus Gold Inc. Owned NV105797135 BTY 243 AngloGold Ashanti North America Inc Owned NV101560024 MN348 Corvus Gold Inc. Owned NV105797134 BTY 242 AngloGold Ashanti North America Inc Owned NV101560026 MN350 Corvus Gold Inc. Owned NV105797137 BTY 245 AngloGold Ashanti North America Inc Owned NV101560030 MN354 Corvus Gold Inc. Owned NV105797136 BTY 244 AngloGold Ashanti North America Inc Owned NV101560028 MN352 Corvus Gold Inc. Owned NV105797458 BTY 566 AngloGold Ashanti North America Inc Owned NV101560032 MN356 Corvus Gold Inc. Owned NV105797457 BTY 565 AngloGold Ashanti North America Inc Owned NV101560034 MN358 Corvus Gold Inc. Owned NV105797460 BTY 568 AngloGold Ashanti North America Inc Owned NV101560038 MN362 Corvus Gold Inc. Owned NV105797459 BTY 567 AngloGold Ashanti North America Inc Owned NV101560036 MN360 Corvus Gold Inc. Owned NV105797462 BTY 570 AngloGold Ashanti North America Inc Owned NV101560040 MN364 Corvus Gold Inc. Owned AngloGold Ashanti Technical Report Summary for the Arthur Gold Project – current at 31 December 2025 __________________________________________________________________________________________ 26 March 2026 175 B L M S e r i a l N u m b e r C l a i m N a m e C o m p a n y N a m e F i l e d U n d e r I n t e r e s t B L M S e r i a l N u m b e r C l a i m N a m e C o m p a n y N a m e F i l e d U n d e r I n t e r e s t NV105797461 BTY 569 AngloGold Ashanti North America Inc Owned NV101560042 MN366 Corvus Gold Inc. Owned NV105797464 BTY 572 AngloGold Ashanti North America Inc Owned NV101711223 MN368 Corvus Gold Inc. Owned NV105797463 BTY 571 AngloGold Ashanti North America Inc Owned NV101558841 MN344 Corvus Gold Inc. Owned NV105797466 BTY 574 AngloGold Ashanti North America Inc Owned NV101560022 MN346 Corvus Gold Inc. Owned NV105797465 BTY 573 AngloGold Ashanti North America Inc Owned NV101560023 MN347 Corvus Gold Inc. Owned NV105797468 BTY 576 AngloGold Ashanti North America Inc Owned NV101560025 MN349 Corvus Gold Inc. Owned NV105797467 BTY 575 AngloGold Ashanti North America Inc Owned NV101560029 MN353 Corvus Gold Inc. Owned NV105797470 BTY 578 AngloGold Ashanti North America Inc Owned NV101560027 MN351 Corvus Gold Inc. Owned NV105797469 BTY 577 AngloGold Ashanti North America Inc Owned NV101560031 MN355 Corvus Gold Inc. Owned NV105797631 BTY 739 AngloGold Ashanti North America Inc Owned NV101560033 MN357 Corvus Gold Inc. Owned NV105797630 BTY 738 AngloGold Ashanti North America Inc Owned NV101560037 MN361 Corvus Gold Inc. Owned NV105797633 BTY 741 AngloGold Ashanti North America Inc Owned NV101560035 MN359 Corvus Gold Inc. Owned NV105797632 BTY 740 AngloGold Ashanti North America Inc Owned NV101560039 MN363 Corvus Gold Inc. Owned NV105797635 BTY 743 AngloGold Ashanti North America Inc Owned NV101560041 MN365 Corvus Gold Inc. Owned NV105797634 BTY 742 AngloGold Ashanti North America Inc Owned NV101711222 MN367 Corvus Gold Inc. Owned NV105797637 BTY 745 AngloGold Ashanti North America Inc Owned NV101558840 MN343 Corvus Gold Inc. Owned NV105797444 BTY 552 AngloGold Ashanti North America Inc Owned NV101558842 MN345 Corvus Gold Inc. Owned NV105797443 BTY 551 AngloGold Ashanti North America Inc Owned NV101557826 MN320 Corvus Gold Inc. Owned NV105797446 BTY 554 AngloGold Ashanti North America Inc Owned NV101557828 MN322 Corvus Gold Inc. Owned NV105797445 BTY 553 AngloGold Ashanti North America Inc Owned NV101558823 MN326 Corvus Gold Inc. Owned NV105797448 BTY 556 AngloGold Ashanti North America Inc Owned NV101557830 MN324 Corvus Gold Inc. Owned NV105797447 BTY 555 AngloGold Ashanti North America Inc Owned NV101558825 MN328 Corvus Gold Inc. Owned NV105797450 BTY 558 AngloGold Ashanti North America Inc Owned NV101558827 MN330 Corvus Gold Inc. Owned NV105797449 BTY 557 AngloGold Ashanti North America Inc Owned NV101558831 MN334 Corvus Gold Inc. Owned NV105797452 BTY 560 AngloGold Ashanti North America Inc Owned NV101558829 MN332 Corvus Gold Inc. Owned NV105797451 BTY 559 AngloGold Ashanti North America Inc Owned NV101558833 MN336 Corvus Gold Inc. Owned NV105797454 BTY 562 AngloGold Ashanti North America Inc Owned NV101558835 MN338 Corvus Gold Inc. Owned NV105797453 BTY 561 AngloGold Ashanti North America Inc Owned NV101558837 MN340 Corvus Gold Inc. Owned NV105797456 BTY 564 AngloGold Ashanti North America Inc Owned NV101557822 MN316 Corvus Gold Inc. Owned NV105797455 BTY 563 AngloGold Ashanti North America Inc Owned NV101557824 MN318 Corvus Gold Inc. Owned AngloGold Ashanti Technical Report Summary for the Arthur Gold Project – current at 31 December 2025 __________________________________________________________________________________________ 26 March 2026 176 B L M S e r i a l N u m b e r C l a i m N a m e C o m p a n y N a m e F i l e d U n d e r I n t e r e s t B L M S e r i a l N u m b e r C l a i m N a m e C o m p a n y N a m e F i l e d U n d e r I n t e r e s t NV105797551 BTY 659 AngloGold Ashanti North America Inc Owned NV101557825 MN319 Corvus Gold Inc. Owned NV105797550 BTY 658 AngloGold Ashanti North America Inc Owned NV101557827 MN321 Corvus Gold Inc. Owned NV105797553 BTY 661 AngloGold Ashanti North America Inc Owned NV101558822 MN325 Corvus Gold Inc. Owned NV105797306 BTY 414 AngloGold Ashanti North America Inc Owned NV101557829 MN323 Corvus Gold Inc. Owned NV105797308 BTY 416 AngloGold Ashanti North America Inc Owned NV101558824 MN327 Corvus Gold Inc. Owned NV105797310 BTY 418 AngloGold Ashanti North America Inc Owned NV101558826 MN329 Corvus Gold Inc. Owned NV105797312 BTY 420 AngloGold Ashanti North America Inc Owned NV101558830 MN333 Corvus Gold Inc. Owned NV105797314 BTY 422 AngloGold Ashanti North America Inc Owned NV101558828 MN331 Corvus Gold Inc. Owned NV105797316 BTY 424 AngloGold Ashanti North America Inc Owned NV101558832 MN335 Corvus Gold Inc. Owned NV105797318 BTY 426 AngloGold Ashanti North America Inc Owned NV101558834 MN337 Corvus Gold Inc. Owned NV105797320 BTY 428 AngloGold Ashanti North America Inc Owned NV101558836 MN339 Corvus Gold Inc. Owned NV105797322 BTY 430 AngloGold Ashanti North America Inc Owned NV101557821 MN315 Corvus Gold Inc. Owned NV105797324 BTY 432 AngloGold Ashanti North America Inc Owned NV101557823 MN317 Corvus Gold Inc. Owned NV105797326 BTY 434 AngloGold Ashanti North America Inc Owned NV101556610 MN292 Corvus Gold Inc. Owned NV105797328 BTY 436 AngloGold Ashanti North America Inc Owned NV101556612 MN294 Corvus Gold Inc. Owned NV105797330 BTY 438 AngloGold Ashanti North America Inc Owned NV101556616 MN298 Corvus Gold Inc. Owned NV105797333 BTY 441 AngloGold Ashanti North America Inc Owned NV101556614 MN296 Corvus Gold Inc. Owned NV105797332 BTY 440 AngloGold Ashanti North America Inc Owned NV101556618 MN300 Corvus Gold Inc. Owned NV105797335 BTY 443 AngloGold Ashanti North America Inc Owned NV101556620 MN302 Corvus Gold Inc. Owned NV105797334 BTY 442 AngloGold Ashanti North America Inc Owned NV101557812 MN306 Corvus Gold Inc. Owned NV105797336 BTY 444 AngloGold Ashanti North America Inc Owned NV101557810 MN304 Corvus Gold Inc. Owned NV105797338 BTY 446 AngloGold Ashanti North America Inc Owned NV101557814 MN308 Corvus Gold Inc. Owned NV105797341 BTY 449 AngloGold Ashanti North America Inc Owned NV101557816 MN310 Corvus Gold Inc. Owned NV105797340 BTY 448 AngloGold Ashanti North America Inc Owned NV101557818 MN312 Corvus Gold Inc. Owned NV105797342 BTY 450 AngloGold Ashanti North America Inc Owned NV101556606 MN288 Corvus Gold Inc. Owned NV105797344 BTY 452 AngloGold Ashanti North America Inc Owned NV101556608 MN290 Corvus Gold Inc. Owned NV105797346 BTY 454 AngloGold Ashanti North America Inc Owned NV101556609 MN291 Corvus Gold Inc. Owned NV105797265 BTY 373 AngloGold Ashanti North America Inc Owned NV101556611 MN293 Corvus Gold Inc. Owned NV105797264 BTY 372 AngloGold Ashanti North America Inc Owned NV101556615 MN297 Corvus Gold Inc. Owned NV105797267 BTY 375 AngloGold Ashanti North America Inc Owned NV101556613 MN295 Corvus Gold Inc. Owned


 
AngloGold Ashanti Technical Report Summary for the Arthur Gold Project – current at 31 December 2025 __________________________________________________________________________________________ 26 March 2026 177 B L M S e r i a l N u m b e r C l a i m N a m e C o m p a n y N a m e F i l e d U n d e r I n t e r e s t B L M S e r i a l N u m b e r C l a i m N a m e C o m p a n y N a m e F i l e d U n d e r I n t e r e s t NV105797266 BTY 374 AngloGold Ashanti North America Inc Owned NV101556617 MN299 Corvus Gold Inc. Owned NV105797269 BTY 377 AngloGold Ashanti North America Inc Owned NV101556619 MN301 Corvus Gold Inc. Owned NV105797268 BTY 376 AngloGold Ashanti North America Inc Owned NV101557811 MN305 Corvus Gold Inc. Owned NV105797271 BTY 379 AngloGold Ashanti North America Inc Owned NV101556621 MN303 Corvus Gold Inc. Owned NV105797270 BTY 378 AngloGold Ashanti North America Inc Owned NV101557813 MN307 Corvus Gold Inc. Owned NV105797273 BTY 381 AngloGold Ashanti North America Inc Owned NV101557815 MN309 Corvus Gold Inc. Owned NV105797272 BTY 380 AngloGold Ashanti North America Inc Owned NV101557817 MN311 Corvus Gold Inc. Owned NV105797275 BTY 383 AngloGold Ashanti North America Inc Owned NV101556605 MN287 Corvus Gold Inc. Owned NV105797274 BTY 382 AngloGold Ashanti North America Inc Owned NV101556607 MN289 Corvus Gold Inc. Owned NV105797277 BTY 385 AngloGold Ashanti North America Inc Owned NV101555403 MN264 Corvus Gold Inc. Owned NV105797276 BTY 384 AngloGold Ashanti North America Inc Owned NV101555405 MN266 Corvus Gold Inc. Owned NV105797279 BTY 387 AngloGold Ashanti North America Inc Owned NV101555409 MN270 Corvus Gold Inc. Owned NV105797278 BTY 386 AngloGold Ashanti North America Inc Owned NV101555407 MN268 Corvus Gold Inc. Owned NV105797281 BTY 389 AngloGold Ashanti North America Inc Owned NV101555411 MN272 Corvus Gold Inc. Owned NV105797280 BTY 388 AngloGold Ashanti North America Inc Owned NV101555413 MN274 Corvus Gold Inc. Owned NV105797283 BTY 391 AngloGold Ashanti North America Inc Owned NV101555417 MN278 Corvus Gold Inc. Owned NV105797282 BTY 390 AngloGold Ashanti North America Inc Owned NV101555415 MN276 Corvus Gold Inc. Owned NV105797285 BTY 393 AngloGold Ashanti North America Inc Owned NV101555419 MN280 Corvus Gold Inc. Owned NV105797284 BTY 392 AngloGold Ashanti North America Inc Owned NV101555421 MN282 Corvus Gold Inc. Owned NV105797287 BTY 395 AngloGold Ashanti North America Inc Owned NV101556602 MN284 Corvus Gold Inc. Owned NV105797286 BTY 394 AngloGold Ashanti North America Inc Owned NV101554241 MN260 Corvus Gold Inc. Owned NV105797288 BTY 396 AngloGold Ashanti North America Inc Owned NV101555401 MN262 Corvus Gold Inc. Owned NV105797290 BTY 398 AngloGold Ashanti North America Inc Owned NV101555402 MN263 Corvus Gold Inc. Owned NV105797293 BTY 401 AngloGold Ashanti North America Inc Owned NV101555404 MN265 Corvus Gold Inc. Owned NV105797292 BTY 400 AngloGold Ashanti North America Inc Owned NV101555408 MN269 Corvus Gold Inc. Owned NV105797294 BTY 402 AngloGold Ashanti North America Inc Owned NV101555406 MN267 Corvus Gold Inc. Owned NV105797296 BTY 404 AngloGold Ashanti North America Inc Owned NV101555410 MN271 Corvus Gold Inc. Owned NV105797298 BTY 406 AngloGold Ashanti North America Inc Owned NV101555412 MN273 Corvus Gold Inc. Owned NV105797300 BTY 408 AngloGold Ashanti North America Inc Owned NV101555416 MN277 Corvus Gold Inc. Owned NV105797302 BTY 410 AngloGold Ashanti North America Inc Owned NV101555414 MN275 Corvus Gold Inc. Owned AngloGold Ashanti Technical Report Summary for the Arthur Gold Project – current at 31 December 2025 __________________________________________________________________________________________ 26 March 2026 178 B L M S e r i a l N u m b e r C l a i m N a m e C o m p a n y N a m e F i l e d U n d e r I n t e r e s t B L M S e r i a l N u m b e r C l a i m N a m e C o m p a n y N a m e F i l e d U n d e r I n t e r e s t NV105797304 BTY 412 AngloGold Ashanti North America Inc Owned NV101555418 MN279 Corvus Gold Inc. Owned NV105797776 BTY 884 AngloGold Ashanti North America Inc Owned NV101555420 MN281 Corvus Gold Inc. Owned NV105797424 BTY 532 AngloGold Ashanti North America Inc Owned NV101556601 MN283 Corvus Gold Inc. Owned NV105797425 BTY 533 AngloGold Ashanti North America Inc Owned NV101554240 MN259 Corvus Gold Inc. Owned NV105797426 BTY 534 AngloGold Ashanti North America Inc Owned NV101554242 MN261 Corvus Gold Inc. Owned NV105797427 BTY 535 AngloGold Ashanti North America Inc Owned NV101554223 MN242 Corvus Gold Inc. Owned NV105797428 BTY 536 AngloGold Ashanti North America Inc Owned NV101553221 MN240 Corvus Gold Inc. Owned NV105797429 BTY 537 AngloGold Ashanti North America Inc Owned NV101554225 MN244 Corvus Gold Inc. Owned NV105797437 BTY 545 AngloGold Ashanti North America Inc Owned NV101554227 MN246 Corvus Gold Inc. Owned NV105797435 BTY 543 AngloGold Ashanti North America Inc Owned NV101554231 MN250 Corvus Gold Inc. Owned NV105797434 BTY 542 AngloGold Ashanti North America Inc Owned NV101554229 MN248 Corvus Gold Inc. Owned NV105797433 BTY 541 AngloGold Ashanti North America Inc Owned NV101554233 MN252 Corvus Gold Inc. Owned NV105797432 BTY 540 AngloGold Ashanti North America Inc Owned NV101554235 MN254 Corvus Gold Inc. Owned NV105797438 BTY 546 AngloGold Ashanti North America Inc Owned NV101554239 MN258 Corvus Gold Inc. Owned NV105797441 BTY 549 AngloGold Ashanti North America Inc Owned NV101554237 MN256 Corvus Gold Inc. Owned NV105797442 BTY 550 AngloGold Ashanti North America Inc Owned NV101554222 MN241 Corvus Gold Inc. Owned NV105797436 BTY 544 AngloGold Ashanti North America Inc Owned NV101553220 MN239 Corvus Gold Inc. Owned NV105797439 BTY 547 AngloGold Ashanti North America Inc Owned NV101554224 MN243 Corvus Gold Inc. Owned NV105797440 BTY 548 AngloGold Ashanti North America Inc Owned NV101554226 MN245 Corvus Gold Inc. Owned NV105797471 BTY 579 AngloGold Ashanti North America Inc Owned NV101554230 MN249 Corvus Gold Inc. Owned NV105797472 BTY 580 AngloGold Ashanti North America Inc Owned NV101554228 MN247 Corvus Gold Inc. Owned NV105797473 BTY 581 AngloGold Ashanti North America Inc Owned NV101554232 MN251 Corvus Gold Inc. Owned NV105797474 BTY 582 AngloGold Ashanti North America Inc Owned NV101554234 MN253 Corvus Gold Inc. Owned NV105797475 BTY 583 AngloGold Ashanti North America Inc Owned NV101554236 MN255 Corvus Gold Inc. Owned NV105797476 BTY 584 AngloGold Ashanti North America Inc Owned NV101553203 MN222 Corvus Gold Inc. Owned NV105797477 BTY 585 AngloGold Ashanti North America Inc Owned NV101553201 MN220 Corvus Gold Inc. Owned NV106702068 SI 2002 AngloGold Ashanti North America Inc Owned NV101553205 MN224 Corvus Gold Inc. Owned NV106702073 SI 2007 AngloGold Ashanti North America Inc Owned NV101553207 MN226 Corvus Gold Inc. Owned NV106702069 SI 2003 AngloGold Ashanti North America Inc Owned NV101553211 MN230 Corvus Gold Inc. Owned NV106702070 SI 2004 AngloGold Ashanti North America Inc Owned NV101553209 MN228 Corvus Gold Inc. Owned AngloGold Ashanti Technical Report Summary for the Arthur Gold Project – current at 31 December 2025 __________________________________________________________________________________________ 26 March 2026 179 B L M S e r i a l N u m b e r C l a i m N a m e C o m p a n y N a m e F i l e d U n d e r I n t e r e s t B L M S e r i a l N u m b e r C l a i m N a m e C o m p a n y N a m e F i l e d U n d e r I n t e r e s t NV106702071 SI 2005 AngloGold Ashanti North America Inc Owned NV101553213 MN232 Corvus Gold Inc. Owned NV106702072 SI 2006 AngloGold Ashanti North America Inc Owned NV101553215 MN234 Corvus Gold Inc. Owned NV101762626 CT 218 AngloGold Ashanti North America Inc Owned NV101553217 MN236 Corvus Gold Inc. Owned NV101762624 CT 216 AngloGold Ashanti North America Inc Owned NV101553202 MN221 Corvus Gold Inc. Owned NV101762627 CT 219 AngloGold Ashanti North America Inc Owned NV101552021 MN219 Corvus Gold Inc. Owned NV101762625 CT 217 AngloGold Ashanti North America Inc Owned NV101553204 MN223 Corvus Gold Inc. Owned NV101762630 CT 222 AngloGold Ashanti North America Inc Owned NV101553206 MN225 Corvus Gold Inc. Owned NV101762628 CT 220 AngloGold Ashanti North America Inc Owned NV101553210 MN229 Corvus Gold Inc. Owned NV101762633 CT 225 AngloGold Ashanti North America Inc Owned NV101553208 MN227 Corvus Gold Inc. Owned NV101762631 CT 223 AngloGold Ashanti North America Inc Owned NV101553212 MN231 Corvus Gold Inc. Owned