S-K 1300 Technical Report Summary Wodgina Operation, Western Australia Albemarle Corporation 4250 Congress St, Suite 900, Charlotte, NC, 28209 Prepared by: SLR USA Advisory Inc. 1658 Cole Blvd, Suite 100, Lakewood, Colorado, 80401 SLR Project No.: 000.V00720.00RP2 Effective Date: June 30, 2025 Signature Date: February 11, 2026 Revision: 0 Exhibit 96.2 Albemarle Corporation | Wodgina Lithium Operation S-K 1300 Technical Report Summary February 11, 2026 SLR Project No.: 000.V00720.00RP2 i Table of Contents Table of Contents ....................................................................................................................... i 1.0 Executive Summary ...................................................................................................1-1 1.1 Summary ......................................................................................................................1-1 1.2 Report Scope ...............................................................................................................1-1 1.3 Property Description and Location ................................................................................1-2 1.4 Geology and Mineralization ..........................................................................................1-2 1.5 Exploration Status ........................................................................................................1-3 1.6 Development and Operations .......................................................................................1-3 1.7 Mineral Resources and Mineral Reserves ....................................................................1-5 1.8 Market Studies .............................................................................................................1-8 1.9 Environmental, Permitting, and Social Considerations ..................................................1-9 1.10 Economic Evaluation .................................................................................................. 1-10 1.11 Conclusions ................................................................................................................ 1-11 1.12 Recommendations...................................................................................................... 1-12 1.13 Key Risks ................................................................................................................... 1-13 2.0 Introduction ................................................................................................................2-1 2.1 Report Scope ...............................................................................................................2-1 2.2 Site Visits .....................................................................................................................2-1 2.3 Sources of Information .................................................................................................2-2 2.4 Forward-Looking Statements ........................................................................................2-2 2.5 List of Abbreviations .....................................................................................................2-3 2.6 Independence ...............................................................................................................2-8 2.7 Inherent Mining Risks ...................................................................................................2-9 3.0 Property Description ..................................................................................................3-1 3.1 Location ........................................................................................................................3-1 3.2 Land Tenure .................................................................................................................3-4 3.3 Surface Rights and Easement ......................................................................................3-9 3.4 Material Government Consents ....................................................................................3-9 3.5 Significant Limiting Factors and Encumbrances ......................................................... 3-10 3.6 Royalties .................................................................................................................... 3-10 3.7 Required Permits and Status ...................................................................................... 3-10 3.8 Other Significant Factors and Risks ............................................................................ 3-10 4.0 Accessibility, Climate, Local Resources, Infrastructure and Physiography ..........4-1 Albemarle Corporation | Wodgina Lithium Operation S-K 1300 Technical Report Summary February 11, 2026 SLR Project No.: 000.V00720.00RP2 ii 4.1 Accessibility ..................................................................................................................4-1 4.2 Climate .........................................................................................................................4-1 4.3 Local Resources ...........................................................................................................4-1 4.4 Infrastructure ................................................................................................................4-2 4.5 Physiography ................................................................................................................4-3 5.0 History .........................................................................................................................5-1 5.1 Exploration and Development History ...........................................................................5-1 5.2 Past Production ............................................................................................................5-3 6.0 Geological Setting, Mineralization, and Deposit ......................................................6-1 6.1 Regional Geology .........................................................................................................6-1 6.2 Local Geology ..............................................................................................................6-1 6.3 Pegmatite Geology .......................................................................................................6-4 6.4 Mineralization ...............................................................................................................6-8 6.5 Deposit Types ..............................................................................................................6-9 7.0 Exploration..................................................................................................................7-1 7.1 Exploration ...................................................................................................................7-1 7.2 Drilling ..........................................................................................................................7-3 7.3 Hydrogeology ...............................................................................................................7-8 7.4 Geotechnical Data, Testing, and Analysis .................................................................. 7-10 8.0 Sample Preparation, Analyses, and Security ...........................................................8-1 8.1 Density Determinations ................................................................................................8-1 8.2 Analytical and Test Laboratories...................................................................................8-2 8.3 Sample Preparation and Analysis .................................................................................8-2 8.4 Sample Security ...........................................................................................................8-3 8.5 Quality Assurance and Quality Control .........................................................................8-4 9.0 Data Verification .........................................................................................................9-1 10.0 Mineral Processing and Metallurgical Testing ....................................................... 10-1 10.1 Mineralogy .................................................................................................................. 10-1 10.2 Metallurgical Test Work .............................................................................................. 10-2 10.3 LOM Plan ................................................................................................................... 10-4 11.0 Mineral Resource Estimates .................................................................................... 11-1 11.1 Resource Areas .......................................................................................................... 11-1 11.2 Statement Of Mineral Resources ................................................................................ 11-2 11.3 Initial Assessment ...................................................................................................... 11-4 Albemarle Corporation | Wodgina Lithium Operation S-K 1300 Technical Report Summary February 11, 2026 SLR Project No.: 000.V00720.00RP2 iii 11.4 Resource Database .................................................................................................... 11-5 11.5 Geological Interpretation ............................................................................................ 11-6 11.6 Resource Assays ..................................................................................................... 11-11 11.7 Block Model .............................................................................................................. 11-20 11.8 Classification ............................................................................................................ 11-27 11.9 Comparison to Previous Mineral Resources Estimates ............................................ 11-30 11.10 Exploration Potential ................................................................................................. 11-31 12.0 Mineral Reserve Estimates ...................................................................................... 12-1 12.1 Summary .................................................................................................................... 12-1 12.2 Statement of Mineral Reserves................................................................................... 12-2 12.3 Approach .................................................................................................................... 12-4 12.4 Planning Status .......................................................................................................... 12-4 12.5 Modifying Factors ....................................................................................................... 12-5 12.6 Comparison to Previous Mineral Reserve Estimate .................................................. 12-11 13.0 Mining Methods ........................................................................................................ 13-1 13.1 Mining Method ............................................................................................................ 13-1 13.2 Mine Design ............................................................................................................... 13-1 13.3 Geotechnical Considerations ...................................................................................... 13-1 13.4 Hydrogeological Considerations ................................................................................. 13-4 13.5 Mining Strategy .......................................................................................................... 13-5 13.6 Life of Mine Plan ......................................................................................................... 13-6 13.7 Mining Equipment ..................................................................................................... 13-14 13.8 Equipment Estimate ................................................................................................. 13-14 14.0 Processing and Recovery Methods ........................................................................ 14-1 14.1 Process Description .................................................................................................... 14-1 14.2 Process Plant Design ............................................................................................... 14-10 15.0 Infrastructure ............................................................................................................ 15-1 15.1 Site Access ................................................................................................................ 15-1 15.2 Airport......................................................................................................................... 15-1 15.3 Port ............................................................................................................................ 15-1 15.4 Site Buildings .............................................................................................................. 15-1 15.5 Power Supply ............................................................................................................. 15-3 15.6 Water Supply .............................................................................................................. 15-3 15.7 Tailings Disposal ........................................................................................................ 15-5


 
Albemarle Corporation | Wodgina Lithium Operation S-K 1300 Technical Report Summary February 11, 2026 SLR Project No.: 000.V00720.00RP2 iv 15.8 Production Capacities and Schedule .......................................................................... 15-9 16.0 Market Studies .......................................................................................................... 16-1 16.1 Introduction ................................................................................................................ 16-1 16.2 Lithium Demand ......................................................................................................... 16-1 16.3 Lithium Supply ............................................................................................................ 16-5 16.4 Lithium Supply-Demand Balance ................................................................................ 16-7 16.5 Lithium Prices ............................................................................................................. 16-8 16.6 Contracts .................................................................................................................. 16-11 17.0 Environmental Studies, Permitting, and Plans, Negotiations, or Agreements with Local Individuals or Groups ............................................................................ 17-1 17.1 Environmental and Social Studies .............................................................................. 17-1 17.2 Environmental and Social Management ..................................................................... 17-7 17.3 Operation Permitting and Compliance ...................................................................... 17-11 17.4 Mine Closure Requirements ..................................................................................... 17-17 18.0 Capital and Operating Costs ................................................................................... 18-1 18.1 Capital Costs .............................................................................................................. 18-1 18.2 Mine Closure and Rehabilitation ................................................................................. 18-2 18.3 Operating Costs ......................................................................................................... 18-2 18.4 Safeguard Mechanism ................................................................................................ 18-4 19.0 Economic Analysis ................................................................................................... 19-1 19.1 Economic Criteria ....................................................................................................... 19-1 19.2 Cash Flow Analyses ................................................................................................... 19-1 19.3 Sensitivity Analysis ..................................................................................................... 19-5 20.0 Adjacent Properties .................................................................................................. 20-1 21.0 Other Relevant Data and Information ...................................................................... 21-1 22.0 Interpretation and Conclusions ............................................................................... 22-1 22.1 Geology ...................................................................................................................... 22-1 22.2 Mining......................................................................................................................... 22-1 22.3 Mineral Processing ..................................................................................................... 22-2 22.4 Environmental, Social, and Governance ..................................................................... 22-2 23.0 Recommendations ................................................................................................... 23-1 23.1 Geology and Mineral Resources................................................................................. 23-1 23.2 Mining......................................................................................................................... 23-1 23.3 Mineral Processing ..................................................................................................... 23-1 23.4 Environmental, Social, and Governance ..................................................................... 23-2 Albemarle Corporation | Wodgina Lithium Operation S-K 1300 Technical Report Summary February 11, 2026 SLR Project No.: 000.V00720.00RP2 v 23.5 Tailings Storage ......................................................................................................... 23-2 24.0 References ................................................................................................................ 24-1 25.0 Reliance on Information Provided by the Registrant ............................................. 25-1 25.1 Macroeconomic Trends .............................................................................................. 25-1 25.2 Marketing ................................................................................................................... 25-1 25.3 Legal Matters .............................................................................................................. 25-1 25.4 Environmental Matters ................................................................................................ 25-1 25.5 Stakeholder Accommodations .................................................................................... 25-2 25.6 Governmental Factors ................................................................................................ 25-2 26.0 Date and Signature Page ......................................................................................... 26-1 Tables Table 1-1: LOM Physicals ................................................................................................. 1-4 Table 1-2: Statement of Mineral Resources at June 30, 2025 (Albemarle Share 50%) ..... 1-6 Table 1-3: Statement of Mineral Reserves as at June 30, 2025 (Albemarle Share 50%) .. 1-8 Table 1-4: Summary of Economic Evaluation ................................................................. 1-11 Table 2-1: Site Visit Summary ........................................................................................... 2-2 Table 2-2: List of Abbreviations ......................................................................................... 2-3 Table 3-1: Land Tenure .................................................................................................... 3-7 Table 5-1: Production History ............................................................................................ 5-4 Table 5-2: Production Since Restart in 2022 ..................................................................... 5-5 Table 7-1: Resource Drilling Summary ............................................................................. 7-8 Table 8-1: Density Values for Material Types at Wodgina ................................................. 8-1 Table 8-2: Density Estimates for TSFs .............................................................................. 8-2 Table 8-3: Elements, Units, and Detection Limits for Wodgina Analyses at NAGROM ...... 8-3 Table 8-4: Comparison of CRM Analysis .......................................................................... 8-5 Table 10-1: Mineralogical Documentation Reviewed ........................................................ 10-1 Table 10-2: Geometallurgy – Mineralogy Sample Texture Selection ................................. 10-2 Table 10-3: Metallurgical Test Work Documentation Reviewed ........................................ 10-3 Table 11-1: Statement of Mineral Resources at June 30, 2025 ......................................... 11-3 Table 11-2: Summary Statistics per Domain ................................................................... 11-12 Table 11-3: Variogram Interpretation .............................................................................. 11-16 Table 11-4: Selected Optimal Parameters ...................................................................... 11-17 Table 11-5: Density Values for Material Types at Wodgina ............................................. 11-18 Albemarle Corporation | Wodgina Lithium Operation S-K 1300 Technical Report Summary February 11, 2026 SLR Project No.: 000.V00720.00RP2 vi Table 11-6: Density Estimates for TSFs .......................................................................... 11-20 Table 11-7: Block Model Parameters .............................................................................. 11-21 Table 11-8: Search Parameters ...................................................................................... 11-21 Table 11-9: Comparison with Previous Mineral Resources Estimates ............................. 11-30 Table 12-1: Statement of Mineral Reserves as at June 30, 2025 ...................................... 12-3 Table 12-2: Pit Limit Optimization Parameters .................................................................. 12-5 Table 12-3: Applied Ore Recovery Factor ......................................................................... 12-9 Table 12-4: Pit Design Parameters ................................................................................... 12-9 Table 12-5: Pit Ramp Parameters ................................................................................... 12-10 Table 12-6: LOM Plant Feed Yield .................................................................................. 12-10 Table 12-7: Reserves Marginal Cut-off Grade Assumptions ........................................... 12-11 Table 12-8: Comparison with Previous Mineral Reserves ............................................... 12-11 Table 13-1: LOM Physicals ............................................................................................... 13-7 Table 13-2: LOM Schedule as at June 30, 2025 ............................................................. 13-12 Table 13-3: Major Earth Moving Fleet ............................................................................. 13-14 Table 13-4: Major Mining Fleet Summary ....................................................................... 13-15 Table 14-1: Process Design Criteria ............................................................................... 14-11 Table 14-2: Mass Balance .............................................................................................. 14-15 Table 14-3: Mechanical Equipment List .......................................................................... 14-16 Table 15-1: Fine Tailings Storage Capacity .................................................................... 15-10 Table 18-1: LOM Capital Cost Estimate ............................................................................ 18-1 Table 18-2: Annual Capital Costs Summary ..................................................................... 18-2 Table 18-3: Annual Operating Costs Summary ................................................................. 18-3 Table 18-4: LOM Average Annual Cost ............................................................................ 18-4 Table 19-1: Annual Discounted Cash flow ........................................................................ 19-2 Table 19-2: Annual Cash flow ........................................................................................... 19-4 Table 19-3: Sensitivities Applied to NPV Sensitivity Analysis ............................................ 19-5 Figures Figure 1-1: Lithium Supply-Demand Balance (000 tonnes LCE) ........................................ 1-9 Figure 3-1: General Location.............................................................................................. 3-2 Figure 3-2: Regional Location Plan .................................................................................... 3-3 Figure 3-3: Site Layout Plan ............................................................................................... 3-6 Figure 4-1: Overview of the Operation ............................................................................... 4-3 Albemarle Corporation | Wodgina Lithium Operation S-K 1300 Technical Report Summary February 11, 2026 SLR Project No.: 000.V00720.00RP2 vii Figure 6-1: Geological Map of the Wodgina Greenstone Belt Showing Distribution of Pegmatite Fields .............................................................................................. 6-3 Figure 6-2: Simplified Local Geology Map .......................................................................... 6-4 Figure 6-3: Generalized Cross-Section of the Mt Cassiterite and Mt Tinstone Pegmatites . 6-6 Figure 6-4: Stratigraphic Column of the Pegmatite ............................................................. 6-7 Figure 6-5: Upper Contact of the Basal Zone ..................................................................... 6-9 Figure 7-1: Sample Locations for Re-assayed RC Pulp (black) and New Samples (red) from 2016................................................................................................................. 7-2 Figure 7-2: Drill Hole Locations .......................................................................................... 7-7 Figure 7-3: Foliation Controlling Batter Stability in the East Wall ...................................... 7-11 Figure 10-1: Geometallurgical Program – Metallurgical Testing Flowsheet ........................ 10-3 Figure 11-1: Interpreted Lithology Model ............................................................................ 11-7 Figure 11-2: Geological Interpretation of In situ Pegmatites ............................................... 11-8 Figure 11-3: Wireframe Surfaces of TSF Top and Base ................................................... 11-10 Figure 11-4: Log Probability by Depth of Percentage Lithia in Tailings ............................. 11-11 Figure 11-5: Example Variogram of the Basal Pegmatite for Li2O .................................... 11-15 Figure 11-6: TSF Composite Histogram ........................................................................... 11-19 Figure 11-7: TSF Log Probability Plot .............................................................................. 11-19 Figure 11-8: Plan View of Interpreted Fault Zones ........................................................... 11-22 Figure 11-9: Cross Section Comparison of the Drill Holes Vs the Block Model. ............... 11-23 Figure 11-10: Swath Plots for Basal Pegmatites ................................................................ 11-24 Figure 11-11: 2024 Monthly Reconciliation ........................................................................ 11-25 Figure 11-12: Section through the TSF Rock Model at 7,656,500 mN................................ 11-26 Figure 11-13: Classification of the Mineral Resources ....................................................... 11-29 Figure 11-14: Depth Extension Beneath LOM Pit ............................................................... 11-32 Figure 12-1: Whittle Pit Shell Sensitivity ............................................................................. 12-6 Figure 12-2: Optimized Pit Shell Site Layout ...................................................................... 12-7 Figure 13-1: LOM Pit Design Shell and Waste Rock Formation ......................................... 13-3 Figure 13-2: LOM Total Material Movement (ex-pit + tailings rehandle) ............................. 13-8 Figure 13-3: LOM Active Mining Areas ............................................................................... 13-9 Figure 13-4: LOM EWL Dump Sequence ......................................................................... 13-10 Figure 13-5: LOM Stockpile Inventory .............................................................................. 13-11 Figure 14-1: Processing Overview – Block Flow Diagram .................................................. 14-1 Figure 14-2: Process Plant Overview – Aerial Image ......................................................... 14-2 Figure 14-3: Comminution Circuit – Block Flow Diagram ................................................... 14-3