NV101762629 CT 221 AngloGold Ashanti North America Inc Owned NV101553214 MN233 Corvus Gold Inc. Owned NV101840272 CT 258 AngloGold Ashanti North America Inc Owned NV101553216 MN235 Corvus Gold Inc. Owned NV101840270 CT 256 AngloGold Ashanti North America Inc Owned NV101552012 MN210 Corvus Gold Inc. Owned NV101840273 CT 259 AngloGold Ashanti North America Inc Owned NV101552011 MN209 Corvus Gold Inc. Owned NV101840271 CT 257 AngloGold Ashanti North America Inc Owned NV101552013 MN211 Corvus Gold Inc. Owned NV101840278 CT 264 AngloGold Ashanti North America Inc Owned NV101552014 MN212 Corvus Gold Inc. Owned NV101840276 CT 262 AngloGold Ashanti North America Inc Owned NV101552016 MN214 Corvus Gold Inc. Owned NV101840274 CT 260 AngloGold Ashanti North America Inc Owned NV101552015 MN213 Corvus Gold Inc. Owned NV101840279 CT 265 AngloGold Ashanti North America Inc Owned NV101552017 MN215 Corvus Gold Inc. Owned NV101840277 CT 263 AngloGold Ashanti North America Inc Owned NV101552018 MN216 Corvus Gold Inc. Owned NV101840275 CT 261 AngloGold Ashanti North America Inc Owned NV101552008 MN206 Corvus Gold Inc. Owned NV101761211 CT 298 AngloGold Ashanti North America Inc Owned NV101552007 MN205 Corvus Gold Inc. Owned NV101761209 CT 296 AngloGold Ashanti North America Inc Owned NV101552010 MN208 Corvus Gold Inc. Owned NV101761212 CT 299 AngloGold Ashanti North America Inc Owned NV101552009 MN207 Corvus Gold Inc. Owned NV101761210 CT 297 AngloGold Ashanti North America Inc Owned NV101550810 MN187 Corvus Gold Inc. Owned NV101760616 CT 302 AngloGold Ashanti North America Inc Owned NV101550808 MN185 Corvus Gold Inc. Owned NV101761213 CT 300 AngloGold Ashanti North America Inc Owned NV101550812 MN189 Corvus Gold Inc. Owned NV101760617 CT 303 AngloGold Ashanti North America Inc Owned NV101550814 MN191 Corvus Gold Inc. Owned NV101760615 CT 301 AngloGold Ashanti North America Inc Owned NV101550818 MN195 Corvus Gold Inc. Owned NV101761457 CT 342 AngloGold Ashanti North America Inc Owned NV101550816 MN193 Corvus Gold Inc. Owned AngloGold Ashanti Technical Report Summary for the Arthur Gold Project – current at 31 December 2025 __________________________________________________________________________________________ 26 March 2026 180 B L M S e r i a l N u m b e r C l a i m N a m e C o m p a n y N a m e F i l e d U n d e r I n t e r e s t B L M S e r i a l N u m b e r C l a i m N a m e C o m p a n y N a m e F i l e d U n d e r I n t e r e s t NV101761455 CT 340 AngloGold Ashanti North America Inc Owned NV101550820 MN197 Corvus Gold Inc. Owned NV101761458 CT 343 AngloGold Ashanti North America Inc Owned NV101552001 MN199 Corvus Gold Inc. Owned NV101761456 CT 341 AngloGold Ashanti North America Inc Owned NV101550809 MN186 Corvus Gold Inc. Owned NV101839827 CT 376 AngloGold Ashanti North America Inc Owned NV101550807 MN184 Corvus Gold Inc. Owned NV101761453 CT 338 AngloGold Ashanti North America Inc Owned NV101550811 MN188 Corvus Gold Inc. Owned NV101761454 CT 339 AngloGold Ashanti North America Inc Owned NV101550813 MN190 Corvus Gold Inc. Owned NV101761451 CT 336 AngloGold Ashanti North America Inc Owned NV101550817 MN194 Corvus Gold Inc. Owned NV101761452 CT 337 AngloGold Ashanti North America Inc Owned NV101550815 MN192 Corvus Gold Inc. Owned NV101575523 TF 2 AngloGold Ashanti North America Inc Owned NV101550819 MN196 Corvus Gold Inc. Owned NV101575524 TF 3 AngloGold Ashanti North America Inc Owned NV101550821 MN198 Corvus Gold Inc. Owned NV101575525 TF 4 AngloGold Ashanti North America Inc Owned NV101552002 MN200 Corvus Gold Inc. Owned NV101575526 TF 5 AngloGold Ashanti North America Inc Owned NV101869802 MN164 Corvus Gold Inc. Owned NV101575527 TF 6 AngloGold Ashanti North America Inc Owned NV101869634 MN162 Corvus Gold Inc. Owned NV101575528 TF 7 AngloGold Ashanti North America Inc Owned NV101869804 MN166 Corvus Gold Inc. Owned NV101575529 TF 8 AngloGold Ashanti North America Inc Owned NV101869806 MN168 Corvus Gold Inc. Owned NV101575530 TF 9 AngloGold Ashanti North America Inc Owned NV101869810 MN172 Corvus Gold Inc. Owned NV101576691 TF 10 AngloGold Ashanti North America Inc Owned NV101869808 MN170 Corvus Gold Inc. Owned NV101576692 TF 11 AngloGold Ashanti North America Inc Owned NV101869812 MN174 Corvus Gold Inc. Owned NV101576693 TF 12 AngloGold Ashanti North America Inc Owned NV101869814 MN176 Corvus Gold Inc. Owned NV101576694 TF 13 AngloGold Ashanti North America Inc Owned NV101550806 MN183 Corvus Gold Inc. Owned NV101576695 TF 14 AngloGold Ashanti North America Inc Owned NV101550805 MN182 Corvus Gold Inc. Owned NV101576696 TF 15 AngloGold Ashanti North America Inc Owned NV101869632 MN160 Corvus Gold Inc. Owned NV101576697 TF 16 AngloGold Ashanti North America Inc Owned NV101712403 MN399 Corvus Gold Inc. Owned NV101576698 TF 17 AngloGold Ashanti North America Inc Owned NV101712404 MN400 Corvus Gold Inc. Owned NV101642925 SI 376 AngloGold Ashanti North America Inc Owned NV101712405 MN401 Corvus Gold Inc. Owned NV101644137 SI 389 AngloGold Ashanti North America Inc Owned NV101712406 MN402 Corvus Gold Inc. Owned NV101644135 SI 387 AngloGold Ashanti North America Inc Owned NV101712408 MN404 Corvus Gold Inc. Owned NV101642921 SI 372 AngloGold Ashanti North America Inc Owned NV101712409 MN405 Corvus Gold Inc. Owned NV101644131 SI 383 AngloGold Ashanti North America Inc Owned NV101712410 MN406 Corvus Gold Inc. Owned NV101642924 SI 375 AngloGold Ashanti North America Inc Owned NV101712411 MN407 Corvus Gold Inc. Owned


 
AngloGold Ashanti Technical Report Summary for the Arthur Gold Project – current at 31 December 2025 __________________________________________________________________________________________ 26 March 2026 181 B L M S e r i a l N u m b e r C l a i m N a m e C o m p a n y N a m e F i l e d U n d e r I n t e r e s t B L M S e r i a l N u m b e r C l a i m N a m e C o m p a n y N a m e F i l e d U n d e r I n t e r e s t NV101642922 SI 373 AngloGold Ashanti North America Inc Owned NV101712412 MN408 Corvus Gold Inc. Owned NV101642918 SI 369 AngloGold Ashanti North America Inc Owned NV101713422 MN409 Corvus Gold Inc. Owned NV101642920 SI 371 AngloGold Ashanti North America Inc Owned NV101713423 MN410 Corvus Gold Inc. Owned NV101644133 SI 385 AngloGold Ashanti North America Inc Owned NV101713424 MN411 Corvus Gold Inc. Owned NV101642919 SI 370 AngloGold Ashanti North America Inc Owned NV101713425 MN412 Corvus Gold Inc. Owned NV101644130 SI 382 AngloGold Ashanti North America Inc Owned NV101713426 MN413 Corvus Gold Inc. Owned NV101644145 SI 397 AngloGold Ashanti North America Inc Owned NV101713427 MN414 Corvus Gold Inc. Owned NV101644143 SI 395 AngloGold Ashanti North America Inc Owned NV101712407 MN403 Corvus Gold Inc. Owned NV101644128 SI 380 AngloGold Ashanti North America Inc Owned NV101869803 MN165 Corvus Gold Inc. Owned NV101644139 SI 391 AngloGold Ashanti North America Inc Owned NV101869801 MN163 Corvus Gold Inc. Owned NV101642926 SI 377 AngloGold Ashanti North America Inc Owned NV101869805 MN167 Corvus Gold Inc. Owned NV101644127 SI 379 AngloGold Ashanti North America Inc Owned NV101869807 MN169 Corvus Gold Inc. Owned NV101644141 SI 393 AngloGold Ashanti North America Inc Owned NV101869811 MN173 Corvus Gold Inc. Owned NV101642927 SI 378 AngloGold Ashanti North America Inc Owned NV101869809 MN171 Corvus Gold Inc. Owned NV101645427 SI 407 AngloGold Ashanti North America Inc Owned NV101869813 MN175 Corvus Gold Inc. Owned NV101645428 SI 408 AngloGold Ashanti North America Inc Owned NV101869815 MN177 Corvus Gold Inc. Owned NV101645426 SI 406 AngloGold Ashanti North America Inc Owned NV101550802 MN179 Corvus Gold Inc. Owned NV101645423 SI 403 AngloGold Ashanti North America Inc Owned NV101869633 MN161 Corvus Gold Inc. Owned NV101645422 SI 402 AngloGold Ashanti North America Inc Owned NV101634405 MN 98 Corvus Gold Inc. Owned NV101644140 SI 392 AngloGold Ashanti North America Inc Owned NV101634401 MN 94 Corvus Gold Inc. Owned NV101644138 SI 390 AngloGold Ashanti North America Inc Owned NV101634403 MN 96 Corvus Gold Inc. Owned NV101644134 SI 386 AngloGold Ashanti North America Inc Owned NV101634410 MN 103 Corvus Gold Inc. Owned NV101644136 SI 388 AngloGold Ashanti North America Inc Owned NV101634407 MN 100 Corvus Gold Inc. Owned NV101645424 SI 404 AngloGold Ashanti North America Inc Owned NV101634409 MN 102 Corvus Gold Inc. Owned NV101645421 SI 401 AngloGold Ashanti North America Inc Owned NV101634411 MN 104 Corvus Gold Inc. Owned NV101645435 SI 415 AngloGold Ashanti North America Inc Owned NV101635506 MN 105 Corvus Gold Inc. Owned NV101645434 SI 414 AngloGold Ashanti North America Inc Owned NV101634408 MN 101 Corvus Gold Inc. Owned NV101645431 SI 411 AngloGold Ashanti North America Inc Owned NV101760506 MN-416 Corvus Gold Inc. Owned NV101645430 SI 410 AngloGold Ashanti North America Inc Owned NV101760505 MN-415 Corvus Gold Inc. Owned NV101645420 SI 400 AngloGold Ashanti North America Inc Owned NV101760870 MN-417 Corvus Gold Inc. Owned AngloGold Ashanti Technical Report Summary for the Arthur Gold Project – current at 31 December 2025 __________________________________________________________________________________________ 26 March 2026 182 B L M S e r i a l N u m b e r C l a i m N a m e C o m p a n y N a m e F i l e d U n d e r I n t e r e s t B L M S e r i a l N u m b e r C l a i m N a m e C o m p a n y N a m e F i l e d U n d e r I n t e r e s t NV101644146 SI 398 AngloGold Ashanti North America Inc Owned NV101760871 MN-418 Corvus Gold Inc. Owned NV101644142 SI 394 AngloGold Ashanti North America Inc Owned NV101760872 MN-419 Corvus Gold Inc. Owned NV101644144 SI 396 AngloGold Ashanti North America Inc Owned NV101760873 MN-420 Corvus Gold Inc. Owned NV101645432 SI 412 AngloGold Ashanti North America Inc Owned NV101760874 MN-421 Corvus Gold Inc. Owned NV101645429 SI 409 AngloGold Ashanti North America Inc Owned NV101760875 MN-422 Corvus Gold Inc. Owned NV101645440 SI 420 AngloGold Ashanti North America Inc Owned NV101760876 MN-423 Corvus Gold Inc. Owned NV101645439 SI 419 AngloGold Ashanti North America Inc Owned NV101760877 MN-424 Corvus Gold Inc. Owned NV101645437 SI 417 AngloGold Ashanti North America Inc Owned NV101760878 MN-425 Corvus Gold Inc. Owned NV101645438 SI 418 AngloGold Ashanti North America Inc Owned NV101760879 MN-426 Corvus Gold Inc. Owned NV101644129 SI 381 AngloGold Ashanti North America Inc Owned NV101634406 MN 99 Corvus Gold Inc. Owned NV101644147 SI 399 AngloGold Ashanti North America Inc Owned NV101634404 MN 97 Corvus Gold Inc. Owned NV101644132 SI 384 AngloGold Ashanti North America Inc Owned NV101634402 MN 95 Corvus Gold Inc. Owned NV101645436 SI 416 AngloGold Ashanti North America Inc Owned NV101634316 MN 93 Corvus Gold Inc. Owned NV101646675 SI 424 AngloGold Ashanti North America Inc Owned NV101634314 MN 91 Corvus Gold Inc. Owned NV101646674 SI 423 AngloGold Ashanti North America Inc Owned NV101634312 MN 89 Corvus Gold Inc. Owned NV101646672 SI 421 AngloGold Ashanti North America Inc Owned NV101634310 MN 87 Corvus Gold Inc. Owned NV101646673 SI 422 AngloGold Ashanti North America Inc Owned NV101634308 MN 85 Corvus Gold Inc. Owned NV101646676 SI 425 AngloGold Ashanti North America Inc Owned NV101633263 MN 83 Corvus Gold Inc. Owned NV101649221 SI 474 AngloGold Ashanti North America Inc Owned NV101633261 MN 81 Corvus Gold Inc. Owned NV101649219 SI 472 AngloGold Ashanti North America Inc Owned NV101633259 MN 79 Corvus Gold Inc. Owned NV101649220 SI 473 AngloGold Ashanti North America Inc Owned NV101633257 MN 77 Corvus Gold Inc. Owned NV101640496 SI 319 AngloGold Ashanti North America Inc Owned NV101633256 MN 76 Corvus Gold Inc. Owned NV101640497 SI 320 AngloGold Ashanti North America Inc Owned NV101633258 MN 78 Corvus Gold Inc. Owned NV101640495 SI 318 AngloGold Ashanti North America Inc Owned NV101634311 MN 88 Corvus Gold Inc. Owned NV101789449 SI 315 AngloGold Ashanti North America Inc Owned NV101634309 MN 86 Corvus Gold Inc. Owned NV101789448 SI 314 AngloGold Ashanti North America Inc Owned NV101634307 MN 84 Corvus Gold Inc. Owned NV101789438 SI 304 AngloGold Ashanti North America Inc Owned NV101633262 MN 82 Corvus Gold Inc. Owned NV101789437 SI 303 AngloGold Ashanti North America Inc Owned NV101633260 MN 80 Corvus Gold Inc. Owned NV101789435 SI 301 AngloGold Ashanti North America Inc Owned NV101633255 MN 75 Corvus Gold Inc. Owned NV101789436 SI 302 AngloGold Ashanti North America Inc Owned NV101633254 MN 74 Corvus Gold Inc. Owned AngloGold Ashanti Technical Report Summary for the Arthur Gold Project – current at 31 December 2025 __________________________________________________________________________________________ 26 March 2026 183 B L M S e r i a l N u m b e r C l a i m N a m e C o m p a n y N a m e F i l e d U n d e r I n t e r e s t B L M S e r i a l N u m b e r C l a i m N a m e C o m p a n y N a m e F i l e d U n d e r I n t e r e s t NV101640493 SI 316 AngloGold Ashanti North America Inc Owned NV101633253 MN 73 Corvus Gold Inc. Owned NV101789447 SI 313 AngloGold Ashanti North America Inc Owned NV101633252 MN 72 Corvus Gold Inc. Owned NV101640607 SI 327 AngloGold Ashanti North America Inc Owned NV101633251 MN 71 Corvus Gold Inc. Owned NV101640608 SI 328 AngloGold Ashanti North America Inc Owned NV101633246 MN 66 Corvus Gold Inc. Owned NV101640606 SI 326 AngloGold Ashanti North America Inc Owned NV101633244 MN 64 Corvus Gold Inc. Owned NV101640603 SI 323 AngloGold Ashanti North America Inc Owned NV101630463 MN 62 Corvus Gold Inc. Owned NV101640602 SI 322 AngloGold Ashanti North America Inc Owned NV101630461 MN 60 Corvus Gold Inc. Owned NV101789442 SI 308 AngloGold Ashanti North America Inc Owned NV101630459 MN 58 Corvus Gold Inc. Owned NV101789441 SI 307 AngloGold Ashanti North America Inc Owned NV101633245 MN 65 Corvus Gold Inc. Owned NV101789439 SI 305 AngloGold Ashanti North America Inc Owned NV101633243 MN 63 Corvus Gold Inc. Owned NV101789440 SI 306 AngloGold Ashanti North America Inc Owned NV101630462 MN 61 Corvus Gold Inc. Owned NV101640604 SI 324 AngloGold Ashanti North America Inc Owned NV101630460 MN 59 Corvus Gold Inc. Owned NV101640601 SI 321 AngloGold Ashanti North America Inc Owned NV101630458 MN 57 Corvus Gold Inc. Owned NV101641720 SI 350 AngloGold Ashanti North America Inc Owned NV101598870 MN 48 Corvus Gold Inc. Owned NV101641716 SI 346 AngloGold Ashanti North America Inc Owned NV101598868 MN 46 Corvus Gold Inc. Owned NV101641719 SI 349 AngloGold Ashanti North America Inc Owned NV101598866 MN 44 Corvus Gold Inc. Owned NV101641717 SI 347 AngloGold Ashanti North America Inc Owned NV101598864 MN 42 Corvus Gold Inc. Owned NV101641713 SI 343 AngloGold Ashanti North America Inc Owned NV101598862 MN 40 Corvus Gold Inc. Owned NV101641715 SI 345 AngloGold Ashanti North America Inc Owned NV101598869 MN 47 Corvus Gold Inc. Owned NV101641714 SI 344 AngloGold Ashanti North America Inc Owned NV101598867 MN 45 Corvus Gold Inc. Owned NV101642923 SI 374 AngloGold Ashanti North America Inc Owned NV101598865 MN 43 Corvus Gold Inc. Owned NV101640609 SI 329 AngloGold Ashanti North America Inc Owned NV101598863 MN 41 Corvus Gold Inc. Owned NV101640610 SI 330 AngloGold Ashanti North America Inc Owned NV101598861 MN 39 Corvus Gold Inc. Owned NV101789443 SI 309 AngloGold Ashanti North America Inc Owned NV101633247 MN 67 Corvus Gold Inc. Owned NV101640611 SI 331 AngloGold Ashanti North America Inc Owned NV101633248 MN 68 Corvus Gold Inc. Owned NV101640612 SI 332 AngloGold Ashanti North America Inc Owned NV101633250 MN 70 Corvus Gold Inc. Owned NV101789444 SI 310 AngloGold Ashanti North America Inc Owned NV101633249 MN 69 Corvus Gold Inc. Owned NV101789445 SI 311 AngloGold Ashanti North America Inc Owned NV101598872 MN 50 Corvus Gold Inc. Owned NV101789446 SI 312 AngloGold Ashanti North America Inc Owned NV101630453 MN 52 Corvus Gold Inc. Owned NV101640613 SI 333 AngloGold Ashanti North America Inc Owned NV101630457 MN 56 Corvus Gold Inc. Owned AngloGold Ashanti Technical Report Summary for the Arthur Gold Project – current at 31 December 2025 __________________________________________________________________________________________ 26 March 2026 184 B L M S e r i a l N u m b e r C l a i m N a m e C o m p a n y N a m e F i l e d U n d e r I n t e r e s t B L M S e r i a l N u m b e r C l a i m N a m e C o m p a n y N a m e F i l e d U n d e r I n t e r e s t NV101641709 SI 339 AngloGold Ashanti North America Inc Owned