 
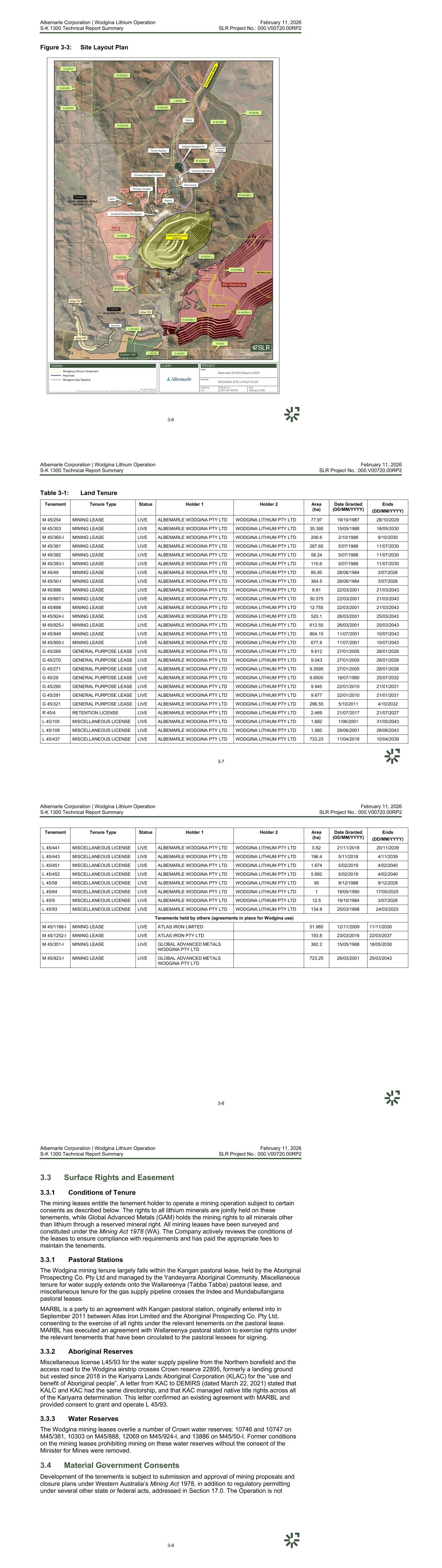
Albemarle Corporation | Wodgina Lithium Operation S-K 1300 Technical Report Summary February 11, 2026 SLR Project No.: 000.V00720.00RP2 viii Figure 14-4: Crushing Circuit – Aerial View ........................................................................ 14-4 Figure 14-5: Processing Train Example – Block Flow Diagram .......................................... 14-6 Figure 14-6: Processing Trains 1 to 3 – Aerial View ........................................................... 14-7 Figure 15-1: Site Layout ..................................................................................................... 15-2 Figure 15-2: Simplified Water Flow Sheet .......................................................................... 15-4 Figure 15-3: Atlas Tailings Storage Facilities ..................................................................... 15-6 Figure 15-4: TSF3E ........................................................................................................... 15-8 Figure 15-5: Southern Sites 1 and 2 ................................................................................ 15-11 Figure 16-1: Global EV Sales and Penetration Rates (000 vehicles, %) ............................. 16-2 Figure 16-2: Global Lithium Demand in Key Sectors (000 LCE tonnes) ............................. 16-3 Figure 16-3: Forecast Mine Supply (000 tonnes LCE) ........................................................ 16-6 Figure 16-4: Lithium Supply-Demand Balance (000 tonnes LCE) ...................................... 16-8 Figure 16-5: Spodumene Prices (6% lithia, spot, CIF China, US$/tonne) ........................... 16-9 Figure 16-6: Spodumene Long-Term Price Forecast Scenarios (6% Li2O spot, CIF China, US$/tonne, real (2025))................................................................................ 16-11 Figure 17-1: Estimated Assessment Timeframes ............................................................. 17-16 Figure 19-1: Operation Cash flow and Pre Tax NPV Summary (100% Basis) .................... 19-3 Figure 19-2: NPV Sensitivity Analysis ................................................................................ 19-5 Albemarle Corporation | Wodgina Lithium Operation S-K 1300 Technical Report Summary February 11, 2026 SLR Project No.: 000.V00720.00RP2 1-1 1.0 Executive Summary 1.1 Summary SLR USA Advisory Inc. (SLR), formerly RPMGlobal USA, Inc. (RPM), was retained by Albemarle Corporation (Albemarle or the Client) to prepare an independent Technical Report Summary (TRS) on the Wodgina Lithium Operation (the Operation or Wodgina), located approximately 110 km (by paved highway) south-southeast of Port Hedland, in the Pilbara region of the state of Western Australia (WA), Australia. The purpose of this Report is to provide a Technical Report Summary (TRS or the Report) including an updated Mineral Resource and Mineral Reserves estimate in accordance with the guidelines of Regulation S-K Subpart 1300 (“S-K 1300”). The Operation is owned by an unincorporated Joint Venture between Mineral Resources Limited (MRL) (50%) and Albemarle (50%), known as the MARBL Lithium Joint Venture (MARBL JV, MARBL, or the Company). MRL, through various wholly owned subsidiaries, operates Wodgina on behalf of MARBL including life of mine (LOM) crushing services contracts. Each party individually manages the marketing and sales of its attributable share of spodumene concentrate. SLR’s technical team (the Team) consisted of senior, principal, and executive level Consultants across geology, mining, processing, infrastructure, and environment, health, safety and social (EHSS) with relevant experience in the styles of mineralization, mining method, and regional setting of the Operation. SLR, as the Qualified Person (QP), was responsible for overseeing the compilation of this TRS and the statements of Mineral Resources and Mineral Reserves stated within. Two site visits were conducted by several of the Team members to familiarize themselves with the Operation, as part of the compilation of the TRS, which included the mine site and surface operations. The Team also held several meetings with key operational staff in the areas of geology, mining, reconciliation, processing and EHSS during the undertaking of the TRS. During the site visits and meetings, the Team had open discussions with operational personnel on technical aspects relating to the relevant issues. The personnel were cooperative and open in facilitating SLR’s work. It is highlighted that all costs and cash flow within this TRS are presented in Australian Dollars (A$ or $) (unless otherwise stated), the financial analysis have been detailed and evaluated on a 100% equity basis (compared to Albemarle’s 50%), and no adjustment has been made for inflation (real terms basis). 1.2 Report Scope The purpose of this TRS is to update the Mineral Resources and Mineral Reserves estimates for Wodgina as at June 30, 2025 (the Effective Date), reported to reflect the 50% Albemarle ownership in the relevant holding companies that own the Operation. This TRS conforms to the United States Securities and Exchange Commission’s (SEC) Modernized Property Disclosure Requirements for Mining Registrants as described in Title 17 Subpart 229.1300 of Regulation S- K, Disclosure by Registrants Engaged in Mining Operations (S-K 1300) and Item 601 (b)(96) Technical Report Summary. The TRS was prepared by SLR as a third-party firm in accordance with S-K 1300. References to the QP are references to SLR and not to any individual employed or engaged by SLR. Albemarle Corporation | Wodgina Lithium Operation S-K 1300 Technical Report Summary February 11, 2026 SLR Project No.: 000.V00720.00RP2 1-2 In addition to work undertaken to generate independent Mineral Resources and Mineral Reserves estimates, the TRS relies largely on information provided by the Company, MRL, or the Client, either directly from the site and other offices or from reports by other organizations whose work is the property of the Company or the Client or its subsidiaries. The data relied upon for the Mineral Resources and Mineral Reserves estimates independently completed by SLR have been compiled primarily by the Client and/or the Company and subsequently reviewed and verified as well as reasonably possible by SLR. The TRS is based on information made available to SLR as of June 30, 2025. Neither the Client nor MRL has advised SLR of any material change, or event likely to cause material change, to the underlying data, designs, or forecasts since the date of asset inspections. It is noted that references to quarterly, half-yearly or annual time periods are based on a calendar year commencing January 1 each year, unless otherwise noted. 1.3 Property Description and Location Wodgina is a large-scale operating lithium mine that is located within a series of adjacent concessions that contain numerous large-scale, medium-grade lithium-bearing pegmatites. The pegmatites have been the subject of multiple generations of exploration to define Mineral Resources and Mineral Reserves, as presented in this TRS. Mining operations are undertaken via conventional truck and shovel methods, which feed an on-site processing facility consisting of three identical train modules. This facility produces a 5.5% lithium oxide (Li2O) concentrate (spodumene concentrate [SC]5.5), which is subsequently transported to a third-party port facility in Port Hedland. MRL, and subsequently the Company, has a history of operating in the Pilbara, acquiring the Operation in 2016 and commencing Direct Shipping Ore (DSO) production and sales in 2017, prior to the establishment of MARBL in 2019. The Operation is currently ramping up production after restarting operations in May 2022. Wodgina has undergone several expansions to its current total nominal processing capacity of 5.6 million tonnes per annum (Mtpa) and is forecast to produce 828 thousand tonnes (kt) of SC5.5 in 2026. Wodgina operates under tenure issued by the State Government of Western Australia and granted under the provisions of the Mining Act 1978. Wodgina has a combined surface extent of approximately 12,469 hectares (ha) with a total of 19 Mining Leases, one Retention License, seven General Purpose Leases, and 11 Miscellaneous License. Most titles are held jointly by Albemarle Wodgina Pty Ltd and Wodgina Lithium Pty Ltd; however, four Mining Leases are held by third parties (Atlas Iron Pty Ltd and Global Advanced Metals Wodgina Pty Ltd) and used by MARBL under an agreement with the lease holders. The Operation is accessible year-round via sealed bitumen roads, and there is sufficient road, air, and port infrastructure in place with sufficient capacity to support the planned mining operations. SLR considers there to be no limitations on mining or exploration at the site due to the climate other than cyclonic events typical for the region. 1.4 Geology and Mineralization The Wodgina pegmatite deposit is hosted within the Wodgina Greenstone Belt of the Pilbara Craton, an Archean structural unit that is estimated to be more than 2.7 billion years old. The Pilbara Craton consists of granitic batholiths intruded into mostly metamorphic greenstone terranes with associated tin-tantalum-lithium-beryllium pegmatites, ironstone (iron ore) formations, and gold mineralization. Albemarle Corporation | Wodgina Lithium Operation S-K 1300 Technical Report Summary February 11, 2026 SLR Project No.: 000.V00720.00RP2 1-3 The Mt Cassiterite-Tinstone pegmatite sheets of Wodgina Greenstone Belt are mostly zoned, which appears to increase in complexity at depth, with mineralogy dominated by phenocrysts of spodumene (10 cm to 30 cm long) and K-feldspar in a matrix of fine- to medium-grained albite, quartz, and muscovite. Veins of quartz up to 10 cm thick are common, as are 1 mm thick veinlets of green sericite-albite. Some mineralized zoning of the pegmatites has been observed, with higher concentrations of spodumene occurring close to the upper contact, and near- perpendicular alignment of crystals to the pegmatite contact exhibiting distinctive 'pull apart' structures. In the massive basal pegmatite, the spodumene is distributed within fine-grained quartz, feldspar, spodumene, and muscovite matrix. A weak zonation is evident in the development of finer-grained border units and occasionally in areas rich in microcline crystals. However, there is no obvious zoning associated with the minor occurrences of other minerals, including lepidolite, biotite, fluorite, white beryl, and lithium phosphate minerals. 1.5 Exploration Status The Wodgina deposit is well explored and understood with ongoing mining, and exploration drilling programs completing 2,295 holes since drilling commenced in the early 1980s. Exploration has been continuous throughout the life of the operation, with recent exploration focused on the mining areas within and below the LOM pit limits. These exploration programs have gathered geology and geochemical data, with all of this data collected from surface drilling activities. Wodgina’s current and future exploration strategy focuses on increasing the geological confidence within and below the current LOM pit. 1.6 Development and Operations The Operation utilizes conventional open-cut mining techniques optimized for the deposit's geological characteristics, with targeted extraction from the pegmatites. Mining is forecast to be sourced from a single open pit with the final pit design incorporating staged cutbacks to balance cost efficiency, recovery and safety. The mining fleet is expected to remain fully owner-operated. It is managed by MRL and consists of a mixed fleet of backhoe hydraulic excavators and 230-t and 140-t haul trucks. Contractors manage equipment supply, maintenance, replacement, and workforce logistics, and, subsequently, most mining costs are based on unit rates. Wodgina is operated 24 hours per day through all seasons and is supported by infrastructure including a crushing plant, three floatation trains, laboratory, process water ponds, water bore fields, gas fired power station, natural gas pipeline, accommodation villages, administration buildings, maintenance facilities, diesel storage and refueling, aviation fuel storage, access roads, dedicated airport able to service A320 jets, water storage, and tailings storage facilities (TSFs). The Operation features a single crushing circuit that feeds three identical flotation trains with a combined throughput capacity of 5.6 Mtpa that target a SC5.5 concentrate resulting in a >1 Mtpa concentrate capacity. While the comminution circuit is shared, a recently installed crushed ore stacker allows significant improvements in feed blending for the flotation trains, which operate as standalone units with a shared final concentrate destination. This provides the Operation with significant flexibility and the ability to adjust processing throughput as required. Of note a key change to the design flowsheet was the installation of high intensity conditioning (HIC) in each of the three trains.


 
Albemarle Corporation | Wodgina Lithium Operation S-K 1300 Technical Report Summary February 11, 2026 SLR Project No.: 000.V00720.00RP2 1-4 The currently operating Atlas In-Pit TSF, with the proposed bunding, along with the planned Southern TSF, have a combined storage life suitable to meet the LOM, provided regulatory approval, which is currently in the process, is obtained. These facilities are separate from the historical tailings (TSF 1, 2, and 3) that are planned to be reprocessed. There is a single operating waste dump, designed to support the LOM. This waste dump is approved to 2030 (based on forecast production schedules), with additional regulatory approvals required to meet the LOM. 1.6.1 Life of Mine Physicals The key physicals relevant to the LOM plan are summarized in Table 1-1 which includes production from three trains. Active mining and processing under the LOM plan are scheduled to extend to 2046. Total annual material movement is projected to progressively increase in H2 2025 and peak at 35.0 Mt in 2026, then remain between 30 Mt and 35 Mt until 2028. Rates are forecast to decrease in 2029 to 25.0 Mt, and then remain between 25 Mt and 30 Mt per year until 2039 after which waste movement drops significantly as expected at the end of mine life. Table 1-1: LOM Physicals Parameter Units (metric) LOM LOM Active Mine Period Years 21 LOM Plant Period Years 22 Waste Material Moved M dmt 356.8* Ore Mined (ex-pit) M dmt 89.2 Ore Mined (reprocessed tailings) M dmt 14.8 Ore Processed (Feed total) M dmt 104.8 Feed Grade (Total average) % 1.3 Mineralized Waste (0.65%–0.75% Li2O) M dmt 5.1 Strip Ratio (run-of-mine) waste:ore (t:t) 3.40 LOM Plant Recovery % 67.4% Concentrate Tonnes (SC5.5) M dmt 17.1 Notes: * Total waste quantities include 5.1 Mt of mineralized waste dmt dry metric tonnes The Mineral Reserves estimate (Table 1-3) is underpinned by an independent assessment based on the estimate of Mineral Resources and a LOM schedule and associated financial analysis completed by the MRL on behalf of the Company, and reviewed and validated by SLR. As part of its review and for the purposes of estimating Mineral Reserves, SLR converted all Inferred Resources and mineralized waste (defined as material with a Li2O grade of greater than or equal to 0.65% but less than 0.75%) to report as waste within the LOM. No mineralized waste or Inferred Resource has been included in the estimate of Mineral Reserves. SLR, as the QP, considers the estimation methodology to align with industry standards and the production to be achievable in the medium to long term. SLR, as the QP, considers the underlying studies, as well as capital and operating cost estimates, to be at least at a pre-feasibility level of accuracy; Albemarle Corporation | Wodgina Lithium Operation S-K 1300 Technical Report Summary February 11, 2026 SLR Project No.: 000.V00720.00RP2 1-5 however, it notes that all operating costs are predominantly actuals from recent operations or under contract. 1.7 Mineral Resources and Mineral Reserves The Mineral Resources as at June 30, 2025, for the operation are summarized in Table 1-2. The Mineral Resources have been estimated with reference to a cut-off grade (COG) that depends on the mining method; the open pit COG is 0.5% Li2O, while the underground COG is 0.75% Li2O. The COG was determined based on estimated mining and processing costs, recovery factors, product qualities, and long-term benchmark pricing. It is highlighted that the long-term benchmark SC6 price of USD 1,500 tonne of product is lower than the current spot price and is derived over a 7- to 10-year timeframe, which was selected based on the reasonable long-term prospects of the Mineral Resource rather than short-term viability (0.5 to 2 years), based on an independent marketing study by Fastmarkets. Both the Mineral Resources and Mineral Reserves have been reported using the 30 June surface provided. SLR, as the QP, considers the geological model to be based on adequate structural (which includes in-pit mapping and RQD from diamond holes) and geochemical data that has been reviewed and verified by geologists, over a long period of time, as well as by SLR. Deposit modeling has been carried out using industry-standard geological modeling software and procedures. The estimation and classification of the Mineral Resource reflect the SLR as the QP’s opinion of in situ material with reasonable prospects for eventual economic extraction. The Mineral Resource estimate is presented exclusive of Mineral Reserves. SLR notes that the Mineral Reserve estimate includes all stockpiled material and Indicated TSF material; as the Mineral Resource estimate is exclusive of Mineral Reserves, no stockpile material or TSF material classified as Indicated is included in Mineral Resources. Albemarle Corporation | Wodgina Lithium Operation S-K 1300 Technical Report Summary February 11, 2026 SLR Project No.: 000.V00720.00RP2 1-6 Table 1-2: Statement of Mineral Resources at June 30, 2025 (Albemarle Share 50%) Type Classification Quantity (100%) (Mt) Attributable Quantity (50%) (Mt) Li2O Grade (%) Open Pit Indicated 17.6 8.8 0.7 Inferred 1.2 0.6 1.0 Underground Indicated 30.7 15.3 1.3 Inferred 26.7 13.4 1.2 TSF Indicated - - - Inferred 2.4 1.2 0.4 Total Indicated 48.3 24.3 1.0 Inferred 30.3 15.1 1.3 Notes: 1. The Mineral Resources are reported exclusive of the Mineral Reserves. Mineral Resources that are not Mineral Reserves, while demonstrating reasonable prospects for economic extraction, do not have demonstrated economic viability. 2. The Mineral Resources have been compiled under the supervision of SLR as the QP. 3. All Mineral Resources figures reported in the table above represent estimates at June 30, 2025, based on a model completed in September 2024. Mineral Resource estimates are not precise calculations, dependent on the interpretation of limited information on the location, shape and continuity of the occurrence and on the available sampling results. The totals contained in the above table have been rounded to reflect the relative uncertainty of the estimate. Rounding may cause some computational discrepancies. 4. Mineral Resources are reported in accordance with S-K 1300. 5. The Mineral Resources reflect the 50% ownership in the relevant holding companies. 6. Mineral Resources are reported on an in situ basis without applying mining dilution, mining losses, or process losses. 7. The Mineral Resources are reported above 0.5% Li2O cut-off for in situ pegmatites within the open pit, 0.75% within the underground, and above 0% for TSF, as all material would be mined and recovered. The basis for the COG is provided in Section 0. 8. The underground Mineral Resources are reported in areas of >10 m thickness, below the open pit Mineral Resources. 9. Mineral Resources are estimated using a long-term selling price of US$1,500/t CIF CKJ1 of SC6 grade concentrate (benchmark 6% Li2O), and a US$/A$ exchange rate of A$1.00:US$0.66. 10. Bulk densities were applied based on material types as outlined in Section 8.1. SLR is of the opinion that, with consideration of the recommendations summarized in Sections 1.0 and 23.0 of this TRS, any issues relating to all relevant technical and economic factors likely to influence the prospect of economic extraction can be resolved with further work. Mineral Reserves, summarized in Table 1-3, were estimated for the open pit, stockpiles, and TSF using technical data available as of June 30, 2025, and reported in accordance with the guidelines of S-K 1300. Studies for the underground portion of the Mineral Resource have yet to reach a level of study that would allow for the reporting of Mineral Reserves. Mineral Resources are reported exclusive of Mineral Reserves (that is, Mineral Reserves are additional to Mineral Resources). Mineral Reserves are subdivided into Proven Mineral Reserves and Probable Mineral Reserves categories to reflect the confidence in the underlying Mineral Resource data and modifying factors applied during mine planning. A Proven Mineral Reserve can only be derived from a Measured Mineral Resource, while a Probable Mineral 1 Cost, Insurance and Freight paid to Chikugo Port (China). Albemarle Corporation | Wodgina Lithium Operation S-K 1300 Technical Report Summary February 11, 2026 SLR Project No.: 000.V00720.00RP2 1-7 Reserve is typically derived from an Indicated Mineral Resource as well as Measured Resources, dependent on the QP’s confidence in the underlying Modifying Factors. It is noted that no Measured Resources have been reported for the operation, and as such there are no Proven Reserves. The conversion of Mineral Resources to Mineral Reserves incorporated systematic mine planning and analysis, including pit optimization, detailed pit design, the application of modifying parameters, LOM scheduling, and cost analysis. All Mineral Reserve estimations are in metric units, with Li2O grades reported in percentage (%). Mineral Reserve quantities were estimated using a marginal cut of grade of 0.75% Li2O and a long term selling SC6 price of US$1,300/t concentrate, based on Fastmarkets independent guidance in Section 16.0.


 
Albemarle Corporation | Wodgina Lithium Operation S-K 1300 Technical Report Summary February 11, 2026 SLR Project No.: 000.V00720.00RP2 1-8 Table 1-3: Statement of Mineral Reserves as at June 30, 2025 (Albemarle Share 50%) Type Classification Quantity (100%) (Mt) Attributable Quantity (50%) (Mt) Li2O Grade (%) Metallurgical Recovery (%) Open Pit Probable 89.2 44.6 1.4 67.4 Stockpiles Probable 0.9 0.5 0.8 67.4 TSF Probable 14.8 7.4 1.0 35.0 Total Probable 104.8 52.4 1.3 62.8 Notes: 1. The Mineral Reserves are additional to the reported Mineral Resources. 2. The Mineral Reserves have been estimated by SLR as the QP. 3. Mineral Reserves are reported in accordance with S-K 1300. 4. The Mineral Reserves have been reported at a 50% equity basis. 5. Mineral Reserves are reported on a dry basis and in metric tonnes. 6. The totals contained in the above table have been rounded with regard to materiality. Rounding may result in minor computational discrepancies. 7. Mineral Reserves are reported considering a nominal set of assumptions for reporting purposes: a. Mineral Reserves are based on a selling price of US$1,300/t CIF CKJ2 of chemical grade concentrate (benchmark 6% Li2O). b. Mineral Reserves assume variable mining recoveries based on grade, oxidation, thickness, and search distance, sourced from MRL as presented in Table 12-3. The total mining recoveries are 91.7% for the open pit and 100% for the TSF. c. Mineral Resources were converted to Mineral Reserves using plant recovery equations, sourced from MRL and based on plant data. The plant processing recovery equations depend on the material type, weathering, and in some circumstances, the Li2O% grade of the plant feed. d. Costs estimated in Australian Dollars were converted to U.S. dollars based on an exchange rate of A$1.00:US$0.66. e. The economic COG calculation is based on US$2.1/t-ore incremental ore mining cost, US$33.63/t-ore processing cost, US$11.79/t-ore G&A cost, US$5.73/t-ore sustaining capital cost, and US$53.22/t ore selling cost, inclusive of shipping. Incremental ore mining costs are the costs associated with the run-of-mine (ROM) loader, stockpile rehandling, grade control assays, and rock breaker. f. The price, cost and mass yield parameters produce a calculated economic COG of <0.75% Li2O; however, due to the internal constraints of the current operations, an elevated Mineral Reserves COG of 0.75% Li2O has been applied. The same COG was utilized for the TSF. g. Waste tonnage within the Mineral Reserve pit is 356.8 Mt at a strip ratio of 3.4:1 (waste to ore – not including stockpiles) h. Mineral Reserves are reported based on mill feed material. SLR is not aware of any risk factors associated with, or changes to, any aspects of the modifying factors such as mining, metallurgical, infrastructure, permitting, or other relevant factors that could materially affect the Mineral Reserve estimate. 1.8 Market Studies Fastmarkets has developed a marketing study on behalf of Albemarle to support lithium pricing assumptions utilized in this TRS. This market study does not consider by- or co-products that may be produced alongside the lithium production process. Battery demand is now responsible for 85% of all lithium consumed. Looking forward, Fastmarkets expects demand from eMobility, especially battery electric vehicles (BEVs), to 2 Cost, Insurance and Freight paid to Chikugo Port. Albemarle Corporation | Wodgina Lithium Operation S-K 1300 Technical Report Summary February 11, 2026 SLR Project No.: 000.V00720.00RP2 1-9 continue to drive lithium demand growth. Supply is still growing despite the low-price environment and some production restraint. This has coincided with a period of weaker-than- expected demand growth. Ironically, the industry is still growing healthily; Fastmarkets expects demand growth from electric vehicles (EVs) to average 25% over the next 10 years, but this is slower than >40% growth in demand from EVs the market was used to in the early post-Covid years. The high prices in 2021–2022 triggered a massive producer response with some new supply still being ramped up, while at the same time some high-cost production is being cut, mainly by non-Chinese producers. Based on Fastmarkets view in August 2025, the combination of weaker-than-expected demand at a time when supply is still rising means the market is likely to be in a supply surplus until 2026. Based on supply restraint and investment cuts, Fastmarkets forecasts the market to swing back into a deficit in 2027, as illustrated in Figure 1-1. This forecast could change should demand exceed expectations and supply expansion disappoint to the downside. Fastmarkets recommends that a real price of US$1,300/t spodumene concentrate (SC6.0 CIF China) should be utilized by Albemarle for Mineral Reserve estimation. Recommended prices are on the lower end of Fastmarkets' low-case scenario. SC6.0 forecast consensus price has been adjusted for the SC5.5 product produced at the Operation on a pro rata basis. Figure 1-1: Lithium Supply-Demand Balance (000 tonnes LCE) Source: Fastmarkets Based on the Fastmarkets report, SLR has adopted the following to support Mineral Resource and Mineral Reserve estimation: • Mineral Resources: US$1,500/t for spodumene SC6.0 CIF China • Mineral Reserves: US$1,300/t for spodumene SC6.0 CIF China • Financial Modeling: US$1,300/t for spodumene SC6.0 CIF China from 2027, increased from spot price in line with the Fastmarkets forecast. 1.9 Environmental, Permitting, and Social Considerations There are no material local environmental and social (E&S) concerns for the current Operation within the approved footprint; however, several project development approvals are required to Albemarle Corporation | Wodgina Lithium Operation S-K 1300 Technical Report Summary February 11, 2026 SLR Project No.: 000.V00720.00RP2 1-10 allow execution of the full LOM as presented in this TRS. Of note are the potential biodiversity and cultural heritage limits associated with the development of the Southern TSF; this potential has been included in the approvals process. The Company has plans in place to address these potential E&S limits through the operation assessment and approvals process. SLR understands the Operation has the required E&S approvals and the licenses/permits for current operations and is generally operating in compliance with these current E&S approvals and permits with no material compliance issues noted. The future E&S approvals required to support the LOM plan comprise approvals for a waste rock landform expansion and an expanded and new TSF. MARBL has a plan and schedule in place to secure future E&S approvals. SLR considers this plan and schedule to be reasonable given the current understanding of the Operation, but notes the schedule depends to a large extent on timely assessment by regulators – while this is generally not within the control of the Operation, MARBL has engaged with relevant departments to mitigate such risk. 1.10 Economic Evaluation SLR highlights that the capital estimates for the next five years, along with the sustaining capital, are based on first-principles cost build-ups and are considered to be at least to a pre- feasibility level of accuracy. SLR notes that the majority of operating costs are based on ongoing contracts or previous years’ actuals, which are considered to be above feasibility study level of accuracy. The remainder of the capital expenditures are built up using typical costing methods for an operation of the scale, life, and operational requirements to meet the LOM plan. In addition, various contingencies are built into the cost estimates. 1.10.1 Operating Costs The LOM operating costs are built up from first principles with reference to historical actuals (cost and production performance), the LOM physical schedule, and forecast product estimates or based on current contract values. The total Free on Board (FOB) operating costs (excluding capitalized waste) are $10,658 million over the LOM, and the average FOB cost, excluding state royalties, is $621/t product. Mine Closure of $334 million ($19/t product) is included in the operating costs and allows for the total planned closure costs, ongoing closure holding costs, and workforce redundancy. As such, SLR considers the basis of costs reasonable for the operation. 1.10.2 Capital Costs The economic evaluation incorporates a total capital expenditure of $1,955 million, comprising $902 million in sustaining capital and $1,053 million for capitalized waste stripping. Sustaining capital includes provisions for mobile equipment replacements, the Atlas TSF, and major spares for the processing plant and site facilities. SLR notes that no expansion or growth capital is planned, as the existing operating infrastructure is sufficient to support the projected 22-year mine life as presented in this Report. 1.10.3 Economic Evaluation The economic evaluation of the asset was completed using a discounted cash flow analysis and confirmed the LOM economics are positive; however, the current market environment and pricing predictions from Fastmarkets show a material negative cash flow until the beginning of 2027. Table 1-4 provides a summary of the economic evaluation. Albemarle Corporation | Wodgina Lithium Operation S-K 1300 Technical Report Summary February 11, 2026 SLR Project No.: 000.V00720.00RP2 1-11 Table 1-4: Summary of Economic Evaluation Economic Evaluation Units LOM (A$M) 100% LOM (US$M) 100% LOM (US$M) 50% Gross Revenue $billion 30.1 19.8 9.9 Free Cash flow*** $billion 10.8 7.1 3.6 Total Operating Costs* $billion 11.3 7.5 3.7 Total Capital Costs $billion 2.0 1.3 0.6 Total Royalties $billion 1.5 1.0 0.5 Avg. Free on Board Costs* $/Prod t 621 409 409 All-In Sustaining Costs** $/Prod t 863 568 568 Discount Rate % 10.0 10.0 10.0 Pre-Tax NPV*** $billion 6.6 4.3 2.2 Post-Tax NPV*** $billion 4.8 3.1 1.6 Notes: * excluding royalties. ** including royalties. *** rounding to nearest 2 significant figures. Rounding may cause computational discrepancies. # Based on an exchange rate of 1AUD:0.66USD The financial model was tested for sensitivity regarding lithium prices, capital and operating cost estimates. The results indicate that the NPV of the Operation is most sensitive to changes in the product price and least sensitive to changes in capital expenditure. All sensitivity scenarios assessed for Wodgina returned positive net present value (NPV) results. The results of the cash flow modeling show negative cash flows in most quarterly time periods from Q3 2025 to Q3 2026 (cumulative undiscounted cash flows of -A$94 million across this time period), predominantly driven by elevated levels of capital expenditure and a weak product price environment forecast by Fastmarkets, followed by mostly cash flow positive quarterly time periods to the end of the LOM plan. 1.11 Conclusions The Wodgina deposit is well explored with exploration drilling programs for lithium having been conducted since 1996. SLR as the QP considers that the geological model is based on adequate geology and geochemical data that has been sufficiently reviewed and verified. The Operation is an established open pit mine that is a conventional truck and shovel operation employing industry-standard mining methods. SLR, as the QP, considers the major mining fleet assumptions to be reasonable when benchmarked to industry standards and historical performance. SLR as the QP is of the opinion that the Mineral Reserves, and associated equipment fleet numbers are reasonable to achieve the forecasts and reflect an appropriate level of accuracy. The geological model, detailed mine plans, and technical studies that underpin the LOM plan are supported by historical performance, well documented systems and processes, and reconciliation and review. Where available, SLR has reviewed this data and SLR, as the QP,


 
Albemarle Corporation | Wodgina Lithium Operation S-K 1300 Technical Report Summary February 11, 2026 SLR Project No.: 000.V00720.00RP2 1-12 has determined it to be adequate to support the Statements of Mineral Resources and Mineral Reserves reported in this TRS. Tenure critical to the declared Mineral Resources and Mineral Reserves, the associated infrastructure, and the LOM plan are currently in good standing and are subject to routine renewal processes. Additional approvals regarding tailings and waste disposal are also required to achieve the full LOM plan. The surface area of the existing Operation is almost wholly owned by the Company, and SLR as the QP is of the opinion that there are no material surface rights and easement issues, except for the required additional areas for future development plans beyond 2030. All permits and approvals are in place for mining to continue until 2030; however, receipt of approvals is a key risk associated with achieving the LOM plan. Referral documents associated with approvals required for ongoing works beyond 2030 have been submitted; SLR considers this plan and schedule to be reasonable given the current understanding of the Operation but notes the schedule depends to a large extent on timely assessment by regulators – while this is generally not within the control of the Operation, MARBL has engaged with relevant departments to mitigate such risk. If a delay occurs in granting these approvals, the LOM plan as presented in this TRS will need to be revised. SLR, as the QP, has determined that the Statements of Mineral Resources and Mineral Reserves reported in this TRS, based on the above conclusions, have been classified in accordance with the definitions in S-K 1300. 1.12 Recommendations To further support the LOM plan, SLR as the QP has the following key recommendations by area. Costs for detailed recommendations are provided in Section 23. • Drilling: Complete additional drilling in the latter stages of the open pit and within the underground area to increase confidence and potential resources. • Approvals: Carefully monitor and amend, as required, the implementation of the proposed future permits and approval required (including waste dump and tails storage) and schedule, taking into consideration the comments that SLR has made on the proposed future approval strategy and schedule in this review. • Stakeholder Engagement: Continue with the key stakeholder engagement and community development measures to ensure ongoing good relations with the Operation’s Traditional Owners. • Ore Sorters: Complete technical studies for the addition of ore sorters and assess the potential economic benefits of processing contaminated ore with grades between 0.5% and 0.75%. SLR notes that there is approximately 18 Mt of material in this grade range that is currently stockpiled. • Alternative Feed Integration: Introduce the capability to directly feed at least one processing train with alternative material, enabling isolated tailings retreatment on a single train while others process conventional run-of-mine (ROM) feed. • Geometallurgical Modeling: Conduct geometallurgical modeling for Stage 4 and Stage 5 deposits, supported by a dedicated drilling program. It is envisaged this would be undertaken during the resource and grade control drilling. • Water Recovery and Chemistry: Prioritize water recovery around the processing plant and assess the impact of water chemistry on flotation performance. Albemarle Corporation | Wodgina Lithium Operation S-K 1300 Technical Report Summary February 11, 2026 SLR Project No.: 000.V00720.00RP2 1-13 1.13 Key Risks • Geology Uncertainty: In-pit mapping, sampling, and grade control via blast holes have shown variations from the resource interpretation. While the 2025 model reflects these changes with the introduction of fault buffer zones and ore recovery based on reconciliation factors in the Mineral Reserves, geology risk is high, which reflects the classification of Inferred Mineral Resources and Indicated Mineral Resources in the estimation rather than Measured Mineral Resources. o To gain a more detailed understanding of the geology trends and performance of the resource model, a detailed end-to-end (reserves to plant to product) reconciliation is required to be undertaken. This will allow reviews of the interpretation, modeling practices, and modifying factors applied to the Mineral Reserves. • Forecast Ore Volumes: Reconciliation has shown significant variability in tonnage between the mining reserves model and actuals. While improvements have been observed in recent months following adjustments to the modifying factors, ongoing review remains critical to the medium-term performance of the operation. If ongoing variability continues and consistent feed blends are not achieved, this will impact the performance of the plants and likely decrease recoveries. • Approvals: Granting of permits and approvals of waste dumps and tails storage facilities is a key risk for the continued operations to achieve the LOM plan. Key milestones for achieving the LOM plan include securing outstanding regulatory approvals for the full Eastern Waste Landform expansion dump and the Southern TSF. • Ore Types: While significant work has been undertaken to define the ore types within Stages 2 through to 3 of the pit sequence, additional studies and test work are required for Stages 4 to 5 to confirm whether no material changes are expected. SLR notes that the predominant ore type in Stage 4 to 5 are the basal lodes, which are significantly thicker than the upper and vein lodes, and as such, variability in feed ore type is expected to increase on a short-term basis. Of note, the basal lode appears to have been subjected to less exploration than the upper lodes and has only recently been exposed in the pit during mining. Recent mining indicates that reconciliation in this basal lode is reasonable; however, further work is required to confirm both the ore types and geology continuity assumed. Albemarle Corporation | Wodgina Lithium Operation S-K 1300 Technical Report Summary February 11, 2026 SLR Project No.: 000.V00720.00RP2 2-1 2.0 Introduction SLR USA Advisory Inc. (SLR), formerly RPMGlobal USA, Inc. (RPM), was retained by Albemarle Corporation (Albemarle or the Client) to prepare an independent Technical Report Summary (TRS or Report) on the Wodgina Lithium Operation (the Operation or Wodgina), located approximately 110 km (by paved highway) south-southeast of Port Hedland, in the Pilbara region of the state of Western Australia (WA), Australia. RPM’s Global Mining Advisory business was acquired by SLR Consulting Australia Pty Ltd effective April 2, 2025. The purpose of this TRS is to provide statements of Mineral Resources and Mineral Reserves for Wodgina as at the of June 30, 2025, reported to reflect the 50% Albemarle ownership in the relevant holding companies that own the Operation. The Operation is owned by an unincorporated Joint Venture between Mineral Resources Limited (MRL) (50%) and Albemarle (50%), known as the MARBL Lithium Joint Venture (MARBL or the Company), which is managed by MARBL Lithium Operations Pty Ltd. MRL, through various wholly owned subsidiaries, is the operator on behalf of MARBL, including a life of mine (LOM) crushing service. Each party individually manages the marketing and sales its attributable share of spodumene concentrate. 2.1 Report Scope This TRS has been prepared for Albemarle to provide an independent view of the Wodgina Lithium Operation in the form of relevant public disclosure documentation. This TRS conforms to United States Securities and Exchange Commission’s (SEC) Modernized Property Disclosure Requirements for Mining Registrants as described in Subpart 229.1300 of Regulation S-K, Disclosure by Registrants Engaged in Mining Operations (S-K 1300) and Item 601 (b)(96) Technical Report Summary. This TRS was prepared by SLR at the request of Albemarle and is intended for use by the Registrant subject to the terms and conditions of the contract with SLR and relevant securities legislation. The contract permits Albemarle to file this Report as a TRS with the SEC. Except for the purposes legislated under United States securities law, any other uses of this Report by any third party are at that party’s sole risk. The TRS was prepared by SLR representatives as a third-party firm consisting of mining, geology, processing and environmental and social (E&S) experts in accordance with S-K 1300. SLR has used appropriate Qualified Person (QP) to prepare the content summarized in this TRS. References to the Qualified Person or QP are references to SLR and not to any individual employed or engaged by SLR. 2.2 Site Visits Members of SLR’s team (the Team), located in Australia, completed two site visits to the Operation, from September 2 to 4, 2024, and from August 11 to 12, 2025. Table 2-1 provides details of the sites visited and inspections undertaken for each technical discipline. Albemarle Corporation | Wodgina Lithium Operation S-K 1300 Technical Report Summary February 11, 2026 SLR Project No.: 000.V00720.00RP2 2-2 Table 2-1: Site Visit Summary Technical Discipline Details of Inspection Resource / Geology Site overview, meeting with resource / geology team, pit inspection, review of core, visit to site laboratory. Mining / Reserves Site overview, meeting with mining team, pit inspection, inspection of area infrastructure and mining equipment. Metallurgy / Process Site overview, meeting with processing team, pit inspection, inspection of processing plant (three trains), tailings storage facility and projects overview. Pit-to-port logistics. Infrastructure / Water / Tailings Site overview, meeting with infrastructure team, pit inspection, tailings storage facility and proposed expansion. Inspection of road, buildings, water distribution and power systems. Pit-to-port logistics. Environmental, Social Governance (ESG) and Closure Site overview, meeting with ESG team, pit inspection, inspection of processing facilities, tailings storage facility, water infrastructure, and future expansion areas. Environmental management and mine approvals status. 2.3 Sources of Information This TRS is an update to the TRS previously prepared by SLR (as RPMGlobal), which had an date of June 30, 2024, and which was filed as part of Albemarle's Form 8-K submission to the SEC on February 12, 2025. SLR's review was based on various reports, plans, and tabulations provided by the Client either directly from the mine site and other offices, or from reports by other organizations whose work is the property of the Client, as cited throughout this Report and listed in Section 24. The types of information used to develop the TRS include feasibility studies, plans, maps, technical reports, independently verified test results, emails, memorandums, presentations, and meetings completed with company personnel. The Client has not advised SLR of any material change, or event likely to cause a material change, to the operations or forecasts since the date of the asset inspections. The TRS has been produced by SLR in good faith using information that was available to SLR as at the Effective Date of June 30, 2025. 2.4 Forward-Looking Statements This TRS contains forward-looking statements within the meaning of Section 27A of the U.S. Securities Act of 1933 and Section 21E of the U.S. Securities Exchange Act of 1934, that are intended to be covered by the safe harbor created by such sections. Such forward-looking statements include, without limitation, statements regarding Albemarle‘s expectations for the Operation and any related development or expansions, including estimated cash flows, production, revenue, earnings before interest, taxes, depreciation, and amortization (EBITDA), costs, taxes, capital, rates of return, mine plans, material mined and processed, recoveries and grade, future mineralization, future adjustments and sensitivities and other statements that are not historical facts. Forward-looking statements address activities, events, or developments that Albemarle expects or anticipates will or may occur in the future and are based on current expectations and assumptions. Although Albemarle’s management believes that its expectations are based on reasonable assumptions, it can give no assurance that these