NV101630455 MN 54 Corvus Gold Inc. Owned NV101641711 SI 341 AngloGold Ashanti North America Inc Owned NV101598871 MN 49 Corvus Gold Inc. Owned NV101641721 SI 351 AngloGold Ashanti North America Inc Owned NV101630452 MN 51 Corvus Gold Inc. Owned NV101641710 SI 340 AngloGold Ashanti North America Inc Owned NV101630456 MN 55 Corvus Gold Inc. Owned NV101641712 SI 342 AngloGold Ashanti North America Inc Owned NV101630454 MN 53 Corvus Gold Inc. Owned NV101641722 SI 352 AngloGold Ashanti North America Inc Owned NV101598854 MN 32 Corvus Gold Inc. Owned NV101641723 SI 353 AngloGold Ashanti North America Inc Owned NV101598856 MN 34 Corvus Gold Inc. Owned NV101641724 SI 354 AngloGold Ashanti North America Inc Owned NV101598860 MN 38 Corvus Gold Inc. Owned NV101641725 SI 355 AngloGold Ashanti North America Inc Owned NV101598858 MN 36 Corvus Gold Inc. Owned NV101641726 SI 356 AngloGold Ashanti North America Inc Owned NV101598853 MN 31 Corvus Gold Inc. Owned NV101640615 SI 335 AngloGold Ashanti North America Inc Owned NV101598855 MN 33 Corvus Gold Inc. Owned NV101640614 SI 334 AngloGold Ashanti North America Inc Owned NV101598859 MN 37 Corvus Gold Inc. Owned NV101640616 SI 336 AngloGold Ashanti North America Inc Owned NV101598857 MN 35 Corvus Gold Inc. Owned NV101641707 SI 337 AngloGold Ashanti North America Inc Owned NV101634315 MN 92 Corvus Gold Inc. Owned NV101641708 SI 338 AngloGold Ashanti North America Inc Owned NV101634313 MN 90 Corvus Gold Inc. Owned NV101641727 SI 357 AngloGold Ashanti North America Inc Owned NV101788264 ME-19 Corvus Gold Inc. Owned NV101642907 SI 358 AngloGold Ashanti North America Inc Owned NV101717844 SNAKE 1 AngloGold Ashanti North America Inc Owned NV101642909 SI 360 AngloGold Ashanti North America Inc Owned NV101717845 SNAKE 2 AngloGold Ashanti North America Inc Owned NV101642908 SI 359 AngloGold Ashanti North America Inc Owned NV101717846 SNAKE 3 AngloGold Ashanti North America Inc Owned NV101642910 SI 361 AngloGold Ashanti North America Inc Owned NV101717847 SNAKE 4 AngloGold Ashanti North America Inc Owned NV101642911 SI 362 AngloGold Ashanti North America Inc Owned NV101717848 SNAKE 5 AngloGold Ashanti North America Inc Owned NV101642912 SI 363 AngloGold Ashanti North America Inc Owned NV101717849 SNAKE 6 AngloGold Ashanti North America Inc Owned NV101642913 SI 364 AngloGold Ashanti North America Inc Owned NV101717850 SNAKE 7 AngloGold Ashanti North America Inc Owned NV101642914 SI 365 AngloGold Ashanti North America Inc Owned NV101717851 SNAKE 8 AngloGold Ashanti North America Inc Owned NV101642915 SI 366 AngloGold Ashanti North America Inc Owned NV101717852 SNAKE 9 AngloGold Ashanti North America Inc Owned NV101642917 SI 368 AngloGold Ashanti North America Inc Owned NV101717853 SNAKE 10 AngloGold Ashanti North America Inc Owned NV101642916 SI 367 AngloGold Ashanti North America Inc Owned NV101717854 SNAKE 11 AngloGold Ashanti North America Inc Owned NV101646688 SI 437 AngloGold Ashanti North America Inc Owned NV101717855 SNAKE 12 AngloGold Ashanti North America Inc Owned NV101646690 SI 439 AngloGold Ashanti North America Inc Owned NV101717856 SNAKE 13 AngloGold Ashanti North America Inc Owned NV101646692 SI 441 AngloGold Ashanti North America Inc Owned NV101717857 SNAKE 14 AngloGold Ashanti North America Inc Owned


 
AngloGold Ashanti Technical Report Summary for the Arthur Gold Project – current at 31 December 2025 __________________________________________________________________________________________ 26 March 2026 185 B L M S e r i a l N u m b e r C l a i m N a m e C o m p a n y N a m e F i l e d U n d e r I n t e r e s t B L M S e r i a l N u m b e r C l a i m N a m e C o m p a n y N a m e F i l e d U n d e r I n t e r e s t NV101646687 SI 436 AngloGold Ashanti North America Inc Owned NV101717858 SNAKE 15 AngloGold Ashanti North America Inc Owned NV101646689 SI 438 AngloGold Ashanti North America Inc Owned NV101717859 SNAKE 16 AngloGold Ashanti North America Inc Owned NV101646691 SI 440 AngloGold Ashanti North America Inc Owned NV101717860 SNAKE 17 AngloGold Ashanti North America Inc Owned NV101647922 SI 444 AngloGold Ashanti North America Inc Owned NV101435644 BX #104 Coeur Sterling LLC Owned NV101647923 SI 445 AngloGold Ashanti North America Inc Owned NV101435640 BX #100 Coeur Sterling LLC Owned NV101647924 SI 446 AngloGold Ashanti North America Inc Owned NV101435643 BX #103 Coeur Sterling LLC Owned NV101647920 SI 442 AngloGold Ashanti North America Inc Owned NV101435641 BX #101 Coeur Sterling LLC Owned NV101647921 SI 443 AngloGold Ashanti North America Inc Owned NV101435639 BX #98 Coeur Sterling LLC Owned NV101646686 SI 435 AngloGold Ashanti North America Inc Owned NV101435642 BX #102 Coeur Sterling LLC Owned NV101646681 SI 430 AngloGold Ashanti North America Inc Owned NV101435652 BX #112 Coeur Sterling LLC Owned NV101646682 SI 431 AngloGold Ashanti North America Inc Owned NV101435648 BX #108 Coeur Sterling LLC Owned NV101646683 SI 432 AngloGold Ashanti North America Inc Owned NV101435651 BX #111 Coeur Sterling LLC Owned NV101646684 SI 433 AngloGold Ashanti North America Inc Owned NV101435649 BX #109 Coeur Sterling LLC Owned NV101646685 SI 434 AngloGold Ashanti North America Inc Owned NV101435645 BX #105 Coeur Sterling LLC Owned NV101646677 SI 426 AngloGold Ashanti North America Inc Owned NV101435647 BX #107 Coeur Sterling LLC Owned NV101646679 SI 428 AngloGold Ashanti North America Inc Owned NV101435646 BX #106 Coeur Sterling LLC Owned NV101646678 SI 427 AngloGold Ashanti North America Inc Owned NV101435650 BX #110 Coeur Sterling LLC Owned NV101646680 SI 429 AngloGold Ashanti North America Inc Owned NV101436465 BX #116 Coeur Sterling LLC Owned NV101647925 SI 447 AngloGold Ashanti North America Inc Owned NV101436466 BX #117 Coeur Sterling LLC Owned NV101647926 SI 448 AngloGold Ashanti North America Inc Owned NV101435653 BX #113 Coeur Sterling LLC Owned NV101647927 SI 449 AngloGold Ashanti North America Inc Owned NV101435801 BX #115 Coeur Sterling LLC Owned NV101647928 SI 450 AngloGold Ashanti North America Inc Owned NV101435654 BX #114 Coeur Sterling LLC Owned NV101647929 SI 451 AngloGold Ashanti North America Inc Owned NV101436467 BX #118 Coeur Sterling LLC Owned NV101647933 SI 455 AngloGold Ashanti North America Inc Owned NV101436470 BX #121 Coeur Sterling LLC Owned NV101647935 SI 457 AngloGold Ashanti North America Inc Owned NV105791456 BX 122A Coeur Sterling LLC Owned NV101647937 SI 459 AngloGold Ashanti North America Inc Owned NV101436475 BX #132 Coeur Sterling LLC Owned NV101647939 SI 461 AngloGold Ashanti North America Inc Owned NV101436473 BX #130 Coeur Sterling LLC Owned NV101649210 SI 463 AngloGold Ashanti North America Inc Owned NV101374503 BX #140 Coeur Sterling LLC Owned NV101647932 SI 454 AngloGold Ashanti North America Inc Owned NV101436481 BX #138 Coeur Sterling LLC Owned NV101647934 SI 456 AngloGold Ashanti North America Inc Owned NV101436477 BX #134 Coeur Sterling LLC Owned AngloGold Ashanti Technical Report Summary for the Arthur Gold Project – current at 31 December 2025 __________________________________________________________________________________________ 26 March 2026 186 B L M S e r i a l N u m b e r C l a i m N a m e C o m p a n y N a m e F i l e d U n d e r I n t e r e s t B L M S e r i a l N u m b e r C l a i m N a m e C o m p a n y N a m e F i l e d U n d e r I n t e r e s t NV101647936 SI 458 AngloGold Ashanti North America Inc Owned NV101436479 BX #136 Coeur Sterling LLC Owned NV101647938 SI 460 AngloGold Ashanti North America Inc Owned NV101436474 BX #131 Coeur Sterling LLC Owned NV101647940 SI 462 AngloGold Ashanti North America Inc Owned NV101374502 BX #139 Coeur Sterling LLC Owned NV101649212 SI 465 AngloGold Ashanti North America Inc Owned NV101436480 BX #137 Coeur Sterling LLC Owned NV101649213 SI 466 AngloGold Ashanti North America Inc Owned NV101436476 BX #133 Coeur Sterling LLC Owned NV101649214 SI 467 AngloGold Ashanti North America Inc Owned NV101436478 BX #135 Coeur Sterling LLC Owned NV101649215 SI 468 AngloGold Ashanti North America Inc Owned NV101436472 BX #128 Coeur Sterling LLC Owned NV101649216 SI 469 AngloGold Ashanti North America Inc Owned NV101373113 BX #204 Coeur Sterling LLC Owned NV101647931 SI 453 AngloGold Ashanti North America Inc Owned NV101373111 BX #202 Coeur Sterling LLC Owned NV101647930 SI 452 AngloGold Ashanti North America Inc Owned NV101373121 BX #212 Coeur Sterling LLC Owned NV101649211 SI 464 AngloGold Ashanti North America Inc Owned NV101373119 BX #210 Coeur Sterling LLC Owned NV101649218 SI 471 AngloGold Ashanti North America Inc Owned NV101373115 BX #206 Coeur Sterling LLC Owned NV101649217 SI 470 AngloGold Ashanti North America Inc Owned NV101373117 BX #208 Coeur Sterling LLC Owned NV101787231 SI-232 AngloGold Ashanti North America Inc Owned NV101373127 BX #218 Coeur Sterling LLC Owned NV101787230 SI-230 AngloGold Ashanti North America Inc Owned NV101373123 BX #214 Coeur Sterling LLC Owned NV101787229 SI-228 AngloGold Ashanti North America Inc Owned NV101373125 BX #216 Coeur Sterling LLC Owned NV101741982 SI-01 AngloGold Ashanti North America Inc Owned NV101374506 BX #151 Coeur Sterling LLC Owned NV101787228 SI-223 AngloGold Ashanti North America Inc Owned NV101374604 BX #159 Coeur Sterling LLC Owned NV101787227 SI-222 AngloGold Ashanti North America Inc Owned NV101374508 BX #153 Coeur Sterling LLC Owned NV101849269 SI-127 AngloGold Ashanti North America Inc Owned NV101374510 BX #155 Coeur Sterling LLC Owned NV101787226 SI-220 AngloGold Ashanti North America Inc Owned NV101374602 BX #157 Coeur Sterling LLC Owned NV101787225 SI-219 AngloGold Ashanti North America Inc Owned NV101374507 BX #152 Coeur Sterling LLC Owned NV101741985 SI-04 AngloGold Ashanti North America Inc Owned NV101374605 BX #160 Coeur Sterling LLC Owned NV101741984 SI-03 AngloGold Ashanti North America Inc Owned NV101374509 BX #154 Coeur Sterling LLC Owned NV101741983 SI-02 AngloGold Ashanti North America Inc Owned NV101374601 BX #156 Coeur Sterling LLC Owned NV101741988 SI-16 AngloGold Ashanti North America Inc Owned NV101374603 BX #158 Coeur Sterling LLC Owned NV101741987 SI-15 AngloGold Ashanti North America Inc Owned NV101374499 BX #91 Coeur Sterling LLC Owned NV101741986 SI-14 AngloGold Ashanti North America Inc Owned NV101374500 BX #93 Coeur Sterling LLC Owned NV101857771 SI-19 AngloGold Ashanti North America Inc Owned NV101374501 BX #95 Coeur Sterling LLC Owned NV101741990 SI-18 AngloGold Ashanti North America Inc Owned NV101435125 BX #88 Coeur Sterling LLC Owned AngloGold Ashanti Technical Report Summary for the Arthur Gold Project – current at 31 December 2025 __________________________________________________________________________________________ 26 March 2026 187 B L M S e r i a l N u m b e r C l a i m N a m e C o m p a n y N a m e F i l e d U n d e r I n t e r e s t B L M S e r i a l N u m b e r C l a i m N a m e C o m p a n y N a m e F i l e d U n d e r I n t e r e s t NV101741989 SI-17 AngloGold Ashanti North America Inc Owned NV101435638 BX #96 Coeur Sterling LLC Owned NV101857774 SI-22 AngloGold Ashanti North America Inc Owned NV101435635 BX #90 Coeur Sterling LLC Owned NV101857773 SI-21 AngloGold Ashanti North America Inc Owned NV101435636 BX #92 Coeur Sterling LLC Owned NV101857772 SI-20 AngloGold Ashanti North America Inc Owned NV101435637 BX #94 Coeur Sterling LLC Owned NV101741992 SI-28 AngloGold Ashanti North America Inc Owned NV101435118 BX #61 Coeur Sterling LLC Owned NV101741991 SI-27 AngloGold Ashanti North America Inc Owned NV101435120 BX #63 Coeur Sterling LLC Owned NV101787224 SI-218 AngloGold Ashanti North America Inc Owned NV101373112 BX #203 Coeur Sterling LLC Owned NV101741995 SI-31 AngloGold Ashanti North America Inc Owned NV101373110 BX #201 Coeur Sterling LLC Owned NV101741994 SI-30 AngloGold Ashanti North America Inc Owned NV101373120 BX #211 Coeur Sterling LLC Owned NV101741993 SI-29 AngloGold Ashanti North America Inc Owned NV101373118 BX #209 Coeur Sterling LLC Owned NV101741997 SI-46 AngloGold Ashanti North America Inc Owned NV101373114 BX #205 Coeur Sterling LLC Owned NV101380189 SI-45 AngloGold Ashanti North America Inc Owned NV101373116 BX #207 Coeur Sterling LLC Owned NV101380188 SI-44 AngloGold Ashanti North America Inc Owned NV101373126 BX #217 Coeur Sterling LLC Owned NV101380196 SI-61 AngloGold Ashanti North America Inc Owned NV101373122 BX #213 Coeur Sterling LLC Owned NV101380195 SI-60 AngloGold Ashanti North America Inc Owned NV101373124 BX #215 Coeur Sterling LLC Owned NV101380190 SI-59 AngloGold Ashanti North America Inc Owned NV101373886 BX #224 Coeur Sterling LLC Owned NV101849266 SI-64 AngloGold Ashanti North America Inc Owned NV101373884 BX #222 Coeur Sterling LLC Owned NV101849265 SI-63 AngloGold Ashanti North America Inc Owned NV101373894 BX #232 Coeur Sterling LLC Owned NV101380197 SI-62 AngloGold Ashanti North America Inc Owned NV101373892 BX #230 Coeur Sterling LLC Owned NV101742000 SI-49 AngloGold Ashanti North America Inc Owned NV101373888 BX #226 Coeur Sterling LLC Owned NV101741999 SI-48 AngloGold Ashanti North America Inc Owned NV101373890 BX #228 Coeur Sterling LLC Owned NV101741998 SI-47 AngloGold Ashanti North America Inc Owned NV101373900 BX #238 Coeur Sterling LLC Owned NV101853186 SI-52 AngloGold Ashanti North America Inc Owned NV101373896 BX #234 Coeur Sterling LLC Owned NV101853185 SI-51 AngloGold Ashanti North America Inc Owned NV101373898 BX #236 Coeur Sterling LLC Owned NV101853184 SI-50 AngloGold Ashanti North America Inc Owned NV101373885 BX #223 Coeur Sterling LLC Owned NV101853189 SI-67 AngloGold Ashanti North America Inc Owned NV101373883 BX #221 Coeur Sterling LLC Owned NV101853188 SI-66 AngloGold Ashanti North America Inc Owned NV101373893 BX #231 Coeur Sterling LLC Owned NV101853187 SI-65 AngloGold Ashanti North America Inc Owned NV101373891 BX #229 Coeur Sterling LLC Owned NV101849263 SI-53 AngloGold Ashanti North America Inc Owned NV101373887 BX #225 Coeur Sterling LLC Owned NV101857769 SI-12 AngloGold Ashanti North America Inc Owned NV101373889 BX #227 Coeur Sterling LLC Owned AngloGold Ashanti Technical Report Summary for the Arthur Gold Project – current at 31 December 2025 __________________________________________________________________________________________ 26 March 2026 188 B L M S e r i a l N u m b e r C l a i m N a m e C o m p a n y N a m e F i l e d U n d e r I n t e r e s t B L M S e r i a l N u m b e r C l a i m N a m e C o m p a n y N a m e F i l e d U n d e r I n t e r e s t NV101857768 SI-11 AngloGold Ashanti North America Inc Owned NV101373899 BX #237 Coeur Sterling LLC Owned NV101857767 SI-10 AngloGold Ashanti North America Inc Owned NV101373895 BX #233 Coeur Sterling LLC Owned NV101857777 SI-25 AngloGold Ashanti North America Inc Owned NV101373897 BX #235 Coeur Sterling LLC Owned NV101857776 SI-24 AngloGold Ashanti North America Inc Owned NV101365822 PC 06 Coeur Sterling LLC Owned NV101857775 SI-23 AngloGold Ashanti North America Inc Owned NV101365043 PC 01 Coeur Sterling LLC Owned NV101853181 SI-34 AngloGold Ashanti North America Inc Owned NV101365821 PC 05 Coeur Sterling LLC Owned NV101853180 SI-33 AngloGold Ashanti North America Inc Owned NV101365044 PC 02 Coeur Sterling LLC Owned NV101857779 SI-32 AngloGold Ashanti North America Inc Owned NV101365819 PC 03 Coeur Sterling LLC Owned NV101741996 SI-37 AngloGold Ashanti North America Inc Owned NV101365820 PC 04 Coeur Sterling LLC Owned NV101853183 SI-36 AngloGold Ashanti North America Inc Owned NV101365823 PC 07 Coeur Sterling LLC Owned NV101853182 SI-35 AngloGold Ashanti North America Inc Owned NV101500166 BX #285 Coeur Sterling LLC Owned NV101380185 SI-38 AngloGold Ashanti North America Inc Owned NV101365824 PC 08 Coeur Sterling LLC Owned NV101857770 SI-13 AngloGold Ashanti North America Inc Owned NV101500167 BX #287 Coeur Sterling LLC Owned NV101857778 SI-26 AngloGold Ashanti North America Inc Owned NV101365826 PC 10 Coeur Sterling LLC Owned NV101380186 SI-39 AngloGold Ashanti North America Inc Owned NV101365825 PC 09 Coeur Sterling LLC Owned NV101380187 SI-40 AngloGold Ashanti North America Inc Owned NV101376008 BX #27 Coeur Sterling LLC Owned NV101853193 SI-122 AngloGold Ashanti North America Inc Owned NV101375263 BX #23 Coeur Sterling LLC Owned NV101853195 SI-124 AngloGold Ashanti North America Inc Owned NV101500161 BX #276 Coeur Sterling LLC Owned NV101853194 SI-123 AngloGold Ashanti North America Inc Owned NV101375265 BX #25 Coeur Sterling LLC Owned NV101853197 SI-126 AngloGold Ashanti North America Inc Owned NV101376016 BX #35 Coeur Sterling LLC Owned NV101853196 SI-125 AngloGold Ashanti North America Inc Owned NV101376012 BX #31 Coeur Sterling LLC Owned NV101853190 SI-68 AngloGold Ashanti North America Inc Owned NV101376010 BX #29 Coeur Sterling LLC Owned NV101380200 SI-77 AngloGold Ashanti North America Inc Owned NV101376014 BX #33 Coeur Sterling LLC Owned NV101380199 SI-76 AngloGold Ashanti North America Inc Owned NV101376020 BX #39 Coeur Sterling LLC Owned NV101380198 SI-75 AngloGold Ashanti North America Inc Owned NV101376018 BX #37 Coeur Sterling LLC Owned NV101849268 SI-79 AngloGold Ashanti North America Inc Owned NV101376022 BX #41 Coeur Sterling LLC Owned NV101849267 SI-78 AngloGold Ashanti North America Inc Owned NV101500151 BX #266 Coeur Sterling LLC Owned NV101330995 SI-90 AngloGold Ashanti North America Inc Owned NV101500159 BX #274 Coeur Sterling LLC Owned NV101330994 SI-89 AngloGold Ashanti North America Inc Owned NV101500153 BX #268 Coeur Sterling LLC Owned NV101333986 SI-201 AngloGold Ashanti North America Inc Owned NV101500155 BX #270 Coeur Sterling LLC Owned


 