 
Albemarle Corporation | Wodgina Lithium Operation S-K 1300 Technical Report Summary February 11, 2026 SLR Project No.: 000.V00720.00RP2 2-3 expectations will prove correct. Such assumptions include, but are not limited to: (i) there being no significant change to current geotechnical, metallurgical, hydrological, and other physical conditions; (ii) permitting, development, operations, and expansion of operations and projects being consistent with current expectations and mine plans, including, without limitation, receipt of export approvals; (iii) political developments in any jurisdiction in which Albemarle operates being consistent with its current expectations; (iv) certain exchange rate assumptions being approximately consistent with current levels; (v) certain price assumptions for lithium ore; (vi) prices for key supplies being approximately consistent with current levels; and (vii) other planning assumptions. Important factors that could cause actual results to differ materially from those in the forward-looking statements include, among others, risks that estimates of Mineral Reserves and Mineral Resources are uncertain and the volume and grade of ore actually recovered may vary from our estimates, risks relating to fluctuations in commodity prices; risks due to the inherently hazardous nature of mining-related activities; risks related to the jurisdictions in which Wodgina operates, uncertainties due to health and safety considerations, uncertainties related to environmental considerations, including, without limitation, climate change, uncertainties relating to obtaining approvals and permits, including renewals, from governmental regulatory authorities; and uncertainties related to changes in law; as well as those factors discussed in Albemarle’s filings with the U.S. SEC, including the factors described under the heading “Risk Factors” contained in Part I, Item 1A. in Albemarle’s latest Annual Report on Form 10-K for the period ended December 31, 2025, which is available on albemarle.com. Albemarle does not undertake any obligation to publicly release revisions to any “forward-looking statement,” including, without limitation, outlook, to reflect events or circumstances after the date of this document, or to reflect the occurrence of unanticipated events, except as may be required under applicable securities laws. Investors should not assume that any lack of update to a previously issued “forward-looking statement” constitutes a reaffirmation of that statement. Continued reliance on “forward-looking statements” is at investors’ own risk. 2.5 List of Abbreviations A list of abbreviations used throughout the Report is presented in Table 2-2. The units of measurement conform to the metric system. All currency in this Report is Australian dollars ($ or A$) unless otherwise noted. Table 2-2: List of Abbreviations Abbreviation Description µ micron(s) µg microgram(s) µm micrometer(s) % Percent º Degrees a Annum A Ampere AC air core ANZECC Australian and New Zealand Environment and Conservation Council Albemarle Corporation | Wodgina Lithium Operation S-K 1300 Technical Report Summary February 11, 2026 SLR Project No.: 000.V00720.00RP2 2-4 Abbreviation Description AQ diamond drill core with a nominal diameter of 27 mm ARMCANZ Agriculture and Resource Management Council of Australia and New Zealand ASL above sea level $ Australian Dollar(s) B Boron BEV battery electric vehicle BIF Banded Iron Formation bgl below ground level BQ diamond drill core with a nominal diameter of 36.5 mm °C degrees Celsius CAPEX capital expenditure CIF Cost, insurance and freight CIM Categorical Indicator Modelling CJK China, Japan, Korea cm centimeter(s) cm2 square centimeter(s) CO2 Carbon dioxide COG cut-off grade CRM Certified Reference Materials CV Coefficient of Variation d Day D Disturbance Factor (Hoek-Brown) DD diamond drill DDH diamond drill hole(s) DEMIRS Department of Energy, Mines, Industry Regulation and Safety (Western Australia) dmt dry metric tonne(s) dmkt dry metric kilo-tonne(s) DMS dense media separation DMPE Department of Mines, Petroleum and Exploration (formerly DEMIRS) DN diameter (nominal) mm DPIRD Department of Primary Industries and Regional Development (Western Australia) DPLH Department of Planning, Lands and Heritage DSO Direct Shipping Ore DTM Digital Terrain Model Albemarle Corporation | Wodgina Lithium Operation S-K 1300 Technical Report Summary February 11, 2026 SLR Project No.: 000.V00720.00RP2 2-5 Abbreviation Description dS/m deciSiemen(s) per metre DSO Direct Shipping Ore DWER Department of Water and Environmental Regulation E East EBITDA earnings before interest, taxes, depreciation, and amortization EC Electrical Conductivity EHSS environment, health, safety and social EV electric vehicle E&S environmental and social F Fluorine FIFO fly-in/fly-out FOB Free on Board g gram(s) g/m3 grams per cubic meter G giga (billion) G&A General & Administration Ga giga-annum (billion years) GL/yr gigalitre(s) per year GSI Geological Strength Index (Hoek-Brown) H1 Half one (first half of the calendar year) H2 Half two (second half of the calendar year) H2O Water ha hectare(s) hr Hour HQ diamond drill core with a nominal diameter of 63.5 mm HQ3 diamond drill core with a nominal diameter of 61.1 mm HV high voltage ISO International Organization for Standardization K Potassium k kilo (thousand) kg kilogram(s) km kilometer(s) km2 square kilometer(s) km/h kilometers per hour Albemarle Corporation | Wodgina Lithium Operation S-K 1300 Technical Report Summary February 11, 2026 SLR Project No.: 000.V00720.00RP2 2-6 Abbreviation Description kN/m3 kilonewton(s) per cubic meter kt kilotonne(s) (thousand tonne(s)) ktpa kilotonne(s) (thousand tonne(s)) per annum (year) kVA kilovolt-ampere(s) kW kilowatt(s) kWh kilowatt-hour(s) L liter(s) LCT lithium-cesium-tantalum L/s liters per second LA-ICP-MS Laser Ablation Inductively-Coupled Plasma Mass Spectrometry Li Lithium Li2O lithium oxide LIMS Low Intensity Magnetic Separators LOM life of mine M mega / million Mt million tonne(s) Mtpa million tonne(s) per annum (year) m meter(s) m2 square meter(s) m3 cubic meter(s) m3/d cubic meters per day m3/h cubic meters per hour mASL meters above sea level Max. Maximum mE meters East mN meters North Mg Magnesium mi Material constant (Hoek-Brown) min minute(s) Min. Minimum mm millimeter(s) m/m meters per minute MPa megapascal(s) MRF Mining Rehabilitation Fund


 
Albemarle Corporation | Wodgina Lithium Operation S-K 1300 Technical Report Summary February 11, 2026 SLR Project No.: 000.V00720.00RP2 2-7 Abbreviation Description mRL Meters Relative Level (i.e., elevation) MRL Mineral Resources Limited MVA megavolt-amperes MW Megawatt MWh megawatt-hour N North NAF non-acid forming NAGROM NAGROM Laboratory, Perth NPV net present value NQ diamond drill core with a nominal diameter of 47.6 mm NQ3 diamond drill core with a nominal diameter of 45 mm OPEX operating expenditure P Phosphorus PAF potentially acid forming PEC Priority Ecological Community ppb parts per billion ppm parts per million PQ diamond drill core with a nominal diameter of 85 mm PQ3 diamond drill core with a nominal diameter of 83 mm Q1 Quarter one (first quarter of the calendar year) Q2 Quarter two (second quarter of the calendar year) Q3 Quarter three (third quarter of the calendar year) Q4 Quarter four (fourth quarter of the calendar year) QA/QC Quality Assurance/Quality Control QP Qualified Person RC Reverse Circulation RF Revenue Factor RL relative elevation RLE rehabilitation liability estimate ROM run-of-mine RQD Rock-quality Designation S South s second(s) SC spodumene concentrate Albemarle Corporation | Wodgina Lithium Operation S-K 1300 Technical Report Summary February 11, 2026 SLR Project No.: 000.V00720.00RP2 2-8 Abbreviation Description SEC Securities and Exchange Commission SEM Scanning Electron Microscope SRM Standard Reference Materials t metric tonne(s) tCO₂-e tonne(s) of carbon dioxide (equivalent) TDS Total Dissolved Solids TEC Threatened Ecological Community TJ Terajoule(s) tpa metric tonnes(s) per annum (year) tpd metric tonnes(s) per day TRS Technical Report Summary TSF tailings storage facility UCS Unconfined compressive strength US United States US$ United States Dollar(s) UTM Universal Transverse Mercator V volt(s) W watt(s) W West WA Western Australia WHIMS Wet High Intensity Magnetic Separators wmt wet metric tonne(s) WRL waste rock landform wt% weight percent XRD X-Ray Diffraction XRF X-Ray Fluorescence yr year(s) 2.6 Independence SLR provides advisory services to the mining and finance sectors. Within its core expertise it provides independent technical environmental and social reviews, resource evaluation, mining engineering and mine valuation services to the resources and financial services industries. SLR’s QP have independently assessed the operation by reviewing pertinent data, including Mineral Resources, Mineral Reserves, labor requirements, and the LOM plans relating to productivity, production, operating costs, and capital expenditures. All opinions, findings, and conclusions expressed in this TRS are those of SLR, the QP, and specialist advisors. Albemarle Corporation | Wodgina Lithium Operation S-K 1300 Technical Report Summary February 11, 2026 SLR Project No.: 000.V00720.00RP2 2-9 Drafts of this TRS were provided to the Client for the purpose of confirming the accuracy of factual material and the reasonableness of assumptions relied upon in this TRS. SLR has been paid, and has agreed to be paid, professional fees for the preparation of this TRS. The remuneration for this TRS is not dependent upon the findings of this Report. SLR has no economic or beneficial interest (present or contingent) in the operation or in securities of the companies associated with the Operation or the Client. 2.7 Inherent Mining Risks Mining is carried out in an environment where not all events are predictable. Whilst an effective management team can identify the known risks and take measures to manage and mitigate those risks, there is still the possibility for unexpected and unpredictable events to occur. It is not possible therefore to totally remove all risks or state with certainty that an event that may have a material impact on the operation of a mine will not occur. It is therefore not possible to state with certainty forward-looking production and economic targets, as they are dependent on numerous factors that are beyond the control of SLR and cannot be fully anticipated by SLR. These factors include but are not limited to site-specific mining and geological conditions, the capabilities of management and employees, availability of funding to properly operate and capitalize the operation, variations in cost elements and market conditions, and developing and operating the mine in an efficient manner. Unforeseen changes in legislation and new industry developments could also substantially alter the performance of any mining operation. Albemarle Corporation | Wodgina Lithium Operation S-K 1300 Technical Report Summary February 11, 2026 SLR Project No.: 000.V00720.00RP2 3-1 3.0 Property Description Wodgina is a large-scale operating lithium mine and is currently ramping up production after restarting operations in May 2022. The manager of MARBL is MARBL Lithium Operations Pty Ltd; MRL operates the mine on behalf of the manager of MARBL. Albemarle manages the marketing and sales of its share of spodumene concentrate (SC5.5) produced at Wodgina. The Operation is contained within a series of adjacent concessions. The concessions host numerous large-scale, medium-grade lithium-bearing pegmatites and have been the subject of multiple generations of exploration to define Mineral Resources and Mineral Reserves, as presented in this TRS. Mining operations are undertaken via conventional truck and shovel methods, which feed an on- site processing facility. This facility produces marketable lithium oxide (Li2O) concentrate. All concentrates are planned to be transported by truck 180 km (roundtrip) and subsequently transferred to a ship at a dedicated port facility at Port Hedland (Figure 3-1). The majority of infrastructure is in place to support the ramp-up of operations to full production, including a processing facility consisting of three train modules. All three constructed trains are operational; however, over the next 1.5 years only two trains are planned to be operated at any one time after which time all three trains will be in full production, in line with the ramp up in ore mining. It is noted that all three trains are currently operable. At full production, the Operation is planned to produce up to 1.1 Mtpa of SC5.5 from three trains and is anticipated to accelerate production from H2 2027, commensurate with an expected increase in price as forecast by independent experts Fastmarkets as set out in Section 16.0. 3.1 Location The Operation is located approximately 110 km (by paved highway) south of Port Hedland, in the Pilbara region of the state of WA, Australia (Figure 3-1 and Figure 3-2). A major third party operated bulk handling port (operated by a Western Australian Government Trading Enterprise, Pilbara Port Authority) is located in Port Hedland. Figure 3-1 provides details of the location of the operation and key infrastructure locations. Figure 3-1 depicts key elements of the regional setting, incorporating natural and built features such as main roads and highways, rail lines, and towns and villages. The coordinates of the mine’s administration buildings are 673,733 mE, 7,656,730 mN (UTM Zone 50K).


 
Albemarle Corporation | Wodgina Lithium Operation S-K 1300 Technical Report Summary February 11, 2026 SLR Project No.: 000.V00720.00RP2 3-2 Figure 3-1: General Location Albemarle Corporation | Wodgina Lithium Operation S-K 1300 Technical Report Summary February 11, 2026 SLR Project No.: 000.V00720.00RP2 3-3 Figure 3-2: Regional Location Plan Albemarle Corporation | Wodgina Lithium Operation S-K 1300 Technical Report Summary February 11, 2026 SLR Project No.: 000.V00720.00RP2 3-4 3.2 Land Tenure 3.2.1 Minerals Title The total area of tenure for the Operation is 12,469.238 ha. Mineral tenure for the Operation, as granted under the WA Mining Act 1978 (Mining Act) and recorded in the Department of Energy, Mines, Industry Regulation and Safety (DEMIRS)3 database as of 30 June 2025, is summarized in Table 3-1 and shown in Figure 3-3. Table 3-1 identifies four lease types at Wodgina, as listed below: • Mining Leases: The lessee of a Mining Lease may work and mine the land, take and remove minerals, and do all of the things necessary to effectually carry out mining operations in, on, or under the land, subject to conditions of title. • Miscellaneous License: For purposes such as roads, pipelines, power lines, a bore/bore field, and a number of other special purposes outlined in Section 42B of the Mining Regulation 1981 (WA). • General Purpose Leases: For purposes such as operating machinery, depositing or treating tailings, etc., with a maximum area of 10 ha and are limited to a depth of 15 m (unless otherwise specified and agreed with the Minister for Mines and Petroleum). • Retention License: A ‘holding’ title for a mineral resource that has been identified but is not able to be further explored or mined. Mining Leases, Miscellaneous License and General Purpose Leases may be renewed for terms of 21 years, subject to satisfactory compliance with tenement conditions, and for 2025–2026 are subject to: • Mining Lease: $29.30/ha/year rent, $100/ha/year minimum $5,000 if 5ha or less otherwise $10,000 expenditure. • Miscellaneous License: $27/ha/year rent; covenant in lieu of expenditure. • General Purpose Lease: $27/ha/year rent; covenant in lieu of expenditure. The term of a Retention License cannot exceed five years and is renewable for further periods not exceeding five years. Fees payable for a Retention License are $13.50/ha/year rent and a minimum expenditure as per the approved exploration program. Wodgina comprises 19 Mining Leases, one Retention License, seven General Purpose Leases, and 11 Miscellaneous Licenses. Most titles are held jointly by Albemarle Wodgina Pty Ltd and Wodgina Lithium Pty Ltd; however, four Mining Leases are held by third parties (Atlas Iron Pty Ltd and Global Advanced Metals Wodgina Pty Ltd) and are used by MARBL under an agreement with the leaseholders. MARBL are in the process of acquiring tenements M45/1188 and M 45/1252 from Atlas Iron and have executed a rehabilitation assumption agreement to facilitate the expansion of the Atlas In- Pit TSF, described in Section 15.7. The tenements will be transferred to MARBL once stamp duty is assessed and notice is formally given to DEMIRS (now Department of Mines, Petroleum and Exploration [DMPE]. 3 Department of Mines, Industry Regulation, and Safety: the state mining regulator. Albemarle Corporation | Wodgina Lithium Operation S-K 1300 Technical Report Summary February 11, 2026 SLR Project No.: 000.V00720.00RP2 3-5 3.2.2 Native Title The Australian Native Title Act 1993 intends to recognize the traditional occupation and use of lands by Aboriginal and Torres Strait Islander people. The act gives claimants and / or holders (as applicable) of native title the right to negotiate on the terms of grant of minerals tenure (amongst other things). Tenement applicants and native title claimants or holders may opt to develop an Indigenous land use agreement (ILUA) addressing relevant aspects such as access, management of cultural heritage, compensation, and further tenement applications. Most of the minerals tenure for the Operation covering the mining and processing areas, camp, and gas pipelines falls within the Kariyarra People determination of native title (represented by the Kariyarra Aboriginal Corporation; KAC), with part of L45/105 for the Breccia borefield and water supply pipeline extending onto the Nyamal People determination to the east (represented by the Nyamal Aboriginal Corporation; NAC). Minerals tenure on the Kariyarra People determination is covered by an ILUA originally secured in March 2001 by Gwalia Tantalum Ltd. The ILUA has been subject to supplemental agreements providing for grant of tenure, protection of Aboriginal cultural heritage, compensation, and other benefits to the Kariyarra people, with deeds of assignment to subsequent tenement holders. The ILUA entails a royalty payment of $450,000 a year, indexed from 2001. MARBL reports that it is in ongoing negotiations with KAC for the formal assignment of the ILUA to the Company, as well as a wider process of modernizing the agreement to reflect the current state of operations. MARBL also reports that it is in ongoing negotiations with NAC to secure a heritage agreement to facilitate heritage surveys for water supply exploration and development on tenements L45/105, L45/501, and L45/502. SLR notes that several tenements, including mining lease M45/50-I over the central mining and processing area, are due for their second renewal by July 2026, with most of the others due over the proposed LOM to 2048. DEMIRS has a policy position that second renewals of mining leases are subject to negotiation and agreement with native title claimants; however, the Mining Act provides for continuation of mining leases until an application has been determined. SLR understands that the Company enjoys good working relationships with the native title parties and that engagement towards updated agreements to support lease renewals is ongoing; consequently, the prospects of renewal without onerous new agreement conditions appear reasonable, although such risk cannot be entirely discounted.