AngloGold Ashanti Technical Report Summary for the Arthur Gold Project – current at 31 December 2025 __________________________________________________________________________________________ 26 March 2026 189 B L M S e r i a l N u m b e r C l a i m N a m e C o m p a n y N a m e F i l e d U n d e r I n t e r e s t B L M S e r i a l N u m b e r C l a i m N a m e C o m p a n y N a m e F i l e d U n d e r I n t e r e s t NV101330997 SI-92 AngloGold Ashanti North America Inc Owned NV101500157 BX #272 Coeur Sterling LLC Owned NV101330996 SI-91 AngloGold Ashanti North America Inc Owned NV101499672 BX #264 Coeur Sterling LLC Owned NV101333987 SI-202 AngloGold Ashanti North America Inc Owned NV101499668 BX #260 Coeur Sterling LLC Owned NV101330999 SI-94 AngloGold Ashanti North America Inc Owned NV101499670 BX #262 Coeur Sterling LLC Owned NV101330998 SI-93 AngloGold Ashanti North America Inc Owned NV101500164 BX #281 Coeur Sterling LLC Owned NV101333989 SI-204 AngloGold Ashanti North America Inc Owned NV101500162 BX #277 Coeur Sterling LLC Owned NV101333988 SI-203 AngloGold Ashanti North America Inc Owned NV101500160 BX #275 Coeur Sterling LLC Owned NV101333984 SI-97 AngloGold Ashanti North America Inc Owned NV101500163 BX #279 Coeur Sterling LLC Owned NV101333983 SI-96 AngloGold Ashanti North America Inc Owned NV101500165 BX #283 Coeur Sterling LLC Owned NV101331000 SI-95 AngloGold Ashanti North America Inc Owned NV101500150 BX #265 Coeur Sterling LLC Owned NV101333993 SI-213 AngloGold Ashanti North America Inc Owned NV101500158 BX #273 Coeur Sterling LLC Owned NV101333985 SI-98 AngloGold Ashanti North America Inc Owned NV101500152 BX #267 Coeur Sterling LLC Owned NV101853191 SI-80 AngloGold Ashanti North America Inc Owned NV101500154 BX #269 Coeur Sterling LLC Owned NV101853192 SI-81 AngloGold Ashanti North America Inc Owned NV101500156 BX #271 Coeur Sterling LLC Owned NV101330993 SI-82 AngloGold Ashanti North America Inc Owned NV101499671 BX #263 Coeur Sterling LLC Owned NV101333994 SI-215 AngloGold Ashanti North America Inc Owned NV101499666 BX #257 Coeur Sterling LLC Owned NV101333995 SI-217 AngloGold Ashanti North America Inc Owned NV101499667 BX #259 Coeur Sterling LLC Owned NV101333990 SI-208 AngloGold Ashanti North America Inc Owned NV101499669 BX #261 Coeur Sterling LLC Owned NV101333991 SI-209 AngloGold Ashanti North America Inc Owned NV101376009 BX #28 Coeur Sterling LLC Owned NV101333992 SI-210 AngloGold Ashanti North America Inc Owned NV101375264 BX #24 Coeur Sterling LLC Owned NV101849264 SI-54 AngloGold Ashanti North America Inc Owned NV101438679 BX#300 Coeur Sterling LLC Owned NV101380191 SI-55 AngloGold Ashanti North America Inc Owned NV101376007 BX #26 Coeur Sterling LLC Owned NV101380192 SI-56 AngloGold Ashanti North America Inc Owned NV101376017 BX #36 Coeur Sterling LLC Owned NV101380193 SI-57 AngloGold Ashanti North America Inc Owned NV101376013 BX #32 Coeur Sterling LLC Owned NV101380194 SI-58 AngloGold Ashanti North America Inc Owned NV101376011 BX #30 Coeur Sterling LLC Owned NV101784591 SI 476 AngloGold Ashanti North America Inc Owned NV101376015 BX #34 Coeur Sterling LLC Owned NV101784592 SI 477 AngloGold Ashanti North America Inc Owned NV101376021 BX #40 Coeur Sterling LLC Owned NV101784594 SI 479 AngloGold Ashanti North America Inc Owned NV101376019 BX #38 Coeur Sterling LLC Owned NV101784593 SI 478 AngloGold Ashanti North America Inc Owned NV101376023 BX #42 Coeur Sterling LLC Owned NV101785904 SI 480 AngloGold Ashanti North America Inc Owned NV101438680 BX#301 Coeur Sterling LLC Owned AngloGold Ashanti Technical Report Summary for the Arthur Gold Project – current at 31 December 2025 __________________________________________________________________________________________ 26 March 2026 190 B L M S e r i a l N u m b e r C l a i m N a m e C o m p a n y N a m e F i l e d U n d e r I n t e r e s t B L M S e r i a l N u m b e r C l a i m N a m e C o m p a n y N a m e F i l e d U n d e r I n t e r e s t NV101785905 SI 481 AngloGold Ashanti North America Inc Owned NV101375248 BX #01 Coeur Sterling LLC Owned NV101787092 SI 483 AngloGold Ashanti North America Inc Owned NV101438683 BX#304 Coeur Sterling LLC Owned NV101787091 SI 482 AngloGold Ashanti North America Inc Owned NV101438681 BX#302 Coeur Sterling LLC Owned NV101787093 SI 484 AngloGold Ashanti North America Inc Owned NV101375256 BX #09 Coeur Sterling LLC Owned NV101787094 SI 485 AngloGold Ashanti North America Inc Owned NV101375252 BX #05 Coeur Sterling LLC Owned NV101787096 SI 487 AngloGold Ashanti North America Inc Owned NV101375250 BX #03 Coeur Sterling LLC Owned NV101787095 SI 486 AngloGold Ashanti North America Inc Owned NV101375254 BX #07 Coeur Sterling LLC Owned NV101787097 SI 488 AngloGold Ashanti North America Inc Owned NV101375258 BX #13 Coeur Sterling LLC Owned NV101787098 SI 489 AngloGold Ashanti North America Inc Owned NV101375257 BX #11 Coeur Sterling LLC Owned NV101787100 SI 491 AngloGold Ashanti North America Inc Owned NV101375259 BX #15 Coeur Sterling LLC Owned NV101787099 SI 490 AngloGold Ashanti North America Inc Owned NV101375249 BX #02 Coeur Sterling LLC Owned NV101787101 SI 492 AngloGold Ashanti North America Inc Owned NV101438682 BX#303 Coeur Sterling LLC Owned NV101787102 SI 493 AngloGold Ashanti North America Inc Owned NV101375251 BX #04 Coeur Sterling LLC Owned NV101787104 SI 495 AngloGold Ashanti North America Inc Owned NV101376026 BX #45 Coeur Sterling LLC Owned NV101787103 SI 494 AngloGold Ashanti North America Inc Owned NV101376024 BX #43 Coeur Sterling LLC Owned NV101787105 SI 496 AngloGold Ashanti North America Inc Owned NV101435104 BX #47 Coeur Sterling LLC Owned NV101787106 SI 497 AngloGold Ashanti North America Inc Owned NV101376025 BX #44 Coeur Sterling LLC Owned NV101787108 SI 499 AngloGold Ashanti North America Inc Owned NV101435105 BX #48 Coeur Sterling LLC Owned NV101787107 SI 498 AngloGold Ashanti North America Inc Owned NV101375261 BX #19 Coeur Sterling LLC Owned NV101787109 SI 500 AngloGold Ashanti North America Inc Owned NV101375260 BX #17 Coeur Sterling LLC Owned NV101787110 SI 501 AngloGold Ashanti North America Inc Owned NV101375262 BX #21 Coeur Sterling LLC Owned NV101788268 SI 503 AngloGold Ashanti North America Inc Owned NV101439235 BX#308 Coeur Sterling LLC Owned NV101787111 SI 502 AngloGold Ashanti North America Inc Owned NV101439237 BX#310 Coeur Sterling LLC Owned NV101640639 SI 546 AngloGold Ashanti North America Inc Owned NV101438685 BX#306 Coeur Sterling LLC Owned NV101640640 SI 547 AngloGold Ashanti North America Inc Owned NV101375255 BX #08 Coeur Sterling LLC Owned NV101640642 SI 549 AngloGold Ashanti North America Inc Owned NV101375253 BX #06 Coeur Sterling LLC Owned NV101640641 SI 548 AngloGold Ashanti North America Inc Owned NV101373882 BX #220 Coeur Sterling LLC Owned NV101640643 SI 550 AngloGold Ashanti North America Inc Owned NV101373881 BX #219 Coeur Sterling LLC Owned NV101640644 SI 551 AngloGold Ashanti North America Inc Owned NV101374498 BX #240 Coeur Sterling LLC Owned NV101640646 SI 553 AngloGold Ashanti North America Inc Owned NV101373901 BX #239 Coeur Sterling LLC Owned AngloGold Ashanti Technical Report Summary for the Arthur Gold Project – current at 31 December 2025 __________________________________________________________________________________________ 26 March 2026 191 B L M S e r i a l N u m b e r C l a i m N a m e C o m p a n y N a m e F i l e d U n d e r I n t e r e s t B L M S e r i a l N u m b e r C l a i m N a m e C o m p a n y N a m e F i l e d U n d e r I n t e r e s t NV101640645 SI 552 AngloGold Ashanti North America Inc Owned NV101374505 BX #142 Coeur Sterling LLC Owned NV101640647 SI 554 AngloGold Ashanti North America Inc Owned NV101374504 BX #141 Coeur Sterling LLC Owned NV101640648 SI 555 AngloGold Ashanti North America Inc Owned NV101436468 BX #119 Coeur Sterling LLC Owned NV101640650 SI 557 AngloGold Ashanti North America Inc Owned NV101436469 BX #120 Coeur Sterling LLC Owned NV101640649 SI 556 AngloGold Ashanti North America Inc Owned NV101435122 BX #65 Coeur Sterling LLC Owned NV101640651 SI 558 AngloGold Ashanti North America Inc Owned NV101435124 BX #86 Coeur Sterling LLC Owned NV101640652 SI 559 AngloGold Ashanti North America Inc Owned NV101435116 BX #59 Coeur Sterling LLC Owned NV101640654 SI 561 AngloGold Ashanti North America Inc Owned NV101436471 BX #123 Coeur Sterling LLC Owned NV101640653 SI 560 AngloGold Ashanti North America Inc Owned NV101438670 AUZ#09 Coeur Sterling LLC Owned NV101640655 SI 562 AngloGold Ashanti North America Inc Owned NV101438667 AUZ#06 Coeur Sterling LLC Owned NV101640656 SI 563 AngloGold Ashanti North America Inc Owned NV101437859 AUZ#03 Coeur Sterling LLC Owned NV101640658 SI 565 AngloGold Ashanti North America Inc Owned NV101437858 AUZ#02 Coeur Sterling LLC Owned NV101640657 SI 564 AngloGold Ashanti North America Inc Owned NV101438668 AUZ#07 Coeur Sterling LLC Owned NV101788269 SI 504 AngloGold Ashanti North America Inc Owned NV101438669 AUZ#08 Coeur Sterling LLC Owned NV101788270 SI 505 AngloGold Ashanti North America Inc Owned NV101318291 BX 73 Coeur Sterling LLC Owned NV101788272 SI 507 AngloGold Ashanti North America Inc Owned NV101318292 BX 74 Coeur Sterling LLC Owned NV101788271 SI 506 AngloGold Ashanti North America Inc Owned NV101318290 BX 72 Coeur Sterling LLC Owned NV101788273 SI 508 AngloGold Ashanti North America Inc Owned NV101318287 BX 69 Coeur Sterling LLC Owned NV101788274 SI 509 AngloGold Ashanti North America Inc Owned NV101318286 BX 68 Coeur Sterling LLC Owned NV101788276 SI 511 AngloGold Ashanti North America Inc Owned NV101318288 BX 70 Coeur Sterling LLC Owned NV101788275 SI 510 AngloGold Ashanti North America Inc Owned NV101318285 BX 67 Coeur Sterling LLC Owned NV101788277 SI 512 AngloGold Ashanti North America Inc Owned NV101318289 BX 71 Coeur Sterling LLC Owned NV101788278 SI 513 AngloGold Ashanti North America Inc Owned NV101319541 BX 81 Coeur Sterling LLC Owned NV101788280 SI 515 AngloGold Ashanti North America Inc Owned NV101319542 BX 82 Coeur Sterling LLC Owned NV101788279 SI 514 AngloGold Ashanti North America Inc Owned NV101319540 BX 80 Coeur Sterling LLC Owned NV101788281 SI 516 AngloGold Ashanti North America Inc Owned NV101318295 BX 77 Coeur Sterling LLC Owned NV101788282 SI 517 AngloGold Ashanti North America Inc Owned NV101318294 BX 76 Coeur Sterling LLC Owned NV101641855 SI 566 AngloGold Ashanti North America Inc Owned NV101318296 BX 78 Coeur Sterling LLC Owned NV101641856 SI 567 AngloGold Ashanti North America Inc Owned NV101318293 BX 75 Coeur Sterling LLC Owned NV101644270 SI 624 AngloGold Ashanti North America Inc Owned NV101318297 BX 79 Coeur Sterling LLC Owned AngloGold Ashanti Technical Report Summary for the Arthur Gold Project – current at 31 December 2025 __________________________________________________________________________________________ 26 March 2026 192 B L M S e r i a l N u m b e r C l a i m N a m e C o m p a n y N a m e F i l e d U n d e r I n t e r e s t B L M S e r i a l N u m b e r C l a i m N a m e C o m p a n y N a m e F i l e d U n d e r I n t e r e s t NV101644271 SI 625 AngloGold Ashanti North America Inc Owned NV101435112 BX #55 Coeur Sterling LLC Owned NV101644273 SI 627 AngloGold Ashanti North America Inc Owned NV101435114 BX #57 Coeur Sterling LLC Owned NV101644272 SI 626 AngloGold Ashanti North America Inc Owned NV101435110 BX #53 Coeur Sterling LLC Owned NV101644274 SI 628 AngloGold Ashanti North America Inc Owned NV101435121 BX #64 Coeur Sterling LLC Owned NV101645462 SI 629 AngloGold Ashanti North America Inc Owned NV101435123 BX #66 Coeur Sterling LLC Owned NV101645464 SI 631 AngloGold Ashanti North America Inc Owned NV101435119 BX #62 Coeur Sterling LLC Owned NV101645463 SI 630 AngloGold Ashanti North America Inc Owned NV101435115 BX #58 Coeur Sterling LLC Owned NV101645465 SI 632 AngloGold Ashanti North America Inc Owned NV101435117 BX #60 Coeur Sterling LLC Owned NV101645466 SI 633 AngloGold Ashanti North America Inc Owned NV101435113 BX #56 Coeur Sterling LLC Owned NV101645468 SI 635 AngloGold Ashanti North America Inc Owned NV101403917 GOLDSPAR #23 GK Holdings MC LLC Leased NV101645467 SI 634 AngloGold Ashanti North America Inc Owned NV101300791 GOLDSPAR #21 GK Holdings MC LLC Leased NV101645469 SI 636 AngloGold Ashanti North America Inc Owned NV102520729 GOLDSPAR #17 GK Holdings MC LLC Leased NV101645470 SI 637 AngloGold Ashanti North America Inc Owned NV101301158 GOLDSPAR #19 GK Holdings MC LLC Leased NV101645472 SI 639 AngloGold Ashanti North America Inc Owned NV101300538 GOLDSPAR #15 GK Holdings MC LLC Leased NV101645471 SI 638 AngloGold Ashanti North America Inc Owned NV101305144 GOLDSPAR #13 GK Holdings MC LLC Leased NV101645473 SI 640 AngloGold Ashanti North America Inc Owned NV101453248 GOLDSPAR #11 GK Holdings MC LLC Leased NV101645474 SI 641 AngloGold Ashanti North America Inc Owned NV101739494 RFM 359 Coeur Sterling LLC Owned NV101645476 SI 643 AngloGold Ashanti North America Inc Owned NV101739501 RFM 366 Coeur Sterling LLC Owned NV101645475 SI 642 AngloGold Ashanti North America Inc Owned NV101739502 RFM 367 Coeur Sterling LLC Owned NV101645477 SI 644 AngloGold Ashanti North America Inc Owned NV101739498 RFM 363 Coeur Sterling LLC Owned NV101645478 SI 645 AngloGold Ashanti North America Inc Owned NV101739504 RFM 369 Coeur Sterling LLC Owned NV101645480 SI 647 AngloGold Ashanti North America Inc Owned NV101739493 RFM 358 Coeur Sterling LLC Owned NV101645479 SI 646 AngloGold Ashanti North America Inc Owned NV101739495 RFM 360 Coeur Sterling LLC Owned NV101645481 SI 648 AngloGold Ashanti North America Inc Owned NV101739499 RFM 364 Coeur Sterling LLC Owned NV101645482 SI 649 AngloGold Ashanti North America Inc Owned NV101739497 RFM 362 Coeur Sterling LLC Owned NV101646716 SI 651 AngloGold Ashanti North America Inc Owned NV101739503 RFM 368 Coeur Sterling LLC Owned NV101646715 SI 650 AngloGold Ashanti North America Inc Owned NV101739500 RFM 365 Coeur Sterling LLC Owned NV101646717 SI 652 AngloGold Ashanti North America Inc Owned NV101856267 RFM 416 Coeur Sterling LLC Owned NV101646718 SI 653 AngloGold Ashanti North America Inc Owned NV101855339 RFM 393 Coeur Sterling LLC Owned NV101646720 SI 655 AngloGold Ashanti North America Inc Owned NV101855356 RFM 412 Coeur Sterling LLC Owned


 
AngloGold Ashanti Technical Report Summary for the Arthur Gold Project – current at 31 December 2025 __________________________________________________________________________________________ 26 March 2026 193 B L M S e r i a l N u m b e r C l a i m N a m e C o m p a n y N a m e F i l e d U n d e r I n t e r e s t B L M S e r i a l N u m b e r C l a i m N a m e C o m p a n y N a m e F i l e d U n d e r I n t e r e s t NV101646719 SI 654 AngloGold Ashanti North America Inc Owned NV101855340 RFM 394 Coeur Sterling LLC Owned NV101646721 SI 656 AngloGold Ashanti North America Inc Owned NV101854159 RFM 390 Coeur Sterling LLC Owned NV101646723 SI 658 AngloGold Ashanti North America Inc Owned NV101854161 RFM 392 Coeur Sterling LLC Owned NV101646725 SI 660 AngloGold Ashanti North America Inc Owned NV101855358 RFM 414 Coeur Sterling LLC Owned NV101646727 SI 662 AngloGold Ashanti North America Inc Owned NV101854160 RFM 391 Coeur Sterling LLC Owned NV101646729 SI 664 AngloGold Ashanti North America Inc Owned NV101854158 RFM 389 Coeur Sterling LLC Owned NV101646731 SI 666 AngloGold Ashanti North America Inc Owned NV101855354 RFM 410 Coeur Sterling LLC Owned NV101646733 SI 668 AngloGold Ashanti North America Inc Owned NV101855352 RFM 408 Coeur Sterling LLC Owned NV101646735 SI 670 AngloGold Ashanti North America Inc Owned NV101854154 RFM 385 Coeur Sterling LLC Owned NV101646722 SI 657 AngloGold Ashanti North America Inc Owned NV101855348 RFM 404 Coeur Sterling LLC Owned NV101646724 SI 659 AngloGold Ashanti North America Inc Owned NV101854157 RFM 388 Coeur Sterling LLC Owned NV101646726 SI 661 AngloGold Ashanti North America Inc Owned NV101854155 RFM 386 Coeur Sterling LLC Owned NV101646728 SI 663 AngloGold Ashanti North America Inc Owned NV101854151 RFM 382 Coeur Sterling LLC Owned NV101646730 SI 665 AngloGold Ashanti North America Inc Owned NV101854153 RFM 384 Coeur Sterling LLC Owned NV101646732 SI 667 AngloGold Ashanti North America Inc Owned NV101855350 RFM 406 Coeur Sterling LLC Owned NV101646734 SI 669 AngloGold Ashanti North America Inc Owned NV101854152 RFM 383 Coeur Sterling LLC Owned NV101647962 SI 671 AngloGold Ashanti North America Inc Owned NV101854150 RFM 381 Coeur Sterling LLC Owned NV101647969 SI 678 AngloGold Ashanti North America Inc Owned NV101855346 RFM 402 Coeur Sterling LLC Owned NV101641894 SI 680 AngloGold Ashanti North America Inc Owned NV101855344 RFM 400 Coeur Sterling LLC Owned NV101641895 SI 681 AngloGold Ashanti North America Inc Owned NV101854146 RFM 377 Coeur Sterling LLC Owned NV101641896 SI 682 AngloGold Ashanti North America Inc Owned NV101556156 RFM 396 Coeur Sterling LLC Owned NV101643075 SI 683 AngloGold Ashanti North America Inc Owned NV101854149 RFM 380 Coeur Sterling LLC Owned NV101643076 SI 684 AngloGold Ashanti North America Inc Owned NV101854147 RFM 378 Coeur Sterling LLC Owned NV101643077 SI 685 AngloGold Ashanti North America Inc Owned NV101854143 RFM 374 Coeur Sterling LLC Owned NV101643078 SI 686 AngloGold Ashanti North America Inc Owned NV101854145 RFM 376 Coeur Sterling LLC Owned NV101643079 SI 687 AngloGold Ashanti North America Inc Owned NV101855342 RFM 398 Coeur Sterling LLC Owned NV101647970 SI 679 AngloGold Ashanti North America Inc Owned NV101854144 RFM 375 Coeur Sterling LLC Owned NV101643088 SI 696 AngloGold Ashanti North America Inc Owned NV101855341 RFM 395 Coeur Sterling LLC Owned NV101643090 SI 698 AngloGold Ashanti North America Inc Owned NV101856268 RFM 417 Coeur Sterling LLC Owned NV101643092 SI 700 AngloGold Ashanti North America Inc Owned NV101855357 RFM 413 Coeur Sterling LLC Owned AngloGold Ashanti Technical Report Summary for the Arthur Gold Project – current at 31 December 2025 __________________________________________________________________________________________ 26 March 2026 194 B L M S e r i a l N u m b e r C l a i m N a m e C o m p a n y N a m e F i l e d U n d e r I n t e r e s t B L M S e r i a l N u m b e r C l a i m N a m e C o m p a n y N a m e F i l e d U n d e r I n t e r e s t NV101643094 SI 702 AngloGold Ashanti North America Inc Owned NV101856266 RFM 415 Coeur Sterling LLC Owned NV101644275 SI 704 AngloGold Ashanti North America Inc Owned NV101855355 RFM 411 Coeur Sterling LLC Owned NV101644277 SI 706 AngloGold Ashanti North America Inc Owned NV101855353 RFM 409 Coeur Sterling LLC Owned NV101644279 SI 708 AngloGold Ashanti North America Inc Owned NV101855349 RFM 405 Coeur Sterling LLC Owned NV101644281 SI 710 AngloGold Ashanti North America Inc Owned NV101855351 RFM 407 Coeur Sterling LLC Owned NV101643086 SI 694 AngloGold Ashanti North America Inc Owned NV101855347 RFM 403 Coeur Sterling LLC Owned NV101643089 SI 697 AngloGold Ashanti North America Inc Owned NV101855345 RFM 401 Coeur Sterling LLC Owned NV101643091 SI 699 AngloGold Ashanti North America Inc Owned NV101556157 RFM 397 Coeur Sterling LLC Owned NV101643093 SI 701 AngloGold Ashanti North America Inc Owned NV101855343 RFM 399 Coeur Sterling LLC Owned NV101643095 SI 703 AngloGold Ashanti North America Inc Owned NV101856275 RFM 424 Coeur Sterling LLC Owned NV101644276 SI 705 AngloGold Ashanti North America Inc Owned NV101854142 RFM 373 Coeur Sterling LLC Owned NV101644278 SI 707 AngloGold Ashanti North America Inc Owned NV101739506 RFM 371 Coeur Sterling LLC Owned NV101644280 SI 709 AngloGold Ashanti North America Inc Owned NV101854141 RFM 372 Coeur Sterling LLC Owned NV101644282 SI 711 AngloGold Ashanti North America Inc Owned NV101739505 RFM 370 Coeur Sterling LLC Owned NV101643087 SI 695 AngloGold Ashanti North America Inc Owned NV101850056 TATE'S WASH 14 Coeur Sterling LLC Owned NV101647964 SI 673 AngloGold Ashanti North America Inc Owned NV101850049 TATE'S WASH 7 Coeur Sterling LLC Owned NV101647965 SI 674 AngloGold Ashanti North America Inc Owned NV101850048 TATE'S WASH 6 Coeur Sterling LLC Owned NV101647966 SI 675 AngloGold Ashanti North America Inc Owned NV101850054 TATE'S WASH 12 Coeur Sterling LLC Owned NV101647967 SI 676 AngloGold Ashanti North America Inc Owned NV101850046 TATE'S WASH 4 Coeur Sterling LLC Owned NV101647968 SI 677 AngloGold Ashanti North America Inc Owned NV101850063 TATE'S WASH 21 Coeur Sterling LLC Owned NV101643080 SI 688 AngloGold Ashanti North America Inc Owned NV101850062 TATE'S WASH 20 Coeur Sterling LLC Owned NV101643081 SI 689 AngloGold Ashanti North America Inc Owned NV101850060 TATE'S WASH 18 Coeur Sterling LLC Owned NV101643082 SI 690 AngloGold Ashanti North America Inc Owned NV101850061 TATE'S WASH 19 Coeur Sterling LLC Owned NV101647963 SI 672 AngloGold Ashanti North America Inc Owned NV101850047 TATE'S WASH 5 Coeur Sterling LLC Owned NV101644283 SI 712 AngloGold Ashanti North America Inc Owned NV101850053 TATE'S WASH 11 Coeur Sterling LLC Owned NV101644284 SI 713 AngloGold Ashanti North America Inc Owned NV101850052 TATE'S WASH 10 Coeur Sterling LLC Owned NV101643083 SI 691 AngloGold Ashanti North America Inc Owned NV101849648 TATE'S WASH 3 Coeur Sterling LLC Owned NV101643084 SI 692 AngloGold Ashanti North America Inc Owned NV101849647 TATE'S WASH 2 Coeur Sterling LLC Owned NV101788283 SI 518 AngloGold Ashanti North America Inc Owned NV101850050 TATE'S WASH 8 Coeur Sterling LLC Owned NV101788285 SI 520 AngloGold Ashanti North America Inc Owned NV101850059 TATE'S WASH 17 Coeur Sterling LLC Owned AngloGold Ashanti Technical Report Summary for the Arthur Gold Project – current at 31 December 2025 __________________________________________________________________________________________ 26 March 2026 195 B L M S e r i a l N u m b e r C l a i m N a m e C o m p a n y N a m e F i l e d U n d e r I n t e r e s t B L M S e r i a l N u m b e r C l a i m N a m e C o m p a n y N a m e F i l e d U n d e r I n t e r e s t NV101788287 SI 522 AngloGold Ashanti North America Inc Owned NV101850058 TATE'S WASH 16 Coeur Sterling LLC Owned NV101789471 SI 524 AngloGold Ashanti North America Inc Owned NV101850057 TATE'S WASH 15 Coeur Sterling LLC Owned NV101789473 SI 526 AngloGold Ashanti North America Inc Owned NV101849646 TATE'S WASH 1 Coeur Sterling LLC Owned NV101789475 SI 528 AngloGold Ashanti North America Inc Owned NV101494247 MARY # 1 GK Holdings MC LLC Leased NV101789477 SI 530 AngloGold Ashanti North America Inc Owned NV101344508 MARY # 2 GK Holdings MC LLC Leased NV101789479 SI 532 AngloGold Ashanti North America Inc Owned NV101602393 MARY # 4 GK Holdings MC LLC Leased NV101789481 SI 534 AngloGold Ashanti North America Inc Owned NV101496781 MARY # 3 GK Holdings MC LLC Leased NV101789483 SI 536 AngloGold Ashanti North America Inc Owned NV101349401 MARY # 5 GK Holdings MC LLC Leased NV101789485 SI 538 AngloGold Ashanti North America Inc Owned NV101457565 MARY # 6 GK Holdings MC LLC Leased NV101789490 SI 543 AngloGold Ashanti North America Inc Owned NV101498213 MARY # 8 GK Holdings MC LLC Leased NV101789491 SI 544 AngloGold Ashanti North America Inc Owned NV101603152 MARY # 7 GK Holdings MC LLC Leased NV101640638 SI 545 AngloGold Ashanti North America Inc Owned NV101544972 MARY # 10 GK Holdings MC LLC Leased NV101789484 SI 537 AngloGold Ashanti North America Inc Owned NV101406755 MARY # 11 GK Holdings MC LLC Leased NV101788284 SI 519 AngloGold Ashanti North America Inc Owned NV101302738 MARY # 9 GK Holdings MC LLC Leased NV101788286 SI 521 AngloGold Ashanti North America Inc Owned NV101732655 ROSY 1 Coeur Sterling Inc Owned NV101788288 SI 523 AngloGold Ashanti North America Inc Owned NV101829832 MONICA'S CIGAR Coeur Sterling Inc Owned NV101789472 SI 525 AngloGold Ashanti North America Inc Owned NV101856284 RFM 480 Coeur Sterling Inc Owned NV101789474 SI 527 AngloGold Ashanti North America Inc Owned NV101856285 RFM 481 Coeur Sterling Inc Owned NV101789476 SI 529 AngloGold Ashanti North America Inc Owned NV101856283 RFM 479 Coeur Sterling Inc Owned NV101789478 SI 531 AngloGold Ashanti North America Inc Owned NV101856280 RFM 476 Coeur Sterling Inc Owned NV101789480 SI 533 AngloGold Ashanti North America Inc Owned NV101856279 RFM 475 Coeur Sterling Inc Owned NV101789482 SI 535 AngloGold Ashanti North America Inc Owned NV101856281 RFM 477 Coeur Sterling Inc Owned NV101641875 SI 586 AngloGold Ashanti North America Inc Owned NV101856278 RFM 474 Coeur Sterling Inc Owned NV101641857 SI 568 AngloGold Ashanti North America Inc Owned NV101735100 RFM 488 Coeur Sterling Inc Owned NV101641859 SI 570 AngloGold Ashanti North America Inc Owned NV101735101 RFM 489 Coeur Sterling Inc Owned NV101641861 SI 572 AngloGold Ashanti North America Inc Owned NV101735099 RFM 487 Coeur Sterling Inc Owned NV101641863 SI 574 AngloGold Ashanti North America Inc Owned NV101735096 RFM 484 Coeur Sterling Inc Owned NV101641865 SI 576 AngloGold Ashanti North America Inc Owned NV101735095 RFM 483 Coeur Sterling Inc Owned NV101641867 SI 578 AngloGold Ashanti North America Inc Owned NV101735097 RFM 485 Coeur Sterling Inc Owned NV101641869 SI 580 AngloGold Ashanti North America Inc Owned NV101856286 RFM 482 Coeur Sterling Inc Owned AngloGold Ashanti Technical Report Summary for the Arthur Gold Project – current at 31 December 2025 __________________________________________________________________________________________ 26 March 2026 196 B L M S e r i a l N u m b e r C l a i m N a m e C o m p a n y N a m e F i l e d U n d e r I n t e r e s t B L M S e r i a l N u m b e r C l a i m N a m e C o m p a n y N a m e F i l e d U n d e r I n t e r e s t NV101641871 SI 582 AngloGold Ashanti North America Inc Owned NV101735106 RFM 494 Coeur Sterling Inc Owned NV101641873 SI 584 AngloGold Ashanti North America Inc Owned NV101735104 RFM 492 Coeur Sterling Inc Owned NV101641858 SI 569 AngloGold Ashanti North America Inc Owned NV101735103 RFM 491 Coeur Sterling Inc Owned NV101641860 SI 571 AngloGold Ashanti North America Inc Owned NV101735102 RFM 490 Coeur Sterling Inc Owned NV101641862 SI 573 AngloGold Ashanti North America Inc Owned NV101856282 RFM 478 Coeur Sterling Inc Owned NV101641864 SI 575 AngloGold Ashanti North America Inc Owned NV101735098 RFM 486 Coeur Sterling Inc Owned NV101641866 SI 577 AngloGold Ashanti North America Inc Owned NV101735105 RFM 493 Coeur Sterling Inc Owned NV101641868 SI 579 AngloGold Ashanti North America Inc Owned NV101739492 RFM 473 Coeur Sterling Inc Owned NV101641870 SI 581 AngloGold Ashanti North America Inc Owned NV101736339 RFM 438 Coeur Sterling Inc Owned NV101641872 SI 583 AngloGold Ashanti North America Inc Owned NV101736338 RFM 437 Coeur Sterling Inc Owned NV101641874 SI 585 AngloGold Ashanti North America Inc Owned NV101736331 RFM 430 Coeur Sterling Inc Owned NV101643058 SI 591 AngloGold Ashanti North America Inc Owned NV101736337 RFM 436 Coeur Sterling Inc Owned NV101643059 SI 592 AngloGold Ashanti North America Inc Owned NV101736330 RFM 429 Coeur Sterling Inc Owned NV101643065 SI 598 AngloGold Ashanti North America Inc Owned NV101738554 RFM 442 Coeur Sterling Inc Owned NV101643070 SI 603 AngloGold Ashanti North America Inc Owned NV101738561 RFM 449 Coeur Sterling Inc Owned NV101643064 SI 597 AngloGold Ashanti North America Inc Owned NV101738560 RFM 448 Coeur Sterling Inc Owned NV101643068 SI 601 AngloGold Ashanti North America Inc Owned NV101739491 RFM 472 Coeur Sterling Inc Owned NV101643066 SI 599 AngloGold Ashanti North America Inc Owned NV101738553 RFM 441 Coeur Sterling Inc Owned NV101644255 SI 609 AngloGold Ashanti North America Inc Owned NV101860162 RFM 47 Coeur Sterling Inc Owned NV101643074 SI 607 AngloGold Ashanti North America Inc Owned NV101860161 RFM 46 Coeur Sterling Inc Owned NV101643072 SI 605 AngloGold Ashanti North America Inc Owned NV101856586 RFM 95 Coeur Sterling Inc Owned NV101789487 SI 540 AngloGold Ashanti North America Inc Owned NV101856587 RFM 96 Coeur Sterling Inc Owned NV101789489 SI 542 AngloGold Ashanti North America Inc Owned NV101856589 RFM 98 Coeur Sterling Inc Owned NV101789486 SI 539 AngloGold Ashanti North America Inc Owned NV101856590 RFM 99 Coeur Sterling Inc Owned NV101643055 SI 588 AngloGold Ashanti North America Inc Owned NV101789451 RFM 102 Coeur Sterling Inc Owned NV101789488 SI 541 AngloGold Ashanti North America Inc Owned NV101856591 RFM 100 Coeur Sterling Inc Owned NV101643057 SI 590 AngloGold Ashanti North America Inc Owned NV101789450 RFM 101 Coeur Sterling Inc Owned NV101643054 SI 587 AngloGold Ashanti North America Inc Owned NV101856588 RFM 97 Coeur Sterling Inc Owned NV101643060 SI 593 AngloGold Ashanti North America Inc Owned NV101789457 RFM 108 Coeur Sterling Inc Owned NV101643061 SI 594 AngloGold Ashanti North America Inc Owned NV101789458 RFM 109 Coeur Sterling Inc Owned


 
AngloGold Ashanti Technical Report Summary for the Arthur Gold Project – current at 31 December 2025 __________________________________________________________________________________________ 26 March 2026 197 B L M S e r i a l N u m b e r C l a i m N a m e C o m p a n y N a m e F i l e d U n d e r I n t e r e s t B L M S e r i a l N u m b e r C l a i m N a m e C o m p a n y N a m e F i l e d U n d e r I n t e r e s t NV101643062 SI 595 AngloGold Ashanti North America Inc Owned NV101789461 RFM 112 Coeur Sterling Inc Owned NV101643063 SI 596 AngloGold Ashanti North America Inc Owned NV101789459 RFM 110 Coeur Sterling Inc Owned NV101643056 SI 589 AngloGold Ashanti North America Inc Owned NV101789460 RFM 111 Coeur Sterling Inc Owned NV101643071 SI 604 AngloGold Ashanti North America Inc Owned NV101789456 RFM 107 Coeur Sterling Inc Owned NV101643069 SI 602 AngloGold Ashanti North America Inc Owned NV101739487 RFM 468 Coeur Sterling Inc Owned NV101643067 SI 600 AngloGold Ashanti North America Inc Owned NV101739488 RFM 469 Coeur Sterling Inc Owned NV101644256 SI 610 AngloGold Ashanti North America Inc Owned NV101739490 RFM 471 Coeur Sterling Inc Owned NV101644254 SI 608 AngloGold Ashanti North America Inc Owned NV101739489 RFM 470 Coeur Sterling Inc Owned NV101643073 SI 606 AngloGold Ashanti North America Inc Owned NV101855571 RFM 34 Coeur Sterling Inc Owned NV101644257 SI 611 AngloGold Ashanti North America Inc Owned NV101855564 RFM 27 Coeur Sterling Inc Owned NV101644262 SI 616 AngloGold Ashanti North America Inc Owned NV101855573 RFM 36 Coeur Sterling Inc Owned NV101644260 SI 614 AngloGold Ashanti North America Inc Owned NV105234541 RFM 24 Coeur Sterling Inc Owned NV101644258 SI 612 AngloGold Ashanti North America Inc Owned NV101855566 RFM 29 Coeur Sterling Inc Owned NV101644268 SI 622 AngloGold Ashanti North America Inc Owned NV101855563 RFM 26 Coeur Sterling Inc Owned NV101644266 SI 620 AngloGold Ashanti North America Inc Owned NV101855572 RFM 35 Coeur Sterling Inc Owned NV101644263 SI 617 AngloGold Ashanti North America Inc Owned NV101855565 RFM 28 Coeur Sterling Inc Owned NV101644261 SI 615 AngloGold Ashanti North America Inc Owned NV101855568 RFM 31 Coeur Sterling Inc Owned NV101644259 SI 613 AngloGold Ashanti North America Inc Owned NV101855574 RFM 37 Coeur Sterling Inc Owned NV101644269 SI 623 AngloGold Ashanti North America Inc Owned NV101855575 RFM 38 Coeur Sterling Inc Owned NV101644267 SI 621 AngloGold Ashanti North America Inc Owned NV101855567 RFM 30 Coeur Sterling Inc Owned NV101644286 SI 715 AngloGold Ashanti North America Inc Owned NV101855569 RFM 32 Coeur Sterling Inc Owned NV101644285 SI 714 AngloGold Ashanti North America Inc Owned NV101641732 RFM 147 Coeur Sterling Inc Owned NV101643085 SI 693 AngloGold