 
Albemarle Corporation | Wodgina Lithium Operation S-K 1300 Technical Report Summary February 11, 2026 SLR Project No.: 000.V00720.00RP2 3-6 Figure 3-3: Site Layout Plan Albemarle Corporation | Wodgina Lithium Operation S-K 1300 Technical Report Summary February 11, 2026 SLR Project No.: 000.V00720.00RP2 3-7 Table 3-1: Land Tenure Tenement Tenure Type Status Holder 1 Holder 2 Area (ha) Date Granted (DD/MM/YYYY) Ends (DD/MM/YYYY) M 45/254 MINING LEASE LIVE ALBEMARLE WODGINA PTY LTD WODGINA LITHIUM PTY LTD 77.97 19/10/1987 28/10/2029 M 45/353 MINING LEASE LIVE ALBEMARLE WODGINA PTY LTD WODGINA LITHIUM PTY LTD 35.395 15/05/1988 18/05/2030 M 45/365-I MINING LEASE LIVE ALBEMARLE WODGINA PTY LTD WODGINA LITHIUM PTY LTD 206.6 2/10/1988 9/10/2030 M 45/381 MINING LEASE LIVE ALBEMARLE WODGINA PTY LTD WODGINA LITHIUM PTY LTD 287.65 5/07/1988 11/07/2030 M 45/382 MINING LEASE LIVE ALBEMARLE WODGINA PTY LTD WODGINA LITHIUM PTY LTD 58.24 5/07/1988 11/07/2030 M 45/383-I MINING LEASE LIVE ALBEMARLE WODGINA PTY LTD WODGINA LITHIUM PTY LTD 110.6 5/07/1988 11/07/2030 M 45/49 MINING LEASE LIVE ALBEMARLE WODGINA PTY LTD WODGINA LITHIUM PTY LTD 85.95 28/06/1984 3/07/2026 M 45/50-I MINING LEASE LIVE ALBEMARLE WODGINA PTY LTD WODGINA LITHIUM PTY LTD 364.5 28/06/1984 3/07/2026 M 45/886 MINING LEASE LIVE ALBEMARLE WODGINA PTY LTD WODGINA LITHIUM PTY LTD 6.81 22/03/2001 21/03/2043 M 45/887-I MINING LEASE LIVE ALBEMARLE WODGINA PTY LTD WODGINA LITHIUM PTY LTD 30.575 22/03/2001 21/03/2043 M 45/888 MINING LEASE LIVE ALBEMARLE WODGINA PTY LTD WODGINA LITHIUM PTY LTD 12.755 22/03/2001 21/03/2043 M 45/924-I MINING LEASE LIVE ALBEMARLE WODGINA PTY LTD WODGINA LITHIUM PTY LTD 520.1 26/03/2001 25/03/2043 M 45/925-I MINING LEASE LIVE ALBEMARLE WODGINA PTY LTD WODGINA LITHIUM PTY LTD 612.55 26/03/2001 25/03/2043 M 45/949 MINING LEASE LIVE ALBEMARLE WODGINA PTY LTD WODGINA LITHIUM PTY LTD 804.15 11/07/2001 10/07/2043 M 45/950-I MINING LEASE LIVE ALBEMARLE WODGINA PTY LTD WODGINA LITHIUM PTY LTD 677.8 11/07/2001 10/07/2043 G 45/269 GENERAL PURPOSE LEASE LIVE ALBEMARLE WODGINA PTY LTD WODGINA LITHIUM PTY LTD 9.612 27/01/2005 28/01/2026 G 45/270 GENERAL PURPOSE LEASE LIVE ALBEMARLE WODGINA PTY LTD WODGINA LITHIUM PTY LTD 9.043 27/01/2005 28/01/2026 G 45/271 GENERAL PURPOSE LEASE LIVE ALBEMARLE WODGINA PTY LTD WODGINA LITHIUM PTY LTD 9.3595 27/01/2005 28/01/2026 G 45/29 GENERAL PURPOSE LEASE LIVE ALBEMARLE WODGINA PTY LTD WODGINA LITHIUM PTY LTD 9.6505 18/07/1990 25/07/2032 G 45/290 GENERAL PURPOSE LEASE LIVE ALBEMARLE WODGINA PTY LTD WODGINA LITHIUM PTY LTD 9.945 22/01/2010 21/01/2031 G 45/291 GENERAL PURPOSE LEASE LIVE ALBEMARLE WODGINA PTY LTD WODGINA LITHIUM PTY LTD 9.677 22/01/2010 21/01/2031 G 45/321 GENERAL PURPOSE LEASE LIVE ALBEMARLE WODGINA PTY LTD WODGINA LITHIUM PTY LTD 296.55 5/10/2011 4/10/2032 R 45/4 RETENTION LICENSE LIVE ALBEMARLE WODGINA PTY LTD WODGINA LITHIUM PTY LTD 2,469 21/07/2017 21/07/2027 L 45/105 MISCELLANEOUS LICENSE LIVE ALBEMARLE WODGINA PTY LTD WODGINA LITHIUM PTY LTD 1,682 1/06/2001 31/05/2043 L 45/108 MISCELLANEOUS LICENSE LIVE ALBEMARLE WODGINA PTY LTD WODGINA LITHIUM PTY LTD 1,560 29/06/2001 28/06/2043 L 45/437 MISCELLANEOUS LICENSE LIVE ALBEMARLE WODGINA PTY LTD WODGINA LITHIUM PTY LTD 733.23 11/04/2018 10/04/2039 Albemarle Corporation | Wodgina Lithium Operation S-K 1300 Technical Report Summary February 11, 2026 SLR Project No.: 000.V00720.00RP2 3-8 Tenement Tenure Type Status Holder 1 Holder 2 Area (ha) Date Granted (DD/MM/YYYY) Ends (DD/MM/YYYY) L 45/441 MISCELLANEOUS LICENSE LIVE ALBEMARLE WODGINA PTY LTD WODGINA LITHIUM PTY LTD 0.82 21/11/2018 20/11/2039 L 45/443 MISCELLANEOUS LICENSE LIVE ALBEMARLE WODGINA PTY LTD WODGINA LITHIUM PTY LTD 196.4 5/11/2018 4/11/2039 L 45/451 MISCELLANEOUS LICENSE LIVE ALBEMARLE WODGINA PTY LTD WODGINA LITHIUM PTY LTD 1.674 5/02/2019 4/02/2040 L 45/452 MISCELLANEOUS LICENSE LIVE ALBEMARLE WODGINA PTY LTD WODGINA LITHIUM PTY LTD 5.992 5/02/2019 4/02/2040 L 45/58 MISCELLANEOUS LICENSE LIVE ALBEMARLE WODGINA PTY LTD WODGINA LITHIUM PTY LTD 95 9/12/1988 9/12/2028 L 45/64 MISCELLANEOUS LICENSE LIVE ALBEMARLE WODGINA PTY LTD WODGINA LITHIUM PTY LTD 1 18/05/1990 17/05/2025 L 45/9 MISCELLANEOUS LICENSE LIVE ALBEMARLE WODGINA PTY LTD WODGINA LITHIUM PTY LTD 12.5 19/10/1984 3/07/2026 L 45/93 MISCELLANEOUS LICENSE LIVE ALBEMARLE WODGINA PTY LTD WODGINA LITHIUM PTY LTD 134.9 25/03/1998 24/03/2023 Tenements held by others (agreements in place for Wodgina use) M 45/1188-I MINING LEASE LIVE ATLAS IRON LIMITED 51.985 12/11/2009 11/11/2030 M 45/1252-I MINING LEASE LIVE ATLAS IRON PTY LTD 193.8 23/03/2016 22/03/2037 M 45/351-I MINING LEASE LIVE GLOBAL ADVANCED METALS WODGINA PTY LTD 362.2 15/05/1988 18/05/2030 M 45/923-I MINING LEASE LIVE GLOBAL ADVANCED METALS WODGINA PTY LTD 723.25 26/03/2001 25/03/2043 Albemarle Corporation | Wodgina Lithium Operation S-K 1300 Technical Report Summary February 11, 2026 SLR Project No.: 000.V00720.00RP2 3-9 3.3 Surface Rights and Easement 3.3.1 Conditions of Tenure The mining leases entitle the tenement holder to operate a mining operation subject to certain consents as described below. The rights to all lithium minerals are jointly held on these tenements, while Global Advanced Metals (GAM) holds the mining rights to all minerals other than lithium through a reserved mineral right. All mining leases have been surveyed and constituted under the Mining Act 1978 (WA). The Company actively reviews the conditions of the leases to ensure compliance with requirements and has paid the appropriate fees to maintain the tenements. 3.3.1 Pastoral Stations The Wodgina mining tenure largely falls within the Kangan pastoral lease, held by the Aboriginal Prospecting Co. Pty Ltd and managed by the Yandeyarra Aboriginal Community. Miscellaneous tenure for water supply extends onto the Wallareenya (Tabba Tabba) pastoral lease, and miscellaneous tenure for the gas supply pipeline crosses the Indee and Mundabullangana pastoral leases. MARBL is a party to an agreement with Kangan pastoral station, originally entered into in September 2011 between Atlas Iron Limited and the Aboriginal Prospecting Co. Pty Ltd, consenting to the exercise of all rights under the relevant tenements on the pastoral lease. MARBL has executed an agreement with Wallareenya pastoral station to exercise rights under the relevant tenements that have been circulated to the pastoral lessees for signing. 3.3.2 Aboriginal Reserves Miscellaneous license L45/93 for the water supply pipeline from the Northern borefield and the access road to the Wodgina airstrip crosses Crown reserve 22895, formerly a landing ground but vested since 2018 in the Kariyarra Lands Aboriginal Corporation (KLAC) for the “use and benefit of Aboriginal people”. A letter from KAC to DEMIRS (dated March 22, 2021) stated that KALC and KAC had the same directorship, and that KAC managed native title rights across all of the Kariyarra determination. This letter confirmed an existing agreement with MARBL and provided consent to grant and operate L 45/93. 3.3.3 Water Reserves The Wodgina mining leases overlie a number of Crown water reserves: 10746 and 10747 on M45/381, 10303 on M45/888, 12069 on M45/924-l, and 13886 on M45/50-I. Former conditions on the mining leases prohibiting mining on these water reserves without the consent of the Minister for Mines were removed. 3.4 Material Government Consents Development of the tenements is subject to submission and approval of mining proposals and closure plans under Western Australia’s Mining Act 1978, in addition to regulatory permitting under several other state or federal acts, addressed in Section 17.0. The Operation is not


 
Albemarle Corporation | Wodgina Lithium Operation S-K 1300 Technical Report Summary February 11, 2026 SLR Project No.: 000.V00720.00RP2 3-10 subject to a State Agreement4, and SLR is not aware of any other special consent from or arrangement with the state. 3.5 Significant Limiting Factors and Encumbrances SLR is unaware of any significant factors or risks that may affect property access, title, or the right to perform work at the Operation. SLR has relied upon the legal information regarding titles provided by MARBL as noted in Section 25.0 and is unaware of any encumbrances upon the Operation. SLR notes that several permits are required over the LOM, however these are not considered limiting factors. 3.6 Royalties The Western Australian State Government requires a feedstock royalty rate of 5% for lithium hydroxide and lithium carbonate, where those are the first products sold and the feedstock is spodumene concentrate. The royalty is prescribed under the amendments to Regulation 86 of the Mining Regulations 1981 (WA), which were gazetted on March 27, 2020. The royalty value is the difference between the gross invoice value of the sale and the allowable deductions on the sale. The gross invoice value of the sale is the Australian Dollar value obtained by multiplying the amount of the mineral sold by the price of the mineral as shown in the invoice. Allowable deductions are any costs in Australian Dollars incurred for transport of the mineral quantity by the seller after the shipment date. For minerals exported from Australia, the shipment date is deemed to be the date on which the ship or aircraft transporting the minerals first leaves port in WA. 3.7 Required Permits and Status Permits for the Operation are discussed in Section 17.3. 3.8 Other Significant Factors and Risks SLR is not aware of any environmental liabilities on the property other than closure costs. MARBL has all required permits to conduct the proposed work on the property. SLR is not aware of any other significant factors and risks that may affect access, title, or the right or ability to perform the proposed work program on the property. 4 A special contract between proponents and the state of Western Australia intended to support the development of large or complex mining projects and related infrastructure. Albemarle Corporation | Wodgina Lithium Operation S-K 1300 Technical Report Summary February 11, 2026 SLR Project No.: 000.V00720.00RP2 4-1 4.0 Accessibility, Climate, Local Resources, Infrastructure and Physiography 4.1 Accessibility The Operation is located approximately 110 km (by paved highway) south of Port Hedland, in the state of WA, Australia (Figure 3-1). The Operation is in the north of WA’s Pilbara Region, known for its vast mineral deposits and active mining operations. As such, there is sufficient road, air, and port infrastructure in place for the mining operation. Road access to the Operation is via a short (6.5 km) unnamed mine access road that intersects with the Great Northern Highway (National Highway 95) – the major road that connects Port Hedland to the state’s capital city of Perth, which is just over 1,500 km to the south-southwest of the mine. All roads to the Operation are sealed bitumen. The Wodgina Airport (YWGA), operated by MRL, is a regional airport that is approximately 20 km north of the mine by road and supports the local mining operations. It has a tarmac airstrip, and aircraft as large as the Airbus A320 can be used to transport mining and construction personnel from Perth. Port Hedland International Airport in Port Hedland accommodates larger aircraft and is the main center for freight and cargo to the region. Port Hedland also hosts an international deep-water port facility. The Operation is located between the Turner River (east) and Yule River (to the west) that discharge into the Indian Ocean approximately 40 km and 60 km south of Port Hedland, respectively. However, both rivers are ephemeral and not sufficient for transportation. The Operation does not utilize a rail network; however, there are three major rail lines passing within 5 km to the east, operated by Fortescue , BHP, and Roy Hill Mine. 4.2 Climate According to the Government of Western Australia’s Department of Primary Industries and Regional Development (DPIRD), the Pilbara region has very hot summers (average 30°C to 45°C), mild winters (average 20°C) and low and variable rainfall (300 mm to 350 mm per year). It is classified as a hot desert. In the Pilbara, tropical cyclones cause the most extreme rainfall events and can generate approximately 20%–25% of the total annual rainfall for the area near the Operation and up to 86% of summer rainfall. Historically, tropical cyclones have caused considerable damage and loss of life in the Pilbara, and as a result, modern design regulations ensure that buildings and other infrastructure are now far less susceptible to damaging winds. Even the threat of a tropical cyclone can cause substantial economic losses to the mining industry through halted production or disruptions to shipping activities. Operations are maintained all year round; however, they are subject to shutdowns during the summer cyclone season. 4.3 Local Resources Wodgina’s two accommodation villages are located within the boundaries of the mining tenure and are subject to the laws outlined in Western Australian’s Mining Act 1978 and the Mining Regulation 1981. They are both managed by MRL for the exclusive use of employees and Albemarle Corporation | Wodgina Lithium Operation S-K 1300 Technical Report Summary February 11, 2026 SLR Project No.: 000.V00720.00RP2 4-2 contractors, which are generally on fly-in/fly-out (FIFO) arrangements. The villages can accommodate 750 guests; and have dry and wet messes (meals and bar), convenience stores, and a gymnasium each. A greater range of general services are available in Port Hedland, and goods and services are brought in by road from this town. The mine operates on a FIFO basis from Perth with the majority of on-site personnel employed to allow for ongoing ramp-up and mining operations. Personnel are typically sourced from the broader Western Australian labor market in Perth rather than locally, however a small portion are located in other states and flown to site. However, as detailed further in Section 15.0, SLR is of the opinion that given the scale and size of its business, MRL as the operator has the ability to source additional personnel internally as well as externally of its group of companies. 4.4 Infrastructure A general list of infrastructure is as follows: • Administration buildings. • Two accommodation camps for site personnel. • Sealed access roads for site access. • A dedicated airstrip (Wodgina Airport) to the north of the mine for transporting FIFO workers from Perth and other airports. • Water bore fields and associated pipelines. • A gas lateral supplies gas to the on-site gas supply station. • 48 MW gas power station and associated transmission and distribution infrastructure. • A fuel farm. • Open pit mine. • Waste rock dumps. • ROM stockpiles. • A three-stage crushing plant capable of sustaining 5.6 Mtpa of ore feed to the spodumene concentration plant. • Three-train processing plant. • Tailings storage facilities for wet tailings. • Dry tailings stockpiles; and • Product load-out facility. This includes all three constructed trains and the mining fleet, which was newly acquired. While the Wodgina camp facilities are from previous operations, they are undergoing modernization, which is planned to be completed in 2026. In addition to the Wodgina camp, a newly constructed camp was commissioned in 2025 and currently houses the majority of the processing plant personnel. Further details are provided in Section 15.0, including the capacity and state of equipment. Albemarle Corporation | Wodgina Lithium Operation S-K 1300 Technical Report Summary February 11, 2026 SLR Project No.: 000.V00720.00RP2 4-3 4.5 Physiography The topography on site varies between 150 m above sea level (ASL) and 330 m ASL and is described as rolling hills (prominent greenstone ridges) and valleys surrounded by granitic plains. The general topography and site elevation is demonstrated in Figure 4-1:. The Operation lies on the catchment divide between the Turner River West catchment (draining to the east of the Operation) and the Yule River catchment (draining to the west of the Operation), with most of the Operation within the Turner River West catchment. River and creek systems in the central Pilbara are largely ephemeral and generally only flow for a short time after heavy rains, with occasional, small, semi-permanent pools. The dominant vegetation recorded across Wodgina is the widespread hummock grasslands of Triodia species under low woodlands or shrublands. The vegetation, habitats, flora, and fauna of the area is described further in Section 17.0. Figure 4-1: Overview of the Operation Source: MRL 2022