Ashanti North America Inc Owned NV101640633 RFM 138 Coeur Sterling Inc Owned NV101644265 SI 619 AngloGold Ashanti North America Inc Owned NV101640635 RFM 140 Coeur Sterling Inc Owned NV101644264 SI 618 AngloGold Ashanti North America Inc Owned NV101855597 RFM 81 Coeur Sterling Inc Owned NV101644293 SI 722 AngloGold Ashanti North America Inc Owned NV101855598 RFM 82 Coeur Sterling Inc Owned NV101644291 SI 720 AngloGold Ashanti North America Inc Owned NV101855596 RFM 80 Coeur Sterling Inc Owned NV101645486 SI 728 AngloGold Ashanti North America Inc Owned NV101855593 RFM 77 Coeur Sterling Inc Owned NV101645484 SI 726 AngloGold Ashanti North America Inc Owned NV101855592 RFM 76 Coeur Sterling Inc Owned NV101644295 SI 724 AngloGold Ashanti North America Inc Owned NV101855594 RFM 78 Coeur Sterling Inc Owned AngloGold Ashanti Technical Report Summary for the Arthur Gold Project – current at 31 December 2025 __________________________________________________________________________________________ 26 March 2026 198 B L M S e r i a l N u m b e r C l a i m N a m e C o m p a n y N a m e F i l e d U n d e r I n t e r e s t B L M S e r i a l N u m b e r C l a i m N a m e C o m p a n y N a m e F i l e d U n d e r I n t e r e s t NV101644289 SI 718 AngloGold Ashanti North America Inc Owned NV101855591 RFM 75 Coeur Sterling Inc Owned NV101644287 SI 716 AngloGold Ashanti North America Inc Owned NV101855595 RFM 79 Coeur Sterling Inc Owned NV101644294 SI 723 AngloGold Ashanti North America Inc Owned NV101855570 RFM 33 Coeur Sterling Inc Owned NV101644292 SI 721 AngloGold Ashanti North America Inc Owned NV101738569 RFM 463 Coeur Sterling Inc Owned NV101645487 SI 729 AngloGold Ashanti North America Inc Owned NV101738568 RFM 462 Coeur Sterling Inc Owned NV101645485 SI 727 AngloGold Ashanti North America Inc Owned NV101738567 RFM 461 Coeur Sterling Inc Owned NV101645483 SI 725 AngloGold Ashanti North America Inc Owned NV101855576 RFM 39 Coeur Sterling Inc Owned NV101644290 SI 719 AngloGold Ashanti North America Inc Owned NV101855577 RFM 40 Coeur Sterling Inc Owned NV101644288 SI 717 AngloGold Ashanti North America Inc Owned NV101738566 RFM 460 Coeur Sterling Inc Owned NV101645494 SI 736 AngloGold Ashanti North America Inc Owned NV101855599 RFM 83 Coeur Sterling Inc Owned NV101645492 SI 734 AngloGold Ashanti North America Inc Owned NV101856576 RFM 85 Coeur Sterling Inc Owned NV101645500 SI 742 AngloGold Ashanti North America Inc Owned NV101855600 RFM 84 Coeur Sterling Inc Owned NV101645498 SI 740 AngloGold Ashanti North America Inc Owned NV101856577 RFM 86 Coeur Sterling Inc Owned NV101645496 SI 738 AngloGold Ashanti North America Inc Owned NV101856578 RFM 87 Coeur Sterling Inc Owned NV101645490 SI 732 AngloGold Ashanti North America Inc Owned NV101641733 RFM 148 Coeur Sterling Inc Owned NV101645488 SI 730 AngloGold Ashanti North America Inc Owned NV101641737 RFM 152 Coeur Sterling Inc Owned NV101645495 SI 737 AngloGold Ashanti North America Inc Owned NV101641735 RFM 150 Coeur Sterling Inc Owned NV101645493 SI 735 AngloGold Ashanti North America Inc Owned NV101641845 RFM 154 Coeur Sterling Inc Owned NV101645501 SI 743 AngloGold Ashanti North America Inc Owned NV101641847 RFM 156 Coeur Sterling Inc Owned NV101645499 SI 741 AngloGold Ashanti North America Inc Owned NV101855590 RFM 74 Coeur Sterling Inc Owned NV101645497 SI 739 AngloGold Ashanti North America Inc Owned NV101855589 RFM 73 Coeur Sterling Inc Owned NV101645491 SI 733 AngloGold Ashanti North America Inc Owned NV101856579 RFM 88 Coeur Sterling Inc Owned NV101645489 SI 731 AngloGold Ashanti North America Inc Owned NV101856580 RFM 89 Coeur Sterling Inc Owned NV101646736 SI 746 AngloGold Ashanti North America Inc Owned NV101641848 RFM 157 Coeur Sterling Inc Owned NV101645502 SI 744 AngloGold Ashanti North America Inc Owned NV101641849 RFM 158 Coeur Sterling Inc Owned NV101645503 SI 745 AngloGold Ashanti North America Inc Owned NV101855578 RFM 41 Coeur Sterling Inc Owned NV101765414 SI 772 AngloGold Ashanti North America Inc Owned NV101860158 RFM 43 Coeur Sterling Inc Owned NV101765416 SI 774 AngloGold Ashanti North America Inc Owned NV101855579 RFM 42 Coeur Sterling Inc Owned NV101765418 SI 776 AngloGold Ashanti North America Inc Owned NV101860159 RFM 44 Coeur Sterling Inc Owned NV101765420 SI 778 AngloGold Ashanti North America Inc Owned NV101860160 RFM 45 Coeur Sterling Inc Owned AngloGold Ashanti Technical Report Summary for the Arthur Gold Project – current at 31 December 2025 __________________________________________________________________________________________ 26 March 2026 199 B L M S e r i a l N u m b e r C l a i m N a m e C o m p a n y N a m e F i l e d U n d e r I n t e r e s t B L M S e r i a l N u m b e r C l a i m N a m e C o m p a n y N a m e F i l e d U n d e r I n t e r e s t NV101765801 SI 780 AngloGold Ashanti North America Inc Owned NV101738565 RFM 459 Coeur Sterling Inc Owned NV101765803 SI 782 AngloGold Ashanti North America Inc Owned NV101856581 RFM 90 Coeur Sterling Inc Owned NV101765805 SI 784 AngloGold Ashanti North America Inc Owned NV101856583 RFM 92 Coeur Sterling Inc Owned NV101765807 SI 786 AngloGold Ashanti North America Inc Owned NV101856582 RFM 91 Coeur Sterling Inc Owned NV101765413 SI 771 AngloGold Ashanti North America Inc Owned NV101856584 RFM 93 Coeur Sterling Inc Owned NV101765415 SI 773 AngloGold Ashanti North America Inc Owned NV101856585 RFM 94 Coeur Sterling Inc Owned NV101765417 SI 775 AngloGold Ashanti North America Inc Owned NV101641850 RFM 159 Coeur Sterling Inc Owned NV101765419 SI 777 AngloGold Ashanti North America Inc Owned NV101641852 RFM 161 Coeur Sterling Inc Owned NV101765421 SI 779 AngloGold Ashanti North America Inc Owned NV101641851 RFM 160 Coeur Sterling Inc Owned NV101765802 SI 781 AngloGold Ashanti North America Inc Owned NV101641853 RFM 162 Coeur Sterling Inc Owned NV101765804 SI 783 AngloGold Ashanti North America Inc Owned NV101641854 RFM 163 Coeur Sterling Inc Owned NV101765806 SI 785 AngloGold Ashanti North America Inc Owned NV101739476 RFM 242 Coeur Sterling Inc Owned NV101765809 SI 788 AngloGold Ashanti North America Inc Owned NV101739477 RFM 243 Coeur Sterling Inc Owned NV101765811 SI 790 AngloGold Ashanti North America Inc Owned NV101739479 RFM 245 Coeur Sterling Inc Owned NV101765813 SI 792 AngloGold Ashanti North America Inc Owned NV101739480 RFM 246 Coeur Sterling Inc Owned NV101765815 SI 794 AngloGold Ashanti North America Inc Owned NV101739481 RFM 247 Coeur Sterling Inc Owned NV101765817 SI 796 AngloGold Ashanti North America Inc Owned NV101739482 RFM 248 Coeur Sterling Inc Owned NV101765819 SI 798 AngloGold Ashanti North America Inc Owned NV101739483 RFM 249 Coeur Sterling Inc Owned NV101765821 SI 800 AngloGold Ashanti North America Inc Owned NV101739484 RFM 250 Coeur Sterling Inc Owned NV101839602 SI 802 AngloGold Ashanti North America Inc Owned NV101854397 RFM 14 Coeur Sterling Inc Owned NV101765808 SI 787 AngloGold Ashanti North America Inc Owned NV101854390 RFM 7 Coeur Sterling Inc Owned NV101765810 SI 789 AngloGold Ashanti North America Inc Owned NV101854387 RFM 4 Coeur Sterling Inc Owned NV101765812 SI 791 AngloGold Ashanti North America Inc Owned NV101854389 RFM 6 Coeur Sterling Inc Owned NV101765814 SI 793 AngloGold Ashanti North America Inc Owned NV101739486 RFM 467 Coeur Sterling Inc Owned NV101765816 SI 795 AngloGold Ashanti North America Inc Owned NV101738572 RFM 466 Coeur Sterling Inc Owned NV101765818 SI 797 AngloGold Ashanti North America Inc Owned NV101738571 RFM 465 Coeur Sterling Inc Owned NV101765820 SI 799 AngloGold Ashanti North America Inc Owned NV101854399 RFM 16 Coeur Sterling Inc Owned NV101839601 SI 801 AngloGold Ashanti North America Inc Owned NV101854398 RFM 15 Coeur Sterling Inc Owned NV101839603 SI 803 AngloGold Ashanti North America Inc Owned NV101738570 RFM 464 Coeur Sterling Inc Owned NV101839604 SI 804 AngloGold Ashanti North America Inc Owned NV101854400 RFM 17 Coeur Sterling Inc Owned AngloGold Ashanti Technical Report Summary for the Arthur Gold Project – current at 31 December 2025 __________________________________________________________________________________________ 26 March 2026 200 B L M S e r i a l N u m b e r C l a i m N a m e C o m p a n y N a m e F i l e d U n d e r I n t e r e s t B L M S e r i a l N u m b e r C l a i m N a m e C o m p a n y N a m e F i l e d U n d e r I n t e r e s t NV101839605 SI 805 AngloGold Ashanti North America Inc Owned NV105234538 RFM 18 Coeur Sterling Inc Owned NV101839606 SI 806 AngloGold Ashanti North America Inc Owned NV101854394 RFM 11 Coeur Sterling Inc Owned NV101839607 SI 807 AngloGold Ashanti North America Inc Owned NV101854391 RFM 8 Coeur Sterling Inc Owned NV101839608 SI 808 AngloGold Ashanti North America Inc Owned NV101854393 RFM 10 Coeur Sterling Inc Owned NV101839609 SI 809 AngloGold Ashanti North America Inc Owned NV105234539 RFM 20 Coeur Sterling Inc Owned NV101839610 SI 810 AngloGold Ashanti North America Inc Owned NV101855559 RFM 19 Coeur Sterling Inc Owned NV101839612 SI 812 AngloGold Ashanti North America Inc Owned NV101855560 RFM 21 Coeur Sterling Inc Owned NV101839611 SI 811 AngloGold Ashanti North America Inc Owned NV105234540 RFM 22 Coeur Sterling Inc Owned NV101839614 SI 814 AngloGold Ashanti North America Inc Owned NV101854395 RFM 12 Coeur Sterling Inc Owned NV101839613 SI 813 AngloGold Ashanti North America Inc Owned NV101855561 RFM 23 Coeur Sterling Inc Owned NV101765410 SI 768 AngloGold Ashanti North America Inc Owned NV101854396 RFM 13 Coeur Sterling Inc Owned NV101765409 SI 767 AngloGold Ashanti North America Inc Owned NV101854384 RFM 1 Coeur Sterling Inc Owned NV101765412 SI 770 AngloGold Ashanti North America Inc Owned NV101854385 RFM 2 Coeur Sterling Inc Owned NV101765411 SI 769 AngloGold Ashanti North America Inc Owned NV101854386 RFM 3 Coeur Sterling Inc Owned NV101765406 SI 764 AngloGold Ashanti North America Inc Owned NV101855584 RFM 68 Coeur Sterling Inc Owned NV101765405 SI 763 AngloGold Ashanti North America Inc Owned NV101855585 RFM 69 Coeur Sterling Inc Owned NV101765408 SI 766 AngloGold Ashanti North America Inc Owned NV101855586 RFM 70 Coeur Sterling Inc Owned NV101765407 SI 765 AngloGold Ashanti North America Inc Owned NV101855587 RFM 71 Coeur Sterling Inc Owned NV101765402 SI 760 AngloGold Ashanti North America Inc Owned NV101855588 RFM 72 Coeur Sterling Inc Owned NV101765401 SI 759 AngloGold Ashanti North America Inc Owned NV101640632 RFM 137 Coeur Sterling Inc Owned NV101765404 SI 762 AngloGold Ashanti North America Inc Owned NV101640634 RFM 139 Coeur Sterling Inc Owned NV101765403 SI 761 AngloGold Ashanti North America Inc Owned NV101640623 RFM 128 Coeur Sterling Inc Owned NV101765019 SI 756 AngloGold Ashanti North America Inc Owned NV101640625 RFM 130 Coeur Sterling Inc Owned NV101765018 SI 755 AngloGold Ashanti North America Inc Owned NV101640622 RFM 127 Coeur Sterling Inc Owned NV101765021 SI 758 AngloGold Ashanti North America Inc Owned NV101640624 RFM 129 Coeur Sterling Inc Owned NV101765020 SI 757 AngloGold Ashanti North America Inc Owned NV101789467 RFM 118 Coeur Sterling Inc Owned NV101765015 SI 752 AngloGold Ashanti North America Inc Owned NV101789469 RFM 120 Coeur Sterling Inc Owned NV101765014 SI 751 AngloGold Ashanti North America Inc Owned NV101789466 RFM 117 Coeur Sterling Inc Owned NV101765017 SI 754 AngloGold Ashanti North America Inc Owned NV101789468 RFM 119 Coeur Sterling Inc Owned NV101765016 SI 753 AngloGold Ashanti North America Inc Owned NV101855582 RFM 66 Coeur Sterling Inc Owned


 
AngloGold Ashanti Technical Report Summary for the Arthur Gold Project – current at 31 December 2025 __________________________________________________________________________________________ 26 March 2026 201 B L M S e r i a l N u m b e r C l a i m N a m e C o m p a n y N a m e F i l e d U n d e r I n t e r e s t B L M S e r i a l N u m b e r C l a i m N a m e C o m p a n y N a m e F i l e d U n d e r I n t e r e s t NV101765011 SI 748 AngloGold Ashanti North America Inc Owned NV101855583 RFM 67 Coeur Sterling Inc Owned NV101765010 SI 747 AngloGold Ashanti North America Inc Owned NV101855581 RFM 65 Coeur Sterling Inc Owned NV101765013 SI 750 AngloGold Ashanti North America Inc Owned NV101860177 RFM 62 Coeur Sterling Inc Owned NV101765012 SI 749 AngloGold Ashanti North America Inc Owned NV101860176 RFM 61 Coeur Sterling Inc Owned NV101872490 SI 956 AngloGold Ashanti North America Inc Owned NV101860178 RFM 63 Coeur Sterling Inc Owned NV101870815 SI 1068 AngloGold Ashanti North America Inc Owned NV101860175 RFM 60 Coeur Sterling Inc Owned NV101870817 SI 1070 AngloGold Ashanti North America Inc Owned NV101855580 RFM 64 Coeur Sterling Inc Owned NV101870819 SI 1072 AngloGold Ashanti North America Inc Owned NV101860173 RFM 58 Coeur Sterling Inc Owned NV101870821 SI 1074 AngloGold Ashanti North America Inc Owned NV101860174 RFM 59 Coeur Sterling Inc Owned NV101870823 SI 1076 AngloGold Ashanti North America Inc Owned NV101860172 RFM 57 Coeur Sterling Inc Owned NV101870825 SI 1078 AngloGold Ashanti North America Inc Owned NV101860169 RFM 54 Coeur Sterling Inc Owned NV101870827 SI 1080 AngloGold Ashanti North America Inc Owned NV101860168 RFM 53 Coeur Sterling Inc Owned NV101871653 SI 1082 AngloGold Ashanti North America Inc Owned NV101860170 RFM 55 Coeur Sterling Inc Owned NV101871655 SI 1084 AngloGold Ashanti North America Inc Owned NV101860167 RFM 52 Coeur Sterling Inc Owned NV101871657 SI 1086 AngloGold Ashanti North America Inc Owned NV101860171 RFM 56 Coeur Sterling Inc Owned NV101871659 SI 1088 AngloGold Ashanti North America Inc Owned NV101860165 RFM 50 Coeur Sterling Inc Owned NV101871661 SI 1090 AngloGold Ashanti North America Inc Owned NV101860166 RFM 51 Coeur Sterling Inc Owned NV101871663 SI 1092 AngloGold Ashanti North America Inc Owned NV101860164 RFM 49 Coeur Sterling Inc Owned NV101871665 SI 1094 AngloGold Ashanti North America Inc Owned NV101860163 RFM 48 Coeur Sterling Inc Owned NV101871667 SI 1096 AngloGold Ashanti North America Inc Owned NV101439822 ROSY 2 Coeur Sterling Inc Owned NV101871669 SI 1098 AngloGold Ashanti North America Inc Owned NV101439824 ROSY 8 Coeur Sterling Inc Owned NV101871671 SI 1100 AngloGold Ashanti North America Inc Owned NV101439823 ROSY 7 Coeur Sterling Inc Owned NV101872504 SI 1102 AngloGold Ashanti North America Inc Owned NV101525238 GOLD SPAR # 2 GK Holdings MC LLC Leased NV101872506 SI 1104 AngloGold Ashanti North America Inc Owned NV101349937 GOLD SPAR # 4 GK Holdings MC LLC Leased NV101872508 SI 1106 AngloGold Ashanti North America Inc Owned NV101302902 GOLD SPAR # 6 GK Holdings MC LLC Leased NV101872510 SI 1108 AngloGold Ashanti North America Inc Owned NV101319545 DX #03 Coeur Sterling Inc Owned NV101872512 SI 1110 AngloGold Ashanti North America Inc Owned NV101319546 DX #04 Coeur Sterling Inc Owned NV101872514 SI 1112 AngloGold Ashanti North America Inc Owned NV101319544 DX #02 Coeur Sterling Inc Owned NV101872516 SI 1114 AngloGold Ashanti North America Inc Owned NV101319553 DX #11 Coeur Sterling Inc Owned NV101872518 SI 1116 AngloGold Ashanti North America Inc Owned NV101319554 DX #12 Coeur Sterling Inc Owned AngloGold Ashanti Technical Report Summary for the Arthur Gold Project – current at 31 December 2025 __________________________________________________________________________________________ 26 March 2026 202 B L M S e r i a l N u m b e r C l a i m N a m e C o m p a n y N a m e F i l e d U n d e r I n t e r e s t B L M S e r i a l N u m b e r C l a i m N a m e C o m p a n y N a m e F i l e d U n d e r I n t e r e s t NV101872520 SI 1118 AngloGold Ashanti North America Inc Owned NV101319552 DX #10 Coeur Sterling Inc Owned NV101872522 SI 1120 AngloGold Ashanti North America Inc Owned NV101319543 DX #01 Coeur Sterling Inc Owned NV101872524 SI 1122 AngloGold Ashanti North America Inc Owned NV101319551 DX #09 Coeur Sterling Inc Owned NV101870816 SI 1069 AngloGold Ashanti North America Inc Owned NV101319549 DX #07 Coeur Sterling Inc Owned NV101870818 SI 1071 AngloGold Ashanti North America Inc Owned NV101319547 DX #05 Coeur Sterling Inc Owned NV101870820 SI 1073 AngloGold Ashanti North America Inc Owned NV101510809 DX #33 Coeur Sterling Inc Owned NV101870822 SI 1075 AngloGold Ashanti North America Inc Owned NV101510810 DX #34 Coeur Sterling Inc Owned NV101870824 SI 1077 AngloGold Ashanti North America Inc Owned NV101510808 DX #32 Coeur Sterling Inc Owned NV101870826 SI 1079 AngloGold Ashanti North America Inc Owned NV101510807 DX #31 Coeur Sterling Inc Owned NV101871652 SI 1081 AngloGold Ashanti North America Inc Owned NV101510805 DX #29 Coeur Sterling Inc Owned NV101871654 SI 1083 AngloGold Ashanti North America Inc Owned NV101510806 DX #30 Coeur Sterling Inc Owned NV101871656 SI 1085 AngloGold Ashanti North America Inc Owned NV101510804 DX #28 Coeur Sterling Inc Owned NV101871658 SI 1087 AngloGold Ashanti North America Inc Owned NV101510803 DX #27 Coeur Sterling Inc Owned NV101871660 SI 1089 AngloGold Ashanti North America Inc Owned NV101510801 DX #25 Coeur Sterling Inc Owned NV101871662 SI 1091 AngloGold Ashanti North America Inc Owned NV101510802 DX #26 Coeur Sterling Inc Owned NV101871664 SI 1093 AngloGold Ashanti North America Inc Owned NV101510800 DX #24 Coeur Sterling Inc Owned NV101871666 SI 1095 AngloGold Ashanti North America Inc Owned NV101510799 DX #23 Coeur Sterling Inc Owned NV101871668 SI 1097 AngloGold Ashanti North America Inc Owned NV101510797 DX #21 Coeur Sterling Inc Owned NV101871670 SI 1099 AngloGold Ashanti North America Inc Owned NV101510798 DX #22 Coeur Sterling Inc Owned NV101871672 SI 1101 AngloGold Ashanti North America Inc Owned NV101510796 DX #20 Coeur Sterling Inc Owned NV101872505 SI 1103 AngloGold Ashanti North America Inc Owned NV101319561 DX #19 Coeur Sterling Inc Owned NV101872507 SI 1105 AngloGold Ashanti North America Inc Owned NV101319559 DX #17 Coeur Sterling Inc Owned NV101872509 SI 1107 AngloGold Ashanti North America Inc Owned NV101319560 DX #18 Coeur Sterling Inc Owned NV101872511 SI 1109 AngloGold Ashanti North America Inc Owned NV101319558 DX #16 Coeur Sterling Inc Owned NV101872513 SI 1111 AngloGold Ashanti North America Inc Owned NV101319557 DX #15 Coeur Sterling Inc Owned NV101872515 SI 1113 AngloGold Ashanti North America Inc Owned NV101319555 DX #13 Coeur Sterling Inc Owned NV101872517 SI 1115 AngloGold Ashanti North America Inc Owned NV101319556 DX #14 Coeur Sterling Inc Owned NV101872519 SI 1117 AngloGold Ashanti North America Inc Owned NV101510815 DX #39 Coeur Sterling Inc Owned NV101872521 SI 1119 AngloGold Ashanti North America Inc Owned NV101510816 DX #40 Coeur Sterling Inc Owned NV101872523 SI 1121 AngloGold Ashanti North America Inc Owned NV101510814 DX #38 Coeur Sterling Inc Owned AngloGold Ashanti Technical Report Summary for the Arthur Gold Project – current at 31 December 2025 __________________________________________________________________________________________ 26 March 2026 203 B L M S e r i a l N u m b e r C l a i m N a m e C o m p a n y N a m e F i l e d U n d e r I n t e r e s t B L M S e r i a l N u m b e r C l a i m N a m e C o m p a n y N a m e F i l e d U n d e r I n t e r e s t NV101873328 SI 1123 AngloGold Ashanti North America Inc Owned NV101510813 DX #37 Coeur Sterling Inc Owned NV101873329 SI 1124 AngloGold Ashanti North America Inc Owned NV101510811 DX #35 Coeur Sterling Inc Owned NV101873330 SI 1125 AngloGold Ashanti North America Inc Owned NV101510812 DX #36 Coeur Sterling Inc Owned NV101874240 SI 856 AngloGold Ashanti North America Inc Owned NV101512065 DX #51 Coeur Sterling Inc Owned NV101874239 SI 855 AngloGold Ashanti North America Inc Owned NV101512066 DX #52 Coeur Sterling Inc Owned NV101870694 SI 815 AngloGold Ashanti North America Inc Owned NV101512064 DX #50 Coeur Sterling Inc Owned NV101870695 SI 816 AngloGold Ashanti North America Inc Owned NV101512063 DX #49 Coeur Sterling Inc Owned NV101870697 SI 818 AngloGold Ashanti North America Inc Owned NV101512061 DX #47 Coeur Sterling Inc Owned NV101870696 SI 817 AngloGold Ashanti North America Inc Owned NV101512062 DX #48 Coeur Sterling Inc Owned NV101870698 SI 819 AngloGold Ashanti North America Inc Owned NV101512059 DX #45 Coeur Sterling Inc Owned NV101870699 SI 820 AngloGold Ashanti North America Inc Owned NV101512060 DX #46 Coeur Sterling Inc Owned NV101870801 SI 822 AngloGold Ashanti North America Inc Owned NV101512058 DX #44 Coeur Sterling Inc Owned NV101870700 SI 821 AngloGold Ashanti North America Inc Owned NV101512057 DX #43 Coeur Sterling Inc Owned NV101870803 SI 824 AngloGold Ashanti North America Inc Owned NV101510817 DX #41 Coeur Sterling Inc Owned NV101870802 SI 823 AngloGold Ashanti North America Inc Owned NV101512056 DX #42 Coeur Sterling Inc Owned NV101870804 SI 825 AngloGold Ashanti North America Inc Owned NV101512077 DX #63 Coeur Sterling Inc Owned NV101870805 SI 826 AngloGold Ashanti North America Inc Owned NV101512075 DX #61 Coeur Sterling Inc Owned NV101871631 SI 828 AngloGold Ashanti North America Inc Owned NV101512073 DX #59 Coeur Sterling Inc Owned NV101870806 SI 827 AngloGold Ashanti North America Inc Owned NV101512071 DX #57 Coeur Sterling Inc Owned NV101871632 SI 829 AngloGold Ashanti North America Inc Owned NV101512069 DX #55 Coeur Sterling Inc Owned NV101871633 SI 830 AngloGold Ashanti North America Inc Owned NV101512067 DX #53 Coeur Sterling Inc Owned NV101871635 SI 832 AngloGold Ashanti North America Inc Owned NV101513350 DX #64 Coeur Sterling Inc Owned NV101871634 SI 831 AngloGold Ashanti North America Inc Owned NV101512076 DX #62 Coeur Sterling Inc Owned NV101871637 SI 834 AngloGold Ashanti North America Inc Owned NV101512074 DX #60 Coeur Sterling Inc Owned NV101871636 SI 833 AngloGold Ashanti North America Inc Owned NV101512072 DX #58 Coeur Sterling Inc Owned NV101871638 SI 835 AngloGold Ashanti North America Inc Owned NV101512070 DX #56 Coeur Sterling Inc Owned NV101871639 SI 836 AngloGold Ashanti North America Inc Owned NV101512068 DX #54 Coeur Sterling Inc Owned NV101871641 SI 838 AngloGold Ashanti North America Inc Owned NV101513361 DX #75 Coeur Sterling Inc Owned NV101871640 SI 837 AngloGold Ashanti North America Inc Owned NV101513359 DX #73 Coeur Sterling Inc Owned NV101871642 SI 839 AngloGold Ashanti North America Inc Owned NV101513357 DX #71 Coeur Sterling Inc Owned AngloGold Ashanti Technical Report Summary for the Arthur Gold Project – current at 31 December 2025 __________________________________________________________________________________________ 26 March 2026 204 B L M S e r i a l N u m b e r C l a i m N a m e C o m p a n y N a m e F i l e d U n d e r I n t e r e s t B L M S e r i a l N u m b e r C l a i m N a m e C o m p a n y N a m e F i l e d U n d e r I n t e r e s t NV101871643 SI 840 AngloGold Ashanti North America Inc Owned NV101513355 DX #69 Coeur Sterling Inc Owned NV101871645 SI 842 AngloGold Ashanti North America Inc Owned NV101513353 DX #67 Coeur Sterling Inc Owned NV101871644 SI 841 AngloGold Ashanti North America Inc Owned NV101513351 DX #65 Coeur Sterling Inc Owned NV101873340 SI 844 AngloGold Ashanti North America Inc Owned NV101513362 DX #76 Coeur Sterling Inc Owned NV101873339 SI 843 AngloGold Ashanti North America Inc Owned NV101513360 DX #74 Coeur Sterling Inc Owned NV101873341 SI 845 AngloGold Ashanti North America Inc Owned NV101513358 DX #72 Coeur Sterling Inc Owned NV101873342 SI 846 AngloGold Ashanti North America Inc Owned NV101513356 DX #70 Coeur Sterling Inc Owned NV101873344 SI 848 AngloGold Ashanti North America Inc Owned NV101513354 DX #68 Coeur Sterling Inc Owned NV101873343 SI 847 AngloGold Ashanti North America Inc Owned NV101513352 DX #66 Coeur Sterling Inc Owned NV101873345 SI 849 AngloGold Ashanti North America Inc Owned NV101513365 DX #79 Coeur Sterling Inc Owned NV101873346 SI 850 AngloGold Ashanti North America Inc Owned NV101513363 DX #77 Coeur Sterling Inc Owned NV101873348 SI 852 AngloGold Ashanti North America Inc Owned NV101513368 DX #82 Coeur Sterling Inc Owned NV101873347 SI 851 AngloGold Ashanti North America Inc Owned NV101513367 DX #81 Coeur Sterling Inc Owned NV101874238 SI 854 AngloGold Ashanti North America Inc Owned NV101513366 DX #80 Coeur Sterling Inc Owned NV101874237 SI 853 AngloGold Ashanti North America Inc Owned NV101513364 DX #78 Coeur Sterling Inc Owned NV101874242 SI 858 AngloGold Ashanti North America Inc Owned NV101437372 MA #02 Coeur Sterling Inc Owned NV101874241 SI 857 AngloGold Ashanti North America Inc Owned NV101437373 MA #03 Coeur Sterling Inc Owned NV101874246 SI 862 AngloGold Ashanti North America Inc Owned NV101437845 MA #10 Coeur Sterling Inc Owned NV101874245 SI 861 AngloGold Ashanti North America Inc Owned NV101437847 MA #12 Coeur Sterling Inc Owned NV101874250 SI 866 AngloGold Ashanti North America Inc Owned NV101437840 MA #05 Coeur Sterling Inc Owned NV101874249 SI 865 AngloGold Ashanti North America Inc Owned NV101437839 MA #04 Coeur Sterling Inc Owned NV101874254 SI 870 AngloGold Ashanti North America Inc Owned NV101437848 MA #13 Coeur Sterling Inc Owned NV101874253 SI 869 AngloGold Ashanti North America Inc Owned NV101437843 MA #08 Coeur Sterling Inc Owned NV101873337 SI 1132 AngloGold Ashanti North America Inc Owned NV101437841 MA #06 Coeur Sterling Inc Owned NV101873336 SI 1131 AngloGold Ashanti North America Inc Owned NV101437371 MA #01 Coeur Sterling Inc Owned NV101873335 SI 1130 AngloGold Ashanti North America Inc Owned NV101437844 MA #09 Coeur Sterling Inc Owned NV101640494 SI 317 AngloGold Ashanti North America Inc Owned NV101437846 MA #11 Coeur Sterling Inc Owned NV101640605 SI 325 AngloGold Ashanti North America Inc Owned NV101437851 MA #16 Coeur Sterling Inc Owned NV101641718 SI 348 AngloGold Ashanti North America Inc Owned NV101437850 MA #15 Coeur Sterling Inc Owned NV101645425 SI 405 AngloGold Ashanti North America Inc Owned NV101437852 MA #17 Coeur Sterling Inc Owned


 
AngloGold Ashanti Technical Report Summary for the Arthur Gold Project – current at 31 December 2025 __________________________________________________________________________________________ 26 March 2026 205 B L M S e r i a l N u m b e r C l a i m N a m e C o m p a n y N a m e F i l e d U n d e r I n t e r e s t B L M S e r i a l N u m b e r C l a i m N a m e C o m p a n y N a m e F i l e d U n d e r I n t e r e s t NV101645433 SI 413 AngloGold Ashanti North America Inc Owned NV101437853 MA #18 Coeur Sterling Inc Owned NV101732747 SI 475 AngloGold Ashanti North America Inc Owned NV101437842 MA #07 Coeur Sterling Inc Owned NV101646737 SW 1 AngloGold Ashanti North America Inc Owned NV101437854 MA #19 Coeur Sterling Inc Owned NV101646739 SW 3 AngloGold Ashanti North America Inc Owned NV101437855 MA #20 Coeur Sterling Inc Owned NV101646741 SW 5 AngloGold Ashanti North America Inc Owned NV101437856 MA #22 Coeur Sterling Inc Owned NV101646738 SW 2 AngloGold Ashanti North America Inc Owned NV105791452 DAISY 8 Coeur Sterling Inc Owned NV101646740 SW 4 AngloGold Ashanti North America Inc Owned NV105791453 DAISY 9 Coeur Sterling Inc Owned NV101646742 SW 6 AngloGold Ashanti North America Inc Owned NV105791451 DAISY 7 Coeur Sterling Inc Owned NV101646743 SW 7 AngloGold Ashanti North America Inc Owned NV105791449 DAISY 5 Coeur Sterling Inc Owned NV101646745 SW 9 AngloGold Ashanti North America Inc Owned NV105791448 DAISY 4 Coeur Sterling Inc Owned NV101646747 SW 11 AngloGold Ashanti North America Inc Owned NV105791450 DAISY 6 Coeur Sterling Inc Owned NV101646744 SW 8 AngloGold Ashanti North America Inc Owned NV105791447 DAISY 3 Coeur Sterling Inc Owned NV101646746 SW 10 AngloGold Ashanti North America Inc Owned NV105791446 DAISY 2 Coeur Sterling Inc Owned NV101646748 SW 12 AngloGold Ashanti North America Inc Owned NV105791445 DAISY 1 Coeur Sterling Inc Owned NV101646749 SW 13 AngloGold Ashanti North America Inc Owned NV105791454 DAISY 10 Coeur Sterling Inc Owned NV101646750 SW 14 AngloGold Ashanti North America Inc Owned NV101435106 BX #49 Couer Sterling Inc Owned NV101646751 SW 15 AngloGold Ashanti North America Inc Owned NV101435108 BX #51 Couer Sterling Inc Owned NV101875092 SI 874 AngloGold Ashanti North America Inc Owned NV101435107 BX #50 Couer Sterling Inc Owned NV101874257 SI 873 AngloGold Ashanti North America Inc Owned NV101435109 BX #52 Couer Sterling Inc Owned NV101875093 SI 875 AngloGold Ashanti North America Inc Owned NV101435111 BX #54 Couer Sterling Inc Owned NV101875094 SI 876 AngloGold Ashanti North America Inc Owned NV101314395 ROSY 6 Couer Sterling Inc Owned NV101875096 SI 878 AngloGold Ashanti North America Inc Owned NV101314394 ROSY 4 Couer Sterling Inc Owned NV101875095 SI 877 AngloGold Ashanti North America Inc Owned NV101437849 MA #14 Couer Sterling Inc Owned NV101875097 SI 879 AngloGold Ashanti North America Inc Owned NV101850066 TATE'S WASH 24 Couer Sterling Inc Owned NV101875098 SI 880 AngloGold Ashanti North America Inc Owned NV101850064 TATE'S WASH 22 Couer Sterling Inc Owned NV101875100 SI 882 AngloGold Ashanti North America Inc Owned NV101850065 TATE'S WASH 23 Couer Sterling Inc Owned NV101875099 SI 881 AngloGold Ashanti North America Inc Owned NV101676250 LC #39 Couer Sterling Inc Owned NV101875101 SI 883 AngloGold Ashanti North America Inc Owned NV101711979 BADGER #1 Couer Sterling Inc Owned NV101875102 SI 884 AngloGold Ashanti North America Inc Owned NV101713142 BX#131-B Couer Sterling Inc Owned NV101875104 SI 886 AngloGold Ashanti North America Inc Owned NV101713145 MA #21 Couer Sterling Inc Owned AngloGold Ashanti Technical Report Summary for the Arthur Gold Project – current at 31 December 2025 __________________________________________________________________________________________ 26 March 2026 206 B L M S e r i a l N u m b e r C l a i m N a m e C o m p a n y N a m e F i l e d U n d e r I n t e r e s t B L M S e r i a l N u m b e r C l a i m N a m e C o m p a n y N a m e F i l e d U n d e r I n t e r e s t NV101875103 SI 885 AngloGold Ashanti North America Inc Owned NV101713139 BADGER #3 Couer Sterling Inc Owned NV101875105 SI 887 AngloGold Ashanti North America Inc Owned NV105791455 DGAP 5A Couer Sterling Inc Owned NV101875107 SI 889 AngloGold Ashanti North America Inc Owned NV101713140 BADGER #4 Couer Sterling Inc Owned NV101875109 SI 891 AngloGold Ashanti North America Inc Owned NV101713143 DGAP 1 Couer Sterling Inc Owned NV101875111 SI 893 AngloGold Ashanti North America Inc Owned NV101713138 BADGER #2 Couer Sterling Inc Owned NV101875927 SI 895 AngloGold Ashanti North America Inc Owned NV101711978 B-D Couer Sterling Inc Owned NV101875929 SI 897 AngloGold Ashanti North America Inc Owned NV101711977 B-C Couer Sterling Inc Owned NV101875931 SI 899 AngloGold Ashanti North America Inc Owned NV101711976 B-B Couer Sterling Inc Owned NV101875106 SI 888 AngloGold Ashanti North America Inc Owned NV101711975 B-A Couer Sterling Inc Owned NV101875108 SI 890 AngloGold Ashanti North America Inc Owned NV101319550 DX #08 Couer Sterling Inc Owned NV101875110 SI 892 AngloGold Ashanti North America Inc Owned NV101319548 DX #06 Couer Sterling Inc Owned NV101875112 SI 894 AngloGold Ashanti North America Inc Owned NV101597256 TE 2 Couer Sterling Inc Owned NV101875928 SI 896 AngloGold Ashanti North America Inc Owned NV101597255 TE 1 Couer Sterling Inc Owned NV101875930 SI 898 AngloGold Ashanti North America Inc Owned NV101597258 TE 4 Couer Sterling Inc Owned NV101875932 SI 900 AngloGold Ashanti North America Inc Owned NV101597257 TE 3 Couer Sterling Inc Owned NV101875933 SI 901 AngloGold Ashanti North America Inc Owned NV101598168 TE 7 Couer Sterling Inc Owned NV101875935 SI 903 AngloGold Ashanti North America Inc Owned NV101597259 TE 5 Couer Sterling Inc Owned NV101875937 SI 905 AngloGold Ashanti North America Inc Owned NV101598172 TE 11 Couer Sterling Inc Owned NV101875939 SI 907 AngloGold Ashanti North America Inc Owned NV101598170 TE 9 Couer Sterling Inc Owned NV101875941 SI 909 AngloGold Ashanti North America Inc Owned NV101598176 TE 15 Couer Sterling Inc Owned NV101875943 SI 911 AngloGold Ashanti North America Inc Owned NV101598174 TE 13 Couer Sterling Inc Owned NV101875945 SI 913 AngloGold Ashanti North America Inc Owned NV101598178 TE 17 Couer Sterling Inc Owned NV101875934 SI 902 AngloGold Ashanti North America Inc Owned NV101598169 TE 8 Couer Sterling Inc Owned NV101875936 SI 904 AngloGold Ashanti North America Inc Owned NV101598167 TE 6 Couer Sterling Inc Owned NV101875938 SI 906 AngloGold Ashanti North America Inc Owned NV101598173 TE 12 Couer Sterling Inc Owned NV101875940 SI 908 AngloGold Ashanti North America Inc Owned NV101598171 TE 10 Couer Sterling Inc Owned NV101875942 SI 910 AngloGold Ashanti North America Inc Owned NV101598177 TE 16 Couer Sterling Inc Owned NV101875944 SI 912 AngloGold Ashanti North America Inc Owned NV101598175 TE 14 Couer Sterling Inc Owned NV101875946 SI 914 AngloGold