 
Albemarle Corporation | Wodgina Lithium Operation S-K 1300 Technical Report Summary February 11, 2026 SLR Project No.: 000.V00720.00RP2 5-1 5.0 History The Wodgina and Mt Cassiterite pegmatite field was discovered in 1902. Since 1905, these pegmatites have been mined primarily for tantalum and small amounts of tin, beryl and niobium, and most recently explored for their lithium potential. The main Wodgina Pit was the primary target for tantalum extraction until mineralization was exhausted in 1994. The Mt Cassiterite Pit tantalum operations were established in 1989 and progressively expanded to encompass the Mt Tinstone Pit during the 1990s, as the Wodgina pegmatite resource became depleted. Lithium resource potential was not realized until 2016 when MRL acquired the Operation and re- assayed samples. All current in-situ Mineral Resources are contained within the Mt Cassiterite and Tinstone Pit areas. 5.1 Exploration and Development History There have been numerous changes in ownership throughout the Operation’s history, owing mostly to the availability of funding, project economics and commodity price fluctuations. A summary of development activities is presented below. There have been numerous governmental and academic studies on the occurrences of pegmatite, variable mineralogy, and mineralization in the Wodgina pegmatite district. Work has included regional scale mapping by the Geological Survey of Western Australia (GSWA, 2001), scientific publications from Geoscience Australia, and various technical studies by several companies. • 1901–1909: Francis & William Michell o Discovery of Wodgina pegmatite bodies in 1902 and the first extraction of tantalum in 1905. o Most production at Wodgina was sourced from alluvial and eluvial workings, with minor production from small underground and open pit workings from the main-lode pegmatite. o Most of the cassiterite and tantalum mining at Wodgina had ceased by 1909, although minor production continued until 1918. o Towards the end of the 1920s, there was a revival of interest with the discovery of new uses for tantalum that led to increased mining activity. • 1925–1943: Tantalite Ltd. o Extraction and export of tantalum ore concentrate, mainly to the United States. o Large masses of cesium-bearing white beryl were identified at the northern end of the Wodgina pegmatite in 1927. • 1943–1945: Australian Commonwealth Government o Significant production from alluvial and eluvial deposits, as well as hard-rock pegmatite deposits. o Extraction and export of tantalum ore concentrate and beryl during wartime efforts. • After the end of the Second World War, sporadic mining of tantalum continued until the mid-1980s by numerous companies: o 1945–1953: Tantalite Ltd. o 1953–1957: Northwest Tantalum Ltd. Albemarle Corporation | Wodgina Lithium Operation S-K 1300 Technical Report Summary February 11, 2026 SLR Project No.: 000.V00720.00RP2 5-2 o 1957–1963: L. J. Wilson o 1963–1967: J.A. Johnson and Sons Pty Ltd. o 1967: Avela o 1968–1989: Goldrim Mining in partnership with Goldfield Corp (New York) and Chemalloy Minerals Ltd (Toronto) • In 1988, full-scale hard-rock mining of the Wodgina main-lode pegmatite commenced (for tantalum). • 1989–1996: Goldrim Mining and Pan West Tantalum Pty Ltd. Joint Venture o Commencement of Mt Cassiterite Pit operations in 1989. o Exhaustion of tantalum in the Wodgina Pit resources in 1994. • 1996–2005: Sons of Gwalia o Expansion of Mt Cassiterite Pit to include Mt Tinstone Pit in 1997. o Major expansion to the mine’s capacity was completed in 2002. • 2005–2009: Talison Minerals Pty Ltd o The Operation was placed into care and maintenance in 2008. o In February 2008, Atlas purchased the iron ore rights from Talison Minerals Pty Ltd and shared the on-site processing facilities. • 2009–2016: Global Advanced Metals (GAM; previously known as Talison Tantalum, a subsidiary of Talison Minerals) o In January 2011, GAM recommenced mining at Wodgina (in the Mt Cassiterite- Tinstone Pit). o In 2012, the mine was placed into care and maintenance. o Infill drilling of the in situ pegmatite resource continued, and a Mineral Resource estimate of the remaining tantalum resource was carried out in September 2013 by Cube Consulting. • 2016–2019: MRL o In June 2016, MRL completed the acquisition of the Mt Cassiterite-Tinstone Pit from GAM, but this excluded the mineral rights for tantalum and iron ore; this signaled the conversion of operations at Wodgina from tantalum mining to spodumene mining for lithium. o Re-assaying of a limited number of in situ pegmatite samples indicated a potential for lithium extraction (spodumene). In March-April 2016, reverse circulation (RC) pulp samples held in reserve from the previous exploration were re-assayed for Li2O %. o In 2017, Atlas exhausted the nearby iron ore reserves, which provided MRL with full access to the processing facilities. MRL mined spodumene at the Mt Cassiterite– Tinstone pit and exported the product as a Direct Shipping Ore (DSO). o In 2018, a decision was made to upgrade the processing plant to produce a high- grade spodumene concentrate. Albemarle Corporation | Wodgina Lithium Operation S-K 1300 Technical Report Summary February 11, 2026 SLR Project No.: 000.V00720.00RP2 5-3 o The MRL 2016–2018 drilling programs identified extensive new mineralization beneath the northeastern end of Mt Cassiterite-Tinstone Pit. In addition, geological logging and assay from 82,800 blast holes have been used to further refine the delineation of the pegmatite bodies. • 2019–present: MARBL (under MRL operational control for the JV) o On November 1, 2019, MRL completed a partial sale of its Operation to Albemarle and established MARBL , with MRL retaining a 40% interest. o Immediately after MARBL was formed, mining, processing, and ore shipments were suspended due to weaker lithium prices, and the Operation was put into care and maintenance. o On April 5, 2022, MRL announced it would move to a 50% ownership stake in Wodgina. This ownership change was finalized in October 18, 2023. o Production from Train 1 restarted in May 2022, with all three constructed trains fully commissioned at the effective date of this Report. 5.2 Past Production A high-level account of production history has been compiled from various sources and summarized in Table 5-1 and recent production in Table 5-2. Albemarle Corporation | Wodgina Lithium Operation S-K 1300 Technical Report Summary February 11, 2026 SLR Project No.: 000.V00720.00RP2 5-4 Table 5-1: Production History Years Owner Production 1905 – 1909 Francis & William Michell Tantalum was produced mainly from alluvial and eluvial deposits totalling 231 t. Hard-rock mining from small open pits and underground workings in the southern end of the Wodgina main-lode pegmatite produced 112 t of tantalum. The total tantalum produced during this time is estimated to be 343 t. In addition, it is estimated that 193 t of tin, 85 t of beryl and 39 t of niobium were extracted. 1925 – 1943 Tantalite Ltd 1943 – 1945 Australian Commonwealth Government 1945 – 1953 Tantalite Ltd. 1953 – 1957 Northwest Tantalum Ltd. 1957 – 1963 L. J. Wilson 1963 – 1967 J.A. Johnson and Sons Pty Ltd. 1967 Avela 1968 – 1989 Goldrim Mining, in partnership with Goldfield Corp (New York) and Chemalloy Minerals Ltd (Toronto) 1989 – 1996 Goldrim Mining and Pan West Tantalum Pty Ltd. Joint Venture Wodgina Pit was mined to produce 269 t of tantalum and exhausted in 1994. The Mt Cassiterite Pit was mined to produce 240 t of tantalum. 1996 – 2005 Sons of Gwalia Ltd. Mt Cassiterite operations expanded to include the Tinstone Pit, and 442 t of tantalum concentrate was extracted. 2005 – 2009 Talison Minerals Mine was placed into care and maintenance. 2009 – 2016 Global Advanced Metals (previously known as Talison Tantalum) Approximately 317.5 t of tantalum was produced in 2011 from the Mt Cassiterite- Tinstone Pit until the mine was placed into care and maintenance in 2012. 2016 – 2019 Mineral Resources Ltd. Operations centred on spodumene extraction from the Mt Cassiterite-Tinstone Pit from April 2017. Approximately 16 Mt of ore was mined, with approximately 8.8 Mt shipped as a DSO product. 2019 – present MARBL (JV between Mineral Resource Ltd. and Albemarle Corp.) Mining operations recommenced in April 2022, with the first train of spodumene concentrate of 20 kt dmt shipped in June 2022. Production to June 30, 2025, is summarized in Table 5-2.


 
Albemarle Corporation | Wodgina Lithium Operation S-K 1300 Technical Report Summary February 11, 2026 SLR Project No.: 000.V00720.00RP2 5-5 Table 5-2: Production Since Restart in 2022 Measure Units Calendar Year H1 2025 2022 2023 2024 Throughput kt 1,675 3,095 3,750 2,001 Feed Grade Li2O % 1.61 1.61 1.29 1.31 Mass Yield % 9 14.6 11.8 14.8 Concentrate Production 000 dmt 196 442 434 291 Albemarle Corporation | Wodgina Lithium Operation DRAFT - S-K 1300 Technical Report Summary Month XX, Year SLR Project No.: ADV-DE-00730 6-1 6.0 Geological Setting, Mineralization, and Deposit 6.1 Regional Geology The Wodgina pegmatite deposit is hosted within the Wodgina Greenstone Belt of the Pilbara Craton: an Archean structural unit that is estimated to be more than 2.7 billion years old. The Pilbara Craton consists of granitic batholiths intruded into mostly metamorphic greenstone terranes with associated tin-tantalum-lithium-beryllium pegmatites, ironstone (iron ore) formations, and gold mineralization. The Pilbara Craton was tectonically welded to other Archean cratons during the Proterozoic. The granitoid-greenstone terrane of the Pilbara Craton has been subdivided into tectonostratigraphic domains with boundaries defined by north-northeast, south-southwest (NNE-SSW) to northeast-southwest (NE-SW) trending structural lineaments that regionally have a sinistral shear sense. The Wodgina Greenstone Belt is largely a north-to-northeast plunging synformal to monoclinal structure that is approximately 25 km long and 5 km wide. It is comprised principally of interlayered mafic and ultramafic schists and amphibolite, with subordinate komatiite, clastic sediments, banded iron formation (BIF) and chert. Although the supracrustal rocks are structurally complex, the primary stratigraphic units may be correlated with nearby greenstone belts in the Pilbara. The granitoid complexes that border the greenstone belts are slightly younger (between 3.47 and 2.80 Ga). These intrusions deformed and metamorphosed the greenstone belts, and late- stage granitic intrusions resulted in the emplacement of both simple and complex pegmatite sills and barren quartz veins. A geological map of the Wodgina Greenstone Belt is presented in Figure 6-1:. 6.2 Local Geology The Wodgina pegmatite field lies immediately to the east of the axial plane of the synform in the Wodgina Greenstone Belt and adjacent to and within splay structures related to a major craton- scale NE-SW trending lineament. The Wodgina pegmatite field contains three major pegmatite groups, each hosted within a different lithology and subject to different structural/rheological controls: • A complex zoned group, belonging to the lepidolite sub-class of the complex pegmatite type. This pegmatite type encompasses the Wodgina main-lode, Rockhole and Camp pegmatite bodies, hosted by meta-komatiites and meta-basalts of the Kunagunarrina Formation. • Variably altered, weakly zoned to internally homogeneous pegmatites of dyke and stacked-sheet morphology, belonging to the albite-spodumene pegmatite class. This pegmatite type encompasses the Mt Cassiterite and Mt Tinstone bodies as well as the Eastern Pegmatites (most probably part of the same stacked sequence of sheets); hosted within the psammitic to pelitic interbedded metasediments of the Leilira Formation. • Simple zoned albite-muscovite-quartz pegmatites, with pale green beryl and columbite mineralization. They are usually of limited thickness and extent, occurring on the margins of the greenstone belt in a sheared metavolcanic to ultramafic unit. Albemarle Corporation | Wodgina Lithium Operation DRAFT - S-K 1300 Technical Report Summary Month XX, Year SLR Project No.: ADV-DE-00730 6-2 The pegmatites that have been mined in Wodgina’s history are the Wodgina main-lode pegmatite and the Mt Cassiterite and Mt Tinstone pegmatites (Figure 6-2:). A major regional shear zone separates the two main pegmatite groups. Both pegmatite groups have been emplaced syntectonically into fault/shear zones, with a predominantly reverse sense of movement. The Wodgina main lode pegmatite appears to be related to a major inclined fold hinge, while the pegmatites of the Mt Cassiterite group appear to be sheets joined by a number of parasitic fold hinges. As outlined in Section 11.0, a geological model was constructed for the deposit based on geological logging and grade. Given the style of mineralization, this model is reflected as the pegmatite body (which hosts all the mineralization), as shown in Figure 6-3, with only minor influence from other host rocks. Further discussion as to the geological interpretation and methods is set out in Section 11.0. Albemarle Corporation | Wodgina Lithium Operation DRAFT - S-K 1300 Technical Report Summary Month XX, Year SLR Project No.: ADV-DE-00730 6-3 Figure 6-1: Geological Map of the Wodgina Greenstone Belt Showing Distribution of Pegmatite Fields Source: Sweetapple et al. 2001.


 
Albemarle Corporation | Wodgina Lithium Operation DRAFT - S-K 1300 Technical Report Summary Month XX, Year SLR Project No.: ADV-DE-00730 6-4 Figure 6-2: Simplified Local Geology Map Source: provided by MRL 6.3 Pegmatite Geology The main-lode pegmatite strikes essentially north-south and dips 40° to 45° to the east; it is exposed over a strike length of 670 m and varies in width generally from 3 m to 15 m, although at one place on the north end, it reached 91 m in width. Lithium mineralization is concentrated in the Mt Cassiterite-Tinstone Pit area (Figure 6-2), which contains the in situ Mineral Resources reported in this Report. Albemarle Corporation | Wodgina Lithium Operation DRAFT - S-K 1300 Technical Report Summary Month XX, Year SLR Project No.: ADV-DE-00730 6-5 The Mt Cassiterite and Mt Tinstone pegmatites, which form the basis of the Mineral Resources reported in this Report, located directly south of the historically mined main-lode pegmatite, consist of a group of subparallel, interfingered, un-zoned albite-spodumene pegmatites that intrude the mafic volcanic and meta-sedimentary host rocks of the surrounding greenstone belt. Individual pegmatites vary in thickness (as described below), with an average dip of 22° to the southeast. These pegmatites are abundant in albite and primary spodumene with subordinate K-feldspar and minor muscovite and lepidolite. The pegmatite sheets display a massive to comb-textured internal structure, which is regarded as being characteristic of albite-spodumene type pegmatites. The pegmatites can be grouped into an upper thinner swarm (10 m–30 m in thickness), a middle thicker swarm (30 m–80 m in thickness), and a thick basal unit (120 m–200 m in thickness) (Figure 6-3) and are typically exposed prior to mining over an area 1,100 m × 800 m. The upper sheets are generally hosted by weathered and oxidized meta-greywacke, whereas the lower pegmatite sheets intrude fresh pyrrhotite/pyrite-rich meta-greywacke, as noted in the stratigraphic column in Figure 6-4. In addition to the dipping pegmatites, a number of vertical to sub-vertical pegmatite dykes that trend northwest-to-southeast and northeast-to-southwest occur. These dykes vary in width from 10 to 50 m and have been interpreted to extend 600 m along strike and up to 250 m in depth. The pegmatite sheets usually have a coarse-grained (up to 1 cm) massive biotite alteration selvage up to 1 m thick along the footwall and hangingwall contacts where the contact is conformable with the country rock. However, where the contact is structural (generally along thrust-faulted contacts), this selvage zone is absent. Immediately north of the Mt Cassiterite Pit (outside of the current Mineral Resources), under the area known locally as North Hill, pegmatites intercepted in drilling are hosted in amphibolite schist and generally display thicker individual pegmatite dykes with different chemistries than those observed and previously mined in the metasediments-hosted pegmatite sheets of the Mt Cassiterite Pit. The geometry and mineralization of these bodies is under investigation and present a future opportunity for the Operation. Albemarle Corporation | Wodgina Lithium Operation S-K 1300 Technical Report Summary February 11, 2026 SLR Project No.: 000.V00720.00RP2 6-6 Figure 6-3: Generalized Cross-Section of the Mt Cassiterite and Mt Tinstone Pegmatites Albemarle Corporation | Wodgina Lithium Operation S-K 1300 Technical Report Summary February 11, 2026 SLR Project No.: 000.V00720.00RP2 6-7 Figure 6-4: Stratigraphic Column of the Pegmatite Source: Sweetapple et al. 2001.


 
Albemarle Corporation | Wodgina Lithium Operation S-K 1300 Technical Report Summary February 11, 2026 SLR Project No.: 000.V00720.00RP2 6-8 6.4 Mineralization The Mt Cassiterite-Tinstone upper pegmatite sheets are mostly un-zoned, with mineralogy dominated by phenocrysts of spodumene (10 cm to 30 cm long) and K-feldspar in a matrix of fine- to medium-grained albite, quartz, and muscovite. Zonation caused by fractionation appears to increase with depth, and varies between the three main domains used in the Mineral Resource estimate. Veins of quartz up to 10 cm thick are common, as are 1 mm thick veinlets of green sericite-albite. These secondary features often occupy parallel fractures adjacent to the main dyke swarms. Texturally the pegmatite is extremely complex, showing evidence of multiple silicification and albitization events. Some mineralized zoning of the pegmatites has been observed, with higher concentrations of spodumene occurring close to the upper contact, and near-perpendicular alignment of crystals to the pegmatite contact exhibiting distinctive 'pull apart' structures. In the massive basal pegmatite, the spodumene is distributed within fine-grained quartz, feldspar, spodumene and muscovite matrix. A weak zonation is evident in the development of finer-grained border units and occasionally in areas rich in microcline crystals. However, there is no obvious zoning associated with the minor occurrences of other minerals, including lepidolite, biotite, fluorite, white beryl and lithium phosphate minerals. SLR considers the regional geology setting within the deposit to be well understood; however, given the style of mineralization, significant variability is seen on a local scale. This variability is noted within the active mining areas, particularly in the upper lenses with recent mining exposing the upper portions of the basal zone. This variability is highlighted on the contacts of the pegmatite with the host rock as shown in Figure 6-5:. This contact variability results in mining difficulties, along with geological interpretation complexities when based solely on drill holes. As such, the 2025 Mineral Resource estimate has incorporated mapping, and mining observations into the interpretation. Of note is the fractionation within the pegmatites, which appears to be changing both with depth and within the different zones within the pegmatite field. Fractionation impacts both the mineral assemblages (spodumene, quartz feldspars, and micas) and crystal sizes, both of which impact the recovery within the plant. These variations are reflected in the classification that is applied to the Mineral Resources, with no Measured Mineral Resources being reported. Further discussion is provided in Section 11.8 on impacts to the estimate. SLR understands that gaining an increased understanding of the local variability is a key focus of the operators, both at a corporate and mine site level. Additional works planned include additional drilling and in-pit sampling and mapping, along with rip lines on the bench floors to guide in grade control and ore mark outs. These works are strongly recommended by the SLR QP. Albemarle Corporation | Wodgina Lithium Operation S-K 1300 Technical Report Summary February 11, 2026 SLR Project No.: 000.V00720.00RP2 6-9 Figure 6-5: Upper Contact of the Basal Zone Source: SLR 2024 6.5 Deposit Types The pegmatites which form the Mineral Resources are interpreted to be relatively un-zoned albite-spodumene pegmatites in the upper portions, with increased fractionation at depth of the LCT (Li-Cs-Ta) type. It is generally accepted that pegmatites form by a process of fractional crystallization of an initially granitic composition melt. The fractional crystallization concentrates incompatible elements, such as light ion lithophile elements and volatiles (such as B, Li, F, P, H2O and CO2) into the late-stage melt phase. The volatiles lower the viscosity of the melt and reduce the solidification temperature to levels as low as 350°C to 400°C. This permits fractional crystallization to proceed to extreme levels, resulting in highly evolved end member pegmatites. The fluxing effect of incompatible elements and volatiles allows rapid diffusion rates of ions, resulting in the formation of very large crystals characteristic of pegmatites. Albemarle Corporation | Wodgina Lithium Operation S-K 1300 Technical Report Summary February 11, 2026 SLR Project No.: 000.V00720.00RP2 6-10 The less-dense pegmatitic magma may rise and accumulate at the top of the intrusive granitic body. However, typically the more fractionated pegmatitic melt phases escape into the surrounding country rock along faults or other structures to form pegmatites external to the parent intrusive, which is the case at Wodgina. Albemarle Corporation | Wodgina Lithium Operation S-K 1300 Technical Report Summary February 11, 2026 SLR Project No.: 000.V00720.00RP2 7-1 7.0 Exploration Historical exploration details are presented in Section 5.1. While extensive exploration works have been completed over the Operation, Mineral Resources are only reported in the Mt Cassiterite areas; as such, the exploration of the Mt Cassiterite area is the only exploration work that is presented in this Report. 7.1 Exploration Drilling in the Mt Cassiterite area has been carried out by a number of different drilling contractors and by a variety of different methods over the years. Since Sons of Gwalia Ltd purchased the Operation in 1995, six development-drilling programs were completed at Mt Cassiterite prior to MRL acquiring the property in 2016. The first, in 1996, involved a track-mounted RC rig completing a 3,464 m drilling program. This was followed by a resource extension program during 1998–1999, which comprised 17,586 m of RC drilling and 2,225 m of diamond drilling. A further resource extension program was completed in 2001 and comprised 18,694 m of RC drilling, while an RC infill-drilling program in the Mt Tinstone area was commenced in February 2002 and totaled 5,432 m. These programs were followed by further resource drilling in 2002–2003, consisting of 12,805 m of RC drilling. A continuation of this program included infill drilling, which totaled 2,948 m. Additional resource drilling, completed in March 2004, consisted of 3,866 m RC drilling and later infill-drilling for a total of 12,930 m. Following the acquisition of the Operation, MRL carried out RC drilling of 295 holes between September 2016 and August 2018 (including 10 with diamond tails) for a total of 76,849 m. Since 2018 an additional 19 diamond holes, 4 RC and 7 RC with diamond tails have been undertaken. MRL’s RC drilling was carried out using a face sampling hammer and a 142 mm diameter bit. In addition to the in situ drilling, a blast hole (BH) drilling program was carried out with Atlas Copco BH rigs using a 140 mm diameter bit targeting the historical TSF. 7.1.1 MRL Exploration MRL commenced exploration for lithium mineralization at Wodgina in 2016 and has completed exploration on behalf of the Company since its formation as the operator. Since no previous exploration had targeted lithium, the initial stage of determining lithium prospectivity (other than desktop research) was to re-assay the RC pulps held in reserve from the drilling campaigns of previous operators as described above. To identify which samples could be used to quantify the lithium content of the remaining in situ pegmatites, the geological model previously generated for tantalum resource estimation was interrogated. The modeled pegmatites were clipped to a surveyed surface of the total mined-out area of the pit, and the drill holes that intersected the remaining pegmatites were flagged to generate a list of the samples for re-assay. A total of 3,390 samples were re-assayed by Nagrom laboratory for lithium content. Drilling for the original data set was generally on a 25 m × 25 m grid; however, as shown by the black markers in