Ashanti North America Inc Owned NV101598179 TE 18 Couer Sterling Inc Owned NV101875947 SI 915 AngloGold Ashanti North America Inc Owned NV101598182 TE 21 Couer Sterling Inc Owned AngloGold Ashanti Technical Report Summary for the Arthur Gold Project – current at 31 December 2025 __________________________________________________________________________________________ 26 March 2026 207 B L M S e r i a l N u m b e r C l a i m N a m e C o m p a n y N a m e F i l e d U n d e r I n t e r e s t B L M S e r i a l N u m b e r C l a i m N a m e C o m p a n y N a m e F i l e d U n d e r I n t e r e s t NV101876807 SI 917 AngloGold Ashanti North America Inc Owned NV101598180 TE 19 Couer Sterling Inc Owned NV101876809 SI 919 AngloGold Ashanti North America Inc Owned NV101598186 TE 25 Couer Sterling Inc Owned NV101876811 SI 921 AngloGold Ashanti North America Inc Owned NV101598184 TE 23 Couer Sterling Inc Owned NV101876813 SI 923 AngloGold Ashanti North America Inc Owned NV101599012 TE 29 Couer Sterling Inc Owned NV101876815 SI 925 AngloGold Ashanti North America Inc Owned NV101599010 TE 27 Couer Sterling Inc Owned NV101876817 SI 927 AngloGold Ashanti North America Inc Owned NV101599014 TE 31 Couer Sterling Inc Owned NV101876806 SI 916 AngloGold Ashanti North America Inc Owned NV101598183 TE 22 Couer Sterling Inc Owned NV101876808 SI 918 AngloGold Ashanti North America Inc Owned NV101598181 TE 20 Couer Sterling Inc Owned NV101876810 SI 920 AngloGold Ashanti North America Inc Owned NV101598187 TE 26 Couer Sterling Inc Owned NV101876812 SI 922 AngloGold Ashanti North America Inc Owned NV101598185 TE 24 Couer Sterling Inc Owned NV101876814 SI 924 AngloGold Ashanti North America Inc Owned NV101599013 TE 30 Couer Sterling Inc Owned NV101876816 SI 926 AngloGold Ashanti North America Inc Owned NV101599011 TE 28 Couer Sterling Inc Owned NV101876818 SI 928 AngloGold Ashanti North America Inc Owned NV101599015 TE 32 Couer Sterling Inc Owned NV101876819 SI 929 AngloGold Ashanti North America Inc Owned NV101599018 TE 35 Couer Sterling Inc Owned NV101876821 SI 931 AngloGold Ashanti North America Inc Owned NV101599016 TE 33 Couer Sterling Inc Owned NV101876823 SI 933 AngloGold Ashanti North America Inc Owned NV101599022 TE 39 Couer Sterling Inc Owned NV101876825 SI 935 AngloGold Ashanti North America Inc Owned NV101599020 TE 37 Couer Sterling Inc Owned NV101877694 SI 937 AngloGold Ashanti North America Inc Owned NV101599024 TE 41 Couer Sterling Inc Owned NV101877696 SI 939 AngloGold Ashanti North America Inc Owned NV101599019 TE 36 Couer Sterling Inc Owned NV101877698 SI 941 AngloGold Ashanti North America Inc Owned NV101599017 TE 34 Couer Sterling Inc Owned NV101876820 SI 930 AngloGold Ashanti North America Inc Owned NV101599023 TE 40 Couer Sterling Inc Owned NV101876822 SI 932 AngloGold Ashanti North America Inc Owned NV101599021 TE 38 Couer Sterling Inc Owned NV101876824 SI 934 AngloGold Ashanti North America Inc Owned NV101599025 TE 42 Couer Sterling Inc Owned NV101876826 SI 936 AngloGold Ashanti North America Inc Owned NV101599028 TE 45 Couer Sterling Inc Owned NV101877695 SI 938 AngloGold Ashanti North America Inc Owned NV101599026 TE 43 Couer Sterling Inc Owned NV101877697 SI 940 AngloGold Ashanti North America Inc Owned NV101599853 TE 49 Couer Sterling Inc Owned NV101877699 SI 942 AngloGold Ashanti North America Inc Owned NV101599851 TE 47 Couer Sterling Inc Owned NV101871646 SI 943 AngloGold Ashanti North America Inc Owned NV101599855 TE 51 Couer Sterling Inc Owned NV101871648 SI 945 AngloGold Ashanti North America Inc Owned NV101599850 TE 46 Couer Sterling Inc Owned NV101871650 SI 947 AngloGold Ashanti North America Inc Owned NV101599027 TE 44 Couer Sterling Inc Owned AngloGold Ashanti Technical Report Summary for the Arthur Gold Project – current at 31 December 2025 __________________________________________________________________________________________ 26 March 2026 208 B L M S e r i a l N u m b e r C l a i m N a m e C o m p a n y N a m e F i l e d U n d e r I n t e r e s t B L M S e r i a l N u m b e r C l a i m N a m e C o m p a n y N a m e F i l e d U n d e r I n t e r e s t NV101872483 SI 949 AngloGold Ashanti North America Inc Owned NV101599854 TE 50 Couer Sterling Inc Owned NV101872485 SI 951 AngloGold Ashanti North America Inc Owned NV101599852 TE 48 Couer Sterling Inc Owned NV101872487 SI 953 AngloGold Ashanti North America Inc Owned NV101599856 TE 52 Couer Sterling Inc Owned NV101872489 SI 955 AngloGold Ashanti North America Inc Owned NV101599863 TE 59 Couer Sterling Inc Owned NV101871647 SI 944 AngloGold Ashanti North America Inc Owned NV101599861 TE 57 Couer Sterling Inc Owned NV101871649 SI 946 AngloGold Ashanti North America Inc Owned NV101629972 TE 63 Couer Sterling Inc Owned NV101871651 SI 948 AngloGold Ashanti North America Inc Owned NV101599865 TE 61 Couer Sterling Inc Owned NV101872484 SI 950 AngloGold Ashanti North America Inc Owned NV101629974 TE 65 Couer Sterling Inc Owned NV101872486 SI 952 AngloGold Ashanti North America Inc Owned NV101599864 TE 60 Couer Sterling Inc Owned NV101872488 SI 954 AngloGold Ashanti North America Inc Owned NV101599862 TE 58 Couer Sterling Inc Owned NV101872491 SI 957 AngloGold Ashanti North America Inc Owned NV101629973 TE 64 Couer Sterling Inc Owned NV101872492 SI 958 AngloGold Ashanti North America Inc Owned NV101629971 TE 62 Couer Sterling Inc Owned NV101872493 SI 959 AngloGold Ashanti North America Inc Owned NV101629975 TE 66 Couer Sterling Inc Owned NV101872494 SI 960 AngloGold Ashanti North America Inc Owned NV101670960 TE 73 Couer Sterling Inc Owned NV101872495 SI 961 AngloGold Ashanti North America Inc Owned NV101670958 TE 71 Couer Sterling Inc Owned NV101872496 SI 962 AngloGold Ashanti North America Inc Owned NV101670964 TE 77 Couer Sterling Inc Owned NV101872497 SI 963 AngloGold Ashanti North America Inc Owned NV101670962 TE 75 Couer Sterling Inc Owned NV101874219 SI 994 AngloGold Ashanti North America Inc Owned NV101670966 TE 79 Couer Sterling Inc Owned NV101874221 SI 996 AngloGold Ashanti North America Inc Owned NV101670961 TE 74 Couer Sterling Inc Owned NV101874223 SI 998 AngloGold Ashanti North America Inc Owned NV101670959 TE 72 Couer Sterling Inc Owned NV101874225 SI 1000 AngloGold Ashanti North America Inc Owned NV101670965 TE 78 Couer Sterling Inc Owned NV101874227 SI 1002 AngloGold Ashanti North America Inc Owned NV101670963 TE 76 Couer Sterling Inc Owned NV101874229 SI 1004 AngloGold Ashanti North America Inc Owned NV101670967 TE 80 Couer Sterling Inc Owned NV101874231 SI 1006 AngloGold Ashanti North America Inc Owned NV101670974 TE 87 Couer Sterling Inc Owned NV101874220 SI 995 AngloGold Ashanti North America Inc Owned NV101670972 TE 85 Couer Sterling Inc Owned NV101874222 SI 997 AngloGold Ashanti North America Inc Owned NV101670978 TE 91 Couer Sterling Inc Owned NV101874224 SI 999 AngloGold Ashanti North America Inc Owned NV101670976 TE 89 Couer Sterling Inc Owned NV101874226 SI 1001 AngloGold Ashanti North America Inc Owned NV101671959 TE 93 Couer Sterling Inc Owned NV101874228 SI 1003 AngloGold Ashanti North America Inc Owned NV101670975 TE 88 Couer Sterling Inc Owned NV101874230 SI 1005 AngloGold Ashanti North America Inc Owned NV101670973 TE 86 Couer Sterling Inc Owned


 
AngloGold Ashanti Technical Report Summary for the Arthur Gold Project – current at 31 December 2025 __________________________________________________________________________________________ 26 March 2026 209 B L M S e r i a l N u m b e r C l a i m N a m e C o m p a n y N a m e F i l e d U n d e r I n t e r e s t B L M S e r i a l N u m b e r C l a i m N a m e C o m p a n y N a m e F i l e d U n d e r I n t e r e s t NV101874232 SI 1007 AngloGold Ashanti North America Inc Owned NV101671958 TE 92 Couer Sterling Inc Owned NV101872498 SI 964 AngloGold Ashanti North America Inc Owned NV101670977 TE 90 Couer Sterling Inc Owned NV101872499 SI 965 AngloGold Ashanti North America Inc Owned NV101671960 TE 94 Couer Sterling Inc Owned NV101872500 SI 966 AngloGold Ashanti North America Inc Owned NV101671967 TE 101 Couer Sterling Inc Owned NV101872501 SI 967 AngloGold Ashanti North America Inc Owned NV101671965 TE 99 Couer Sterling Inc Owned NV101872502 SI 968 AngloGold Ashanti North America Inc Owned NV101671971 TE 105 Couer Sterling Inc Owned NV101872503 SI 969 AngloGold Ashanti North America Inc Owned NV101671969 TE 103 Couer Sterling Inc Owned NV101873307 SI 970 AngloGold Ashanti North America Inc Owned NV101671973 TE 107 Couer Sterling Inc Owned NV101874233 SI 1008 AngloGold Ashanti North America Inc Owned NV101671968 TE 102 Couer Sterling Inc Owned NV101874235 SI 1010 AngloGold Ashanti North America Inc Owned NV101671966 TE 100 Couer Sterling Inc Owned NV101875071 SI 1012 AngloGold Ashanti North America Inc Owned NV101671972 TE 106 Couer Sterling Inc Owned NV101875073 SI 1014 AngloGold Ashanti North America Inc Owned NV101671970 TE 104 Couer Sterling Inc Owned NV101875075 SI 1016 AngloGold Ashanti North America Inc Owned NV101671974 TE 108 Couer Sterling Inc Owned NV101875077 SI 1018 AngloGold Ashanti North America Inc Owned NV101599859 TE 55 Couer Sterling Inc Owned NV101875079 SI 1020 AngloGold Ashanti North America Inc Owned NV101599857 TE 53 Couer Sterling Inc Owned NV101874234 SI 1009 AngloGold Ashanti North America Inc Owned NV101599860 TE 56 Couer Sterling Inc Owned NV101874236 SI 1011 AngloGold Ashanti North America Inc Owned NV101599858 TE 54 Couer Sterling Inc Owned NV101875072 SI 1013 AngloGold Ashanti North America Inc Owned NV101629978 TE 69 Couer Sterling Inc Owned NV101875074 SI 1015 AngloGold Ashanti North America Inc Owned NV101629976 TE 67 Couer Sterling Inc Owned NV101875076 SI 1017 AngloGold Ashanti North America Inc Owned NV101629979 TE 70 Couer Sterling Inc Owned NV101875078 SI 1019 AngloGold Ashanti North America Inc Owned NV101629977 TE 68 Couer Sterling Inc Owned NV101875080 SI 1021 AngloGold Ashanti North America Inc Owned NV101670970 TE 83 Couer Sterling Inc Owned NV101873308 SI 971 AngloGold Ashanti North America Inc Owned NV101670968 TE 81 Couer Sterling Inc Owned NV101873309 SI 972 AngloGold Ashanti North America Inc Owned NV101670971 TE 84 Couer Sterling Inc Owned NV101873310 SI 973 AngloGold Ashanti North America Inc Owned NV101670969 TE 82 Couer Sterling Inc Owned NV101873311 SI 974 AngloGold Ashanti North America Inc Owned NV101671963 TE 97 Couer Sterling Inc Owned NV101873312 SI 975 AngloGold Ashanti North America Inc Owned NV101671961 TE 95 Couer Sterling Inc Owned NV101873313 SI 976 AngloGold Ashanti North America Inc Owned NV101671964 TE 98 Couer Sterling Inc Owned NV101873314 SI 977 AngloGold Ashanti North America Inc Owned NV101671962 TE 96 Couer Sterling Inc Owned NV101875081 SI 1022 AngloGold Ashanti North America Inc Owned NV101671977 TE 112 Couer Sterling Inc Owned AngloGold Ashanti Technical Report Summary for the Arthur Gold Project – current at 31 December 2025 __________________________________________________________________________________________ 26 March 2026 210 B L M S e r i a l N u m b e r C l a i m N a m e C o m p a n y N a m e F i l e d U n d e r I n t e r e s t B L M S e r i a l N u m b e r C l a i m N a m e C o m p a n y N a m e F i l e d U n d e r I n t e r e s t NV101875083 SI 1024 AngloGold Ashanti North America Inc Owned NV101671975 TE 109 Couer Sterling Inc Owned NV101875085 SI 1026 AngloGold Ashanti North America Inc Owned NV101671976 TE 110 Couer Sterling Inc Owned NV101875087 SI 1028 AngloGold Ashanti North America Inc Owned NV101556200 TE 111 Couer Sterling Inc Owned NV101875089 SI 1030 AngloGold Ashanti North America Inc Owned NV101850051 TATE'S WASH 9 Couer Sterling Inc Owned NV101875091 SI 1032 AngloGold Ashanti North America Inc Owned NV101850055 TATE'S WASH 13 Couer Sterling Inc Owned NV101875907 SI 1034 AngloGold Ashanti North America Inc Owned NV101855562 RFM 25 Couer Sterling Inc Owned NV101875082 SI 1023 AngloGold Ashanti North America Inc Owned NV101854388 RFM 5 Couer Sterling Inc Owned NV101875084 SI 1025 AngloGold Ashanti North America Inc Owned NV101854392 RFM 9 Couer Sterling Inc Owned NV101875086 SI 1027 AngloGold Ashanti North America Inc Owned NV101376027 BX #46 Couer Sterling Inc Owned NV101875088 SI 1029 AngloGold Ashanti North America Inc Owned NV101641734 RFM 149 Couer Sterling Inc Owned NV101875090 SI 1031 AngloGold Ashanti North America Inc Owned NV101739478 RFM 244 Couer Sterling Inc Owned NV101875906 SI 1033 AngloGold Ashanti North America Inc Owned NV101856276 RFM 457 Couer Sterling Inc Owned NV101875908 SI 1035 AngloGold Ashanti North America Inc Owned NV101856277 RFM 458 Couer Sterling Inc Owned NV101873315 SI 978 AngloGold Ashanti North America Inc Owned NV101739496 RFM 361 Couer Sterling Inc Owned NV101873316 SI 979 AngloGold Ashanti North America Inc Owned NV101854156 RFM 387 Couer Sterling Inc Owned NV101873317 SI 980 AngloGold Ashanti North America Inc Owned NV101854148 RFM 379 Couer Sterling Inc Owned NV101873318 SI 981 AngloGold Ashanti North America Inc Owned NV101556153 BAD BILL Couer Sterling Inc Owned NV101873319 SI 982 AngloGold Ashanti North America Inc Owned NV101556155 CHUCK #2 Couer Sterling Inc Owned NV101873320 SI 983 AngloGold Ashanti North America Inc Owned NV101556154 CHUCK #1 Couer Sterling Inc Owned NV101873321 SI 984 AngloGold Ashanti North America Inc Owned NV105245090 TWE 1 Couer Sterling Inc Owned NV101875909 SI 1036 AngloGold Ashanti North America Inc Owned NV105245091 TWE 2 Couer Sterling Inc Owned NV101875911 SI 1038 AngloGold Ashanti North America Inc Owned NV105245093 TWE 4 Couer Sterling Inc Owned NV101875913 SI 1040 AngloGold Ashanti North America Inc Owned NV105245092 TWE 3 Couer Sterling Inc Owned NV101875915 SI 1042 AngloGold Ashanti North America Inc Owned NV105245094 TWE 5 Couer Sterling Inc Owned NV101719911 SI 1044 AngloGold Ashanti North America Inc Owned NV105245095 TWE 6 Couer Sterling Inc Owned NV101719913 SI 1046 AngloGold Ashanti North America Inc Owned NV105245097 TWE 8 Couer Sterling Inc Owned NV101719915 SI 1048 AngloGold Ashanti North America Inc Owned NV105245096 TWE 7 Couer Sterling Inc Owned NV101875910 SI 1037 AngloGold Ashanti North America Inc Owned NV105245098 TWE 9 Couer Sterling Inc Owned NV101875912 SI 1039 AngloGold Ashanti North America Inc Owned NV105245099 TWE 10 Couer Sterling Inc Owned NV101875914 SI 1041 AngloGold Ashanti North America Inc Owned NV105245100 TWE 11 Couer Sterling Inc Owned AngloGold Ashanti Technical Report Summary for the Arthur Gold Project – current at 31 December 2025 __________________________________________________________________________________________ 26 March 2026 211 B L M S e r i a l N u m b e r C l a i m N a m e C o m p a n y N a m e F i l e d U n d e r I n t e r e s t B L M S e r i a l N u m b e r C l a i m N a m e C o m p a n y N a m e F i l e d U n d e r I n t e r e s t NV101719910 SI 1043 AngloGold Ashanti North America Inc Owned NV105290476 WC #8 Couer Sterling Inc Owned NV101719912 SI 1045 AngloGold Ashanti North America Inc Owned NV105290482 WC #14 Couer Sterling Inc Owned NV101719914 SI 1047 AngloGold Ashanti North America Inc Owned NV105290481 WC #13 Couer Sterling Inc Owned NV101719916 SI 1049 AngloGold Ashanti North America Inc Owned NV105290484 WC #16 Couer Sterling Inc Owned NV101873322 SI 985 AngloGold Ashanti North America Inc Owned NV105290483 WC #15 Couer Sterling Inc Owned NV101873323 SI 986 AngloGold Ashanti North America Inc Owned NV105290480 WC #12 Couer Sterling Inc Owned NV101873324 SI 987 AngloGold Ashanti North America Inc Owned NV105290479 WC #11 Couer Sterling Inc Owned NV101873325 SI 988 AngloGold Ashanti North America Inc Owned NV105290477 WC #9 Couer Sterling Inc Owned NV101873326 SI 989 AngloGold Ashanti North America Inc Owned NV105290475 WC #7 Couer Sterling Inc Owned NV101873327 SI 990 AngloGold Ashanti North America Inc Owned NV105290478 WC #10 Couer Sterling Inc Owned NV101874216 SI 991 AngloGold Ashanti North America Inc Owned NV105290473 WC #5 Couer Sterling Inc Owned NV101719917 SI 1050 AngloGold Ashanti North America Inc Owned NV105290474 WC #6 Couer Sterling Inc Owned NV101719919 SI 1052 AngloGold Ashanti North America Inc Owned NV105290470 WC #2 Couer Sterling Inc Owned NV101719921 SI 1054 AngloGold Ashanti North America Inc Owned NV105290472 WC #4 Couer Sterling Inc Owned NV101719923 SI 1056 AngloGold Ashanti North America Inc Owned NV105290471 WC #3 Couer Sterling Inc Owned