 
Albemarle Corporation | Wodgina Lithium Operation S-K 1300 Technical Report Summary February 11, 2026 SLR Project No.: 000.V00720.00RP2 7-1 Figure 7-1, the spatial extent of the samples that represent the in situ pegmatite was not consistent. There was a 200 m void in the central part of the pit and low data availability in the northeast. As such, MRL targeted new holes in these areas to assess lithium prospectivity, as represented by the red markers in Figure 7-1. MRL has not completed any geological mapping, geophysical surveys, or surface geochemistry. New exploration targets are conceptualized in the geological model and refined through drilling and further model iterations. The Company applies a staged approach to drilling these targets; initially, RC holes are used to test the structural and grade continuity, and if a second stage drilling campaign is warranted, then geometallurgy (mineralogy and ore characterization for beneficiation, etc.) and geotechnical characteristics are investigated through diamond drilling. Albemarle Corporation | Wodgina Lithium Operation S-K 1300 Technical Report Summary February 11, 2026 SLR Project No.: 000.V00720.00RP2 7-2 Figure 7-1: Sample Locations for Re-assayed RC Pulp (black) and New Samples (red) from 2016 Source: MRL 2017. Albemarle Corporation | Wodgina Lithium Operation S-K 1300 Technical Report Summary February 11, 2026 SLR Project No.: 000.V00720.00RP2 7-3 7.2 Drilling A summary of the drilling completed at Wodgina is presented in Table 7-1. 7.2.1 Historical Drilling For the purposes of this TRS, historical drilling is considered to be all drilling completed prior to MRL acquiring the Operation. The earliest documented drilling at Wodgina was undertaken in 1989; however, this was not included in the Mineral Resource estimate reported in this TRS and is not discussed below. The following is a summary of the drilling and sampling procedures for historical drilling: • Six drilling campaigns were completed from 1996 to 2004. The historical dataset comprises 1,691 drill holes, of which 1,510 were geologically logged in detail by operators at the time, for use in MRL’s geological interpretation. Most of the holes were drilled to explore the Mt Cassiterite-Tinstone Pit area and covered an area of approximately 1,100 m × 800 m. Some holes were targeted outside of this area; however, they had no mineralization. The average hole spacing is 25 m × 25 m. • Hole coordinates were surveyed using Differential GPS (dGPS), with ±0.01 m accuracy. • The hole types were mostly RC (~90%), with limited rotary air blast (RAB) (~8%) & diamond drilling (DD) at HQ size (~2%). SLR highlights that the RAB holes are excluded from the Mineral Resource estimation as they occur only in the upper portions and outside the resource area. More than half of the holes were drilled with a vertical orientation, with the remainder varying between -50° and -80° to the east and west. • Holes were drilled by various contractors throughout exploration history; however, all utilized similar equipment. In moist/wet ground conditions, the cyclone was washed out between sample intervals to prevent cross-contamination. The rigs had a dust collection system that involved the injection of water to prevent fines from being lost. • RC recoveries were recorded as a percentage based on visual analysis and the weight of the samples, while the core recovery was physically measured for each drill run. Sample loss was noted predominantly at the start of the hole in the weathered horizon, near shear zones, or at the host rock contact. The average sample recovery was noted as nearly 100% across all historical drilling campaigns. • All holes were geologically logged with detailed logging of primary and secondary (where present) rock types, contacts description, mineralization, alteration and accessory minerals. Logs were originally in hard-copy format and have been transcribed into Excel in recent years. • Holes drilled prior to 2008 were downhole surveyed with single-shot Eastmans. DDH were shot every 20 m and at the end of the hole, and RC holes were shot every 40 m to 50 m and at the end of the hole. All shots were taken inside stainless steel starter rods. All 2010–2012 RC holes (except for a few that collapsed) were downhole surveyed using a gyroscopic tool. • Prior to 2008, a riffle splitter was used in the collection of RC samples, while a cone splitter was used post-2008. The length of sampled interval for RC holes was consistently 1 m, while diamond drilling core was sampled at 1 m spacing that honored geological boundaries. Albemarle Corporation | Wodgina Lithium Operation S-K 1300 Technical Report Summary February 11, 2026 SLR Project No.: 000.V00720.00RP2 7-4 • Quality control measures included the insertion of Standard Reference Material (SRM) samples at a rate of 1 in 11 samples. Laboratory repeats and splits represent 1 in 10 samples. • Historical analysis was completed at the Wodgina laboratory or sent to the Greenbushes laboratory for testing; however, this did not include lithium content. Importantly, sample pulp duplicates were stored in air-tight containers at the mine site. • A review of the documentation indicates that suitable procedures were utilized to collect samples from within the holes, along with a survey system to accurately position holes. While data collection methods were via paper methods at the time of exploration, SLR is aware of the procedures of MARBL and considers that there is no reason a systematic bias may have occurred. Importantly, pulp samples were stored in a suitable location to minimize deterioration, some of which were re-assayed for lithium by MRL after acquisition and used in the current Mineral Resource estimate, as described in 7.1.1. As such, the SLR QP considers the underlying data to be suitable for use in a Mineral Resource estimation given the classifications applied. 7.2.2 MRL and Company Drilling 7.2.2.1 Resource Definition Drilling Resource definition drilling by MRL commenced in 2016 and has been overseen by MRL since the formation of the Company. The following is a summary of the drilling and sampling procedures for resource definition drilling: • The resource definition drilling dataset comprises 2,295 drill holes that infilled specific areas within the deposit prior to 2018 and extended the mineralization at depth. The hole types were mostly RC (~95%), with limited full DDH HQ (~1%) and RC drilling with diamond tails (4%). The average hole spacing is 25 m × 25 m, with holes typically drilled at a -60° orientation (though some holes were vertical) so as to make a perpendicular intersection with the pegmatites. • Hole coordinates were surveyed using dGPS, with ±0.01 m accuracy. • Holes were drilled by various contractors throughout exploration history with rig-mounted cyclone splitters. • All 2016–2022 RC holes (except for a few minor holes that collapsed, which do not impact the reported resource areas) were downhole surveyed using a gyroscopic tool, with records taken every 5 m and at the end of the hole. North-seeking (NS) gyroscopes were used to survey both vertical and inclined drill holes. The NS gyro-surveyed data was accepted as the most accurate of the downhole surveys, and this data was loaded to assist with geological modeling. • The drillers and offsiders were responsible for placing the drill core in core trays, completing depth reconciliation and recording recovery details, marking the core orientation, and marking both natural and man-made core breaks. • The average sample recovery was almost always 80% based on the estimated weight of the samples. Further discussion is provided in Section 11.0. • Geological logging included details of lithology type and unit boundary depths, color, mineralogy, grain size, texture, alteration, weathering and hardness. DDH were orientated, and the core was logged for geotechnical qualities (e.g., RQD, rock strength,


 
Albemarle Corporation | Wodgina Lithium Operation S-K 1300 Technical Report Summary February 11, 2026 SLR Project No.: 000.V00720.00RP2 7-5 structural defect characteristics and angles). Holes were logged into Excel spreadsheets. • For RC sampling, a cyclone-mounted cone splitter was used to bag 10% of the sample for assay; the remaining 90% was laid on the ground for logging. Sampling of diamond drill holes was completed on quarter cores for the length of the mineralized intervals, as selected by the Senior Resource Geologist. • The length of each sampled interval for RC holes was 1 m within the pegmatites and 2 m of waste adjacent to the pegmatite. This is an important aspect in the definition, and inclusion of waste with ore is important for the mineral processing and waste rock characterization. • The sample size for the 1 m pegmatite samples was generally 2 kg to 3 kg each. All RC samples are bagged in numbered calico bags, grouped into larger polyweave bags, and placed in a large bulka bag with a sample submission sheet. DDH samples are boxed for dispatch. These are transported via freight truck to Perth with a consignment note and receipted by Nagrom laboratory. • Quality control measures included the insertion of duplicate samples at an incidence of 1 in 20. Certified Reference Materials (CRMs) represent 1 in 36 samples. Repeat analysis of field duplicates and pulps was completed at an incidence of 1 in 20. • The Database Geologist was responsible for validating the data and providing a complete dataset for import into the geological modeling software. Drilling information is stored in a structured directory and backed up on a central server in Perth. Several factors could influence the quality of the drilling and sampling to result in no systematic bias. This includes the equipment type, sample recoveries, sampling methods and sampling security prior to arrival at the laboratory. SLR is of the opinion that industry-standard methods were applied to both the drilling and sample preparation and assaying procedures, which results in no identifiable systematic bias. While it is noted that low recoveries were achieved in several holes, the SLR QP considers there to be no material concerns for systematic bias in the samples. 7.2.2.2 TSF Drilling Blast hole drilling was utilized within the historical TSFs. The following is a summary of the drilling and sampling procedures for the blast hole drilling: • The TSF dataset comprises 360 blast holes (Section 11) covering TSF1, TSF2, and TSF3 and is approximately 1,100 m × 1,700 m with an average hole spacing of 50 m × 50 m. • Hole coordinates were surveyed using dGPS, with ±0.01 m accuracy. • The holes are typically drilled vertically using an Atlas Copco D65 rig, with a nominal hole diameter of 165 mm. • Sample recovery was not quantifiable; however, it was visually noted to be reasonably good. • Geological logging was not completed, given tailings material in the TSF has no geological context or structure; however, all holes were photographed after drilling and sampling. Albemarle Corporation | Wodgina Lithium Operation S-K 1300 Technical Report Summary February 11, 2026 SLR Project No.: 000.V00720.00RP2 7-6 • Twenty-nine holes spaced evenly across the TSFs were selected for gamma logging by Surtron for bulk density determination. • Given the vertical orientation and depth, no downhole survey was completed. • The hole cuttings were cone sampled using a hand scoop, with the length of each sampled interval equivalent to 2 m to 3 m. This varied due to the depth of each hole that was drilled to the base of the TSF. The sample weights were generally 2 kg to 3 kg each. • Quality control measures included the insertion of field duplicates at approximately 1 in 4 samples; eight SRMs have been used at an incidence of approximately 1 in 9, and laboratory repeats at approximately 1 in 11 samples. • All samples are bagged in numbered calico bags, grouped into larger polyweave bags, and placed in a large bulka bag with a sample submission sheet. These are transported via freight truck to Perth with a consignment note and receipted by Nagrom laboratory. • The Database Geologist was responsible for validating the data and providing a complete dataset for import into the geological modeling software. Drilling information is stored in a structured directory and backed up on a central server in Perth. Albemarle Corporation | Wodgina Lithium Operation S-K 1300 Technical Report Summary February 11, 2026 SLR Project No.: 000.V00720.00RP2 7-7 Figure 7-2: Drill Hole Locations Albemarle Corporation | Wodgina Lithium Operation S-K 1300 Technical Report Summary February 11, 2026 SLR Project No.: 000.V00720.00RP2 7-8 Table 7-1: Resource Drilling Summary Type (1) Holes Meters RAB (2) 289 24,224 DD 60 13,328 RC 1,934 236,092 RCD 7 3,708 RD 5 1,546 Total 2,295 278,898 Notes: 1 RC = Reverse circulation drilling; RAB = Rotary Air Blast drilling; DD = Diamond drilling; RCD/RD= RC at top of hole with diamond drilling through pegmatite. 2 Assays not used in the estimate SLR is aware that several RC grade control holes have been completed within the mining area. These are not included in the above table and are located within the production areas of the three-month period prior to the Effective Date of this TRS. 7.2.3 Qualified Person Statement on Exploration Drilling The QP is not aware of any drilling, sampling, or recovery factors that could materially affect the accuracy and reliability of the results of the historical or recent exploration drilling. The review of the drilling and sampling procedures indicates that international standard practices are being utilized with no material issues being noted by SLR. While the historical drilling is not in line with current procedural record-keeping and digital recording, SLR was aware of the procedures of the operators at the time. Furthermore, historical pulp samples are consistent with the infill drilling undertaken using current procedures, and a visual comparison does not indicate any systematic bias. It is noted that no twin holes have been completed. SLR considers that there is sufficient geological logging, assay data and bulk density determinations to enable estimation of the geological and grade continuity of the deposit to accuracy suitable for the classification applied. SLR does, however, note that the majority of drilling has been undertaken by RC drilling, which limits the ability to gain critical mineralogy and structural data from the drilling. RC drilling also has issues defining the boundaries of the mineralization; however, all samples are on 1 m intervals. As such, the impact of this is not considered material. Several DDH and diamond tails have been completed in recent years; however, the majority of these are targeted at depth. SLR recommends an increase in DDH to enable additional geological understanding of the mineralization and fractionation within the deposit. The data has been organized into a current and secure spatial relational database. The data has undergone thorough internal data verification reviews, as described in Section 9.0 of this TRS. 7.3 Hydrogeology The Wodgina area is a fractured rock environment, with groundwater resources being associated with bedrock aquifers. Groundwater occurs within both the greenstone and granite of the Wodgina Greenstone Belt and in the alluvium adjacent to the Turner River. Depth to


 
Albemarle Corporation | Wodgina Lithium Operation S-K 1300 Technical Report Summary February 11, 2026 SLR Project No.: 000.V00720.00RP2 7-9 groundwater is related to topographic relief; in low-lying relief, the depth to groundwater is very shallow (<10 m bgl) compared with the higher relief metasediments of the greenstone belt, where groundwater can be >40 m bgl. The Mt Cassiterite Pit is mostly dry, and water in the pit is predominantly surface water run-off from rain events. The water supply for the mine is, therefore, from the bore fields that surround the Operation. The lack of prospective groundwater targets and the distal location of water infrastructure for the Operation indicates that Wodgina itself is likely to have low permeability and porosity in the rock strata. This is supported by a very limited amount of aquifer testing conducted across the site. Groundwater drilling has targeted eight areas (listed below), and only twelve of the bores are productive in the various geological environments at Wodgina. Drilling techniques were predominantly RAB and RC, and pump testing was performed to derive yield and transmissivity for the estimation of groundwater supply potential and an indication of porosity and permeability of the aquifers. These techniques are industry-standard and are suitable for deriving information about the groundwater conditions at Wodgina. However, the derived transmissivities from production bores are biased towards the higher expected range as production bores are only completed where economically viable groundwater intersections occur. • The Old Borefield is approximately 8 km north of the Operation and is comprised of three bores drilled in the 1980s by Main Roads WA that target fractured quartz veins. Transmissivity varies from 172-426 m2/day, which indicates high groundwater supply potential; however, the bore field is low yielding, with a proposed abstraction rate of approximately 3.4 L/s derived from pump tests. • The Breccia Borefield is approximately 26 km east of the Operation and provides the Operation’s main water supply. It targets the contact zones between ultramafics, quartzites and conglomerate along Chinnamon Creek. Three operational bores were drilled in 1994, and a fourth bore was added in 1996. Yields range from 6 L/s to 14 L/s in this bore field, even though the transmissivity varies from 6-165 m2/day, which is typically designated as an intermediate potential for groundwater supply. • The North Borefield is approximately 18 km to the north of the Operation and was established in 1997 to provide supplementary potable water and raw water supply for the mine. It targets fractured granite. Six holes were drilled, but only three remain operational, with an average yield of 12.5 L/s and transmissivity ranging from 408-667 m2/day, making it the most prospective aquifer for groundwater supply potential in the vicinity of Wodgina mine. • The Turner River Borefield is immediately east of the Old Borefield and comprises two bores drilled in 2012 that target fractured granite. Yields are between 10 L/s and 12 L/s, with transmissivity ranging from 77 m2/day –180 m2/day, indicating an intermediate potential for groundwater supply. • A new borehole drilled in the 2018–2019 groundwater drilling program at Top Dump North East (TDNE) is located approximately 1 km northeast of the Mt Cassiterite Pit. This hole targets fractured mafic schist and quartzite. It was drilled near the process plant and ore stockpile so that any water supply located could be transferred to the raw water pond for use in processing, with a high yield of approximately 20 L/s. Transmissivity values range from 114 m2/day –187 m2/day, indicating an intermediate potential for groundwater supply. Albemarle Corporation | Wodgina Lithium Operation S-K 1300 Technical Report Summary February 11, 2026 SLR Project No.: 000.V00720.00RP2 7-10 • Approximately 2 km south of the Old Borefield, a new bore was drilled at the abandoned Airstrip. This hole was part of the 2018–2019 groundwater drilling program and targeted fractured granite. Pump tests indicated a high yield of approximately 25 L/s, and transmissivity ranges from 418 m2/day –575 m2/day (high potential for groundwater supply through the aquifer). • Two areas make up the Southern Borefields: Referender and Carbine. Two bores in Referender (approximately 4 km southwest of Mt Cassiterite Pit) and one bore in Carbine (approximately 3 km west of the Mt Cassiterite Pit) were drilled in the 2018– 2019 groundwater drilling campaign. These target fractured pegmatites, granites, mafic schists and quartzites. However, the low and/or unsustainable yields were not enough to justify the pumping distance to the mine and are not considered to be of use to the Operation. Air-lift pump results from the Referender holes were 3.8 L/s and 22 L/s respectively, with the Carbine hole not able to yield any recordable result. While it was noted that a high yield was achieved in one of the Referender holes, the TDNE site was chosen as a raw water supply source due to its proximity to the processing infrastructure. Transmissivity also ranged from 2.8-122 m2/day at Referender, indicating a low to intermediate groundwater supply potential. No transmissivity could be tested at Carbine as no groundwater flow was detected. • Four monitoring bores were acquired by the Operation at Atlas Pit. These target schist, basalt and metasediments. No yields were achieved in these holes and are used to monitor drawdown only. Groundwater samples from the Old, Breccia, and North bore fields have been routinely collected on an annual basis for hydrochemistry parameters and biannually for salinity, electrical conductivity, total hardness and pH. Groundwater samples were also collected from the bores drilled in the 2018–2019 drilling program. Samples were analyzed by ALS Global Environmental Division (ALS) in Perth, who is accredited in compliance with ISO/IEC 17025 - Testing standards under the National Association of Testing Authorities (NATA). Quality control reports from the laboratory indicate all duplicate sample results were within expected and acceptable ranges for reproducibility. Overall, the analysis indicates that groundwater across the region is moderately alkaline and moderately brackish. The results are compared to the thresholds indicated in the ANZECC & ARMCANZ 2000 guidelines for livestock (beef cattle) drinking water. Water used for potable purposes at the camp is treated by Reverse Osmosis (RO). 7.4 Geotechnical Data, Testing, and Analysis Geotechnical data, testing and analysis is limited as the majority of drilling completed has been via RC methods. Two geotechnical drill holes have been completed in the Mt Cassiterite Pit (DGET0604 and DGET0605), though their positions are considered sub-optimal for rock mass conditions as they intersect major structures. Therefore, geotechnical characterization has been on the basis of pit inspections and mapping only. In March 2022, MARBL conducted a pre-entry inspection and mapping exercise of the current Cassiterite Pit to confirm that there are no recent and/or impending failures that could impact personnel and equipment movements upon mine restart. Numerous (but manageable) geotechnical failures have been identified in pit walls. Some minor rockfalls have been induced by blasting, and the capacity of the catch berms has decreased by 30% to 50%. Albemarle Corporation | Wodgina Lithium Operation S-K 1300 Technical Report Summary February 11, 2026 SLR Project No.: 000.V00720.00RP2 7-11 SLR notes the orientation of the East Wall (Figure 7-3) with respect to the dip angles of foliation and joint sets. The wall’s slope dip direction is approximately 315º (to the west). The foliation dip angle ranges from 42° to 54°, with a dip direction ranging from 318º to 346º (also to the west). Joint Set 1 is generally perpendicular to foliation. The dip angle ranges from 78º to 89º, with a dip direction ranging from 16º to 65º (to the northeast). Structural analysis suggests that these conditions are likely to result in planar and/or wedge failure of the highwall, requiring management controls to be put in place to prevent the failure. SLR is aware MARBL understands these issues and will address and mitigate risk during the mining in the area and the slope angles for the pit design. Kinematic analysis of the foliation identified that batter angles of 50° will not allow planar or wedge failures to form in this wall. Therefore, to minimize the effect of foliation on pit wall stability, the pit has been designed at 40° to minimize any risk. During the site visit, a drilling campaign was also in progress to further inform the geotechnical model, improve the information from face mapping, and allow the pit slope design criteria to be optimized. At the Effective Date of this Report, the drilling was complete, with all holes logged and awaiting geotechnical test work to be completed. While limited historical test work is available regarding soil testing and rock strength, as noted above, this work is underway. These planned test studies are considered appropriate to support the planning mining activities. Further details are provided in Sections 12.0 and Section 13.0. Figure 7-3: Foliation Controlling Batter Stability in the East Wall Source: Hobles 2022 Albemarle Corporation | Wodgina Lithium Operation S-K 1300 Technical Report Summary February 11, 2026 SLR Project No.: 000.V00720.00RP2 8-1 8.0 Sample Preparation, Analyses, and Security 8.1 Density Determinations 8.1.1 In Situ Pegmatites In May 2006, a study of bulk density was undertaken using the industry-standard Archimedes method. Specific gravity determinations were obtained from over 200 samples from diamond core drilling across the deposit to derive bulk density values for use in Mineral Resource estimations. These results were compared to core bulk density measurements and values used historically. The densities assigned to the resource model are presented in Table 8-1 and are considered reasonable. Table 8-1: Density Values for Material Types at Wodgina Material Density (g/m3) Fill 1.80 Oxide Waste 2.32 Fresh Waste 2.96 Oxide Pegmatite 2.32 Transition/Fresh Pegmatite (Cassiterite Pit) 2.73 Transition/Fresh Pegmatite (North-east Pit) 2.80 Source: MRL 2025. Given the style of mineralization and the historical mining and reconciliation, SLR considers these densities to be reasonable for the classification applied. However, additional determination from core drilling and detailed reconciliation is recommended to be undertaken to support these assumptions for future estimates. 8.1.2 Tailings Storage Facilities A total of 29 holes has been geophysically logged by Surtron for density. The holes represent a reasonably even spatial distribution across TSF1, TSF2, and TSF3. Density data has been collected at 10 cm intervals down the hole. These values have been statistically reviewed to determine the average density for each TSF (Table 8-2). Moisture content has been reviewed and is stated to be approximately 5% to 6%; however, the samples have been stored and transported in calico then plastic bags and have likely lost some moisture, and consequently, a value of 8% has been applied to the raw density to arrive at a dry density.


 
Albemarle Corporation | Wodgina Lithium Operation S-K 1300 Technical Report Summary February 11, 2026 SLR Project No.: 000.V00720.00RP2 8-2 Table 8-2: Density Estimates for TSFs Mean Surtron Density (m3/t) Moisture (%) Estimated Dry Density (m3/t) TSF1 TSF2 TSF3 Average of All 1.88 1.90 1.80 1.88 8 1.73 Source: Widenbar 2018. For Mineral Resource estimation purposes, density has been rounded to 1.70 m3/t, which is considered reasonable by SLR. 8.2 Analytical and Test Laboratories Prior to 2016, all analysis was conducted using a combination of the on-site laboratories at Wodgina and Greenbushes mines. Lithium was not analyzed for any samples prior to 2016; as such, the techniques applied are not included in this Report. Since MRL acquired the Operation, analysis for lithium content has been completed at an external laboratory. Nagrom is a privately owned laboratory in Kelmscott, WA. All of Nagrom’s analytical procedures have International Organization for Standardization (ISO) accreditation, and they participate in round-robin testing and supply of CRMs. 8.3 Sample Preparation and Analysis Sampling and quality control methods have been described in Section 7.2. Once samples are collected, the following sample preparation methods for analysis were followed (excluding the re-sampled historical holes): • RC drill chips were dried at 100°C. All samples below approximately 4 kg were pulverized in an LM5 mill to nominally 85% passing a 75 μm screen. Samples generated above 4 kg were crushed to less than 6 mm and riffle split prior to pulverization in the LM5 mill. • Samples from the TSF were crushed to break up tailings agglomerates and then riffle split in half prior to pulverization. The tails are sized at 95% passing 500 μm. • Core is quartered lengthwise using a diamond core saw, with the quarter core sent for X- Ray Fluorescence (XRF) and ICP analysis. For metallurgical testing, half-core is analyzed. The length of the sample is determined by the extent of mineralization to be tested. Analytical testing is performed using a combination of inductively coupled plasma (ICP) and XRF. Table 8-3 presents the analyzed elements, units, and detection limits for analytes at NAGROM. Albemarle Corporation | Wodgina Lithium Operation S-K 1300 Technical Report Summary February 11, 2026 SLR Project No.: 000.V00720.00RP2 8-3 Table 8-3: Elements, Units, and Detection Limits for Wodgina Analyses at NAGROM Element Description Method Units Detection Limit Li2O Lithium Oxide ICP005 ppm 10 Al2O3 Aluminum Oxide XRF007 % 0.001 CaO Calcium Oxide XRF007 % 0.001 Cr2O3 Chromium (III) Oxide XRF007 % 0.001 Fe Iron XRF007 % 0.001 K2O Potassium Oxide XRF007 % 0.001 MgO Magnesium Oxide XRF007 % 0.001 MnO Manganese (II) Oxide XRF007 % 0.001 Na2O Sodium Oxide XRF007 % 0.001 P Phosphorus XRF007 % 0.001 S Sulfur XRF007 % 0.001 SiO2 Silicon Dioxide XRF007 % 0.001 TiO2 Titanium Dioxide XRF007 % 0.001 V2O5 Vanadium Pentoxide XRF007 % 0.001 Ta2O5 Tantalum Pentoxide XRF007 % 0.001 Nb2O5 Niobium Pentoxide XRF007 % 0.001 Sn Selenium XRF007 % 0.001 LOI1000 Loss of Ignition at 1000°C TGA002 % 0.01 Rb Rubidium ICP005 ppm 1 Cs Cesium ICP005 ppm 1 8.4 Sample Security All drilling activities have been undertaken by contractors independent of the MRL and the Client. MRL’s personnel have mostly undertaken RC and DDH core sample handling post collection. The sample security measures undertaken include the following: • Samples for the Mineral Resource estimates have been derived from surface drilling. The independent drilling crews are responsible for delivering the core to the storage facilities, and MARBL’s personnel are responsible for cutting the core and placing the cut core in bags for delivery to the preparation laboratory facilities, which is also managed by MARBL’s Geology Department. Together with the cores and RC samples, the geology staff provide to the laboratory a report with the amount and the numbers of samples, and sample tickets to each core are provided. Prior to submission, duplicate and CRMs were included in the batches and documented within the sample runs. Batches are sent to the analytical laboratories with a report detailing the analysis method required for each element. Chain of custody is kept all the time by MARBL personnel. • Following submission, samples are managed and prepared by independent, internationally-accredited laboratory personnel. Albemarle Corporation | Wodgina Lithium Operation S-K 1300 Technical Report Summary February 11, 2026 SLR Project No.: 000.V00720.00RP2 8-4 • SLR notes that although MARBL’s personnel are responsible for handling the samples during the sampling process, all personnel are supervised by senior site geologists. In addition, photos are taken of all core trays prior to sampling. The core is clearly labelled for sampling; a suitable paper trail of sampling can be produced, and duplicate samples are taken to ensure no sample handling issues arise. Half core rejects, core rejects and pulps are appropriately stored inside the core shed and are available for further checks. SLR considers these procedures to be industry standard and regards the sample security and the custody chain to be adequate. SLR also notes that the potential for sample degradation of historical pulps is low due to having adequate weather-proof storage on site. 8.5 Quality Assurance and Quality Control Quality Assurance and Quality Control (QA/QC) programs were applied during all types and stages of data acquisition during the MRL/Company exploration and resource drilling programs. They include written MARBL defined protocols for sample location, logging and core handling, sampling procedures, laboratories and analysis, and data management and reporting. The procedures detail measures to ensure sample numbers correspond with meter number and hole ID, that there is a standardized method for drill chip collection and preparation, chip tray annotation, dealing with wet samples or no sample recovery, rate of insertion of quality control checks such as standards and duplicates, sample selection and tracking for analysis, and the method of data capture for upload to MARBL database. In addition to material handling and sample collection, QA/QC programs were designed to assess the quality of analytical assay results for accuracy, precision and bias. This is accomplished through the regular submission of SRM and/or CRM and field duplicates with regular batches of samples submitted to the laboratory. Quality control procedures were described in Section 7.2 as they related to the sampling procedures. Below is a summary of the outcomes of the sample analysis for the post-2016 drilling only. SLR has not been provided with the earlier data. As expected, precision improves as duplicates and repeats are taken further along the preparation process due to sample material becoming more homogenized with each advancing stage of preparation. Overall, SLR, as the QP, considers that the QA/QC regime is in line with industry standards. The level of accuracy and precision of the assay determination is considered to be sufficient to form the basis for the Mineral Resource estimation and is reflected in the classification levels proposed in the Mineral Resource estimate. 8.5.1 Field Duplicates Field duplicates have been used to monitor for contamination. The field duplicates (split off the cyclone) have a low-moderate level of precision, with the majority of duplicate Li2O grades differing by no more than 30% from the original samples. The majority of outliers occur where the grade was analyzed to be less than 1%. 8.5.2 Laboratory Duplicates Laboratory duplicates were prepared for each of the samples. With increasing preparation, the coarseness of the sample decreases and becomes more homogenous, and there is a decreased risk that spodumene crystal size will have an impact on the results. Both coarse repeats and pulp repeats of the laboratory duplicates for all lithium assay programs at Wodgina have a high level of precision, with the majority of samples showing no more than a 5% Albemarle Corporation | Wodgina Lithium Operation S-K 1300 Technical Report Summary February 11, 2026 SLR Project No.: 000.V00720.00RP2 8-5 difference from the original samples; and where there is a deviation, the relative difference is no more than 10% of the original sample result. As such, these results are considered reasonable and in line with expectations for the style of the mineralization, and no systematic bias has been displayed. 8.5.3 Standard Reference Material SRMs have been used to quantify analytical bias during the re-assay of historical pulps and the TSF sample analysis. Two SRMs were used for the historical pulps; however, these were not industry supplied, rather sources from local material. No recommended mean or standard deviation values were provided, though there appears to be no significant bias or erratic data in the set of standards. Eight SRMs were used for the TSF campaign, and similarly, these were not supplied by an industry provider. As such, no recommended mean or standard deviation values were provided, though there appears to be no significant bias or erratic data for the standard used to assess bias in the TSF samples. 8.5.4 Certified Reference Materials CRMs have been used to quantify analytical bias during MRL/Company’s resource drilling campaign. For the Wodgina lithium assay campaigns, three CRM samples, comprised of ore sourced from the Mt Cattlin Spodumene Mine, situated at Ravensthorpe – 430 km east- southeast of Perth in Western Australia, were used. Table 8-4 presents the mean results of the analysis at Nagrom compared with the manufacturer’s specifications. Table 8-4: Comparison of CRM Analysis Sample ID Description of Li2O Grade Manufacturer’s Mean Li2O Grade Nagrom Mean Li2O Grade % of Samples Outside of 1 SD 2 SD 3 SD AMIS0339 High Grade 2.15% 2.23% 28% 0.4% 0.4% AMIS0340 Medium Grade 1.43% 1.39% 10% 0% 0% AMIS0343 Low Grade 0.70% 0.71% 3% 0% 0% *SD = Standard Deviation All of the samples (except for one outlier) returned results within two standard deviations, but the majority of the results were within one standard deviation of the expected mean. This is well within the limitations stipulated by the manufacturer of the CRMs. Slight variations in analytical procedures between the CRM manufacturer and Nagrom are the likely cause of the slight bias observed (i.e., the difference in mean Li2O %). Overall, SLR considers that the QA/QC regime is in line with industry standards. While some issues were noted, the level of accuracy and precision of the assay determination is considered to be sufficient to form the basis for the Mineral Resource estimation and is reflected in the classification levels proposed in the Mineral Resource estimate.


 
Albemarle Corporation | Wodgina Lithium Operation S-K 1300 Technical Report Summary February 11, 2026 SLR Project No.: 000.V00720.00RP2 9-1 9.0 Data Verification Further information on the drilling and sampling procedures is provided in Section 8.5. The original RC pulps were subject to stringent QA/QC and laboratory preparation procedures and are considered reliable for the purposes for which they are being used. The level of accuracy and precision of the assay determination is considered to be sufficient to form the basis for the Mineral Resource estimation and is reflected in the Mineral Resource classification. While the historical drilling is not in line with current procedural record keeping and digital recording, SLR is aware of the procedures of the operators at the time. Furthermore, these pulp samples are consistent with the infill drilling undertaken using current procedures, and a visual comparison does not indicate any systematic bias. The review of the drilling and sampling procedures by SLR indicates that standard practices were being utilized by MRL for the recent drilling, which underpins a large portion of the Indicated Mineral Resource, with no material issues being noted by SLR. The QA/QC samples all showed suitable levels of precision and accuracy to ensure confidence in the sample preparation methods employed onsite and the primary laboratory and notes that re-sampling programs have been completed by MRL on previous drilling programs to ensure accuracy. The selective original data review and site visit observations carried out by SLR did not identify any material issues with the data entry or digital data. In addition, SLR considers that the on-site data management systems meet industry standards, which minimizes potential ‘human’ data- entry errors, and have no systematic fundamental data entry errors or data transfer errors; accordingly, SLR considers the integrity of the digital database to be sound. In addition, SLR considers that there is sufficient geological logging and bulk density determinations to enable estimation of the geological and grade continuity of the in situ deposit to an accuracy suitable for the classification applied. Albemarle Corporation | Wodgina Lithium Operation S-K 1300 Technical Report Summary February 11, 2026 SLR Project No.: 000.V00720.00RP2 10-1 10.0 Mineral Processing and Metallurgical Testing The Wodgina processing department has established an ongoing geometallurgical testing program to predict how Wodgina ore will perform in the processing plant. Using drill core samples from a 2021 metallurgical campaign, primarily from Stages 1, 2, and 3 of the pit sequencing, the program assessed mineralogy, geochemistry, lithology and alteration to select samples for grinding and flotation tests. Test results were correlated with ore body characteristics to forecast processing performance. Both diamond and geotechnical cores were analyzed, with a focus on pegmatite intersections. The program predicts outcomes up to and including Stage 3, with data for Stages 4 and 5 awaiting further drilling. Details of the pit stages are provided in Sections 12.0 and 13.0. 10.1 Mineralogy The mineralogy of the ore and host rocks was poorly understood before the construction and initial operation of processing facilities. Challenges during commissioning and early operations in achieving nameplate recovery highlighted the need for a detailed geometallurgical model, with a strong focus on mineralogical aspects. This program is in its early stages, aiming to improve the understanding of how mineralogy affects processing performance. Mineralogical testing has been integrated with geometallurgical studies, using duplicate samples for metallurgical testing. The mineralogical component employs advanced analytical methods, including core logging, Laser Ablation Inductively-Coupled Plasma Mass Spectrometry (LA-ICP-MS), hyperspectral logging, X-Ray Diffraction (XRD), and Scanning Electron Microscope (SEM) to study mineralogical and textural properties. These analyzes reveal how mineralogy and texture influence processing, helping to build a comprehensive geometallurgical model. While ongoing, the program is expected to significantly improve ore processing efficiency and recovery outcomes. Table 10-1 shows a list of the mineralogy documentation reviewed. Table 10-1: Mineralogical Documentation Reviewed Report Title Provider Year Lithium content in various minerals in eight samples for ALS University of Tasmania 2023 Wodgina Flotation Report JK Tech 2023 A23533 / A25001 Wodgina Test Work ALS 2024 Key findings from the geometallurgical program include the classification of samples from four drill holes into three textures: 1 Coarse to fine acicular spodumene in a grey quartz matrix, 2 Fine granulated pegmatite, and 3 Megacrysts in a mixed stockwork/graphic complex. Table 10-2 shows a summary samples selection and textures. Albemarle Corporation | Wodgina Lithium Operation S-K 1300 Technical Report Summary February 11, 2026 SLR Project No.: 000.V00720.00RP2 10-2 Table 10-2: Geometallurgy – Mineralogy Sample Texture Selection Spodumene, the primary lithium-bearing mineral, constitutes about 20% of mineralized material by weight and hosts 95% of the lithium. Gangue silicates include quartz, albite, and K-feldspar, with minor contributions from micas. Variations in spodumene composition, particularly in Stage 3 samples, show higher iron content, which lowers the α-β conversion temperature during calcination and increases fragmentation risks. Lithium is also found in host rocks, primarily in holmquisite and trace amounts in other amphiboles. Micas are more common near the surface but decrease in abundance in deeper samples. Mineralogical testing is ongoing and will be updated with future planned drilling in Stages 4 and 5 of the LOM plan. 10.2 Metallurgical Test Work Wodgina has actively pursued metallurgical testing and process optimization since commissioning when it became clear the process plant could not meet nameplate recovery and concentrate grade targets. Although the concentrate grade was adjusted from SC6.0 to SC5.5, and some recovery improvements were achieved, the design recovery target remained unmet. Ongoing site-level testing, supported by external consultants, highlighted the need to advance geometallurgical program samples alongside metallurgical testing to guide capital projects and retrofits for improving recovery, stability, and product grade. Table 10-3 shows a list of the metallurgical test work documentation reviewed. Albemarle Corporation | Wodgina Lithium Operation S-K 1300 Technical Report Summary February 11, 2026 SLR Project No.: 000.V00720.00RP2 10-3 Table 10-3: Metallurgical Test Work Documentation Reviewed Report Title Process Area Provider Year Wodgina Flotation Report Flotation JK Tech 2023 Wodgina Modeling and Simulation Report Grinding Orway Mineral Consultants 2023 Wodgina Lithium - Courier 8 Test Report On Stream Analysis Metso 2023 A23533 / A25001 Wodgina Test Work Flotation ALS 2024 Wodgina Test Work Geomet Mineral Resources Ltd 2024 The geometallurgical program has progressed from mineralogical analysis to physical testing and verification of the original Process Design Criteria. The program has also explored potential improvements, including Dense Media Separation (DMS) and optimization of grinding, desliming, and magnetic separation within the existing flowsheet. These findings have informed several approved capital projects aimed at enhancing plant stability, throughput, recovery, and concentrate quality. Given the inability of the plants to achieve the desired product Li2O/Fe2O3 grade, this program targeted increased understanding of the ore types to ensure the process design criteria remains valid and identifying overall improvement in the performance. As noted in Section 12.0, the recovery forecast is consistent with recent actuals in the mid-70’s with increased based on growth projects planned and the introduction of High Intensity Conditioners (HICs) in all trains. SLR is of the opinion that these forecasts are reasonable. Figure 10-1 shows the main geometallurgical testing program, which includes parallel mineralogical testing. Figure 10-1: Geometallurgical Program – Metallurgical Testing Flowsheet Flotation testing is ongoing, with results already being integrated into the Operation of the existing flotation circuit. These tests, alongside other geometallurgical and metallurgical


 
Albemarle Corporation | Wodgina Lithium Operation S-K 1300 Technical Report Summary February 11, 2026 SLR Project No.: 000.V00720.00RP2 10-4 programs, continue to shape strategies for long-term process improvements and plant upgrades. 10.3 LOM Plan The LOM plan anticipates a feed grade exceeding both the current average and the design target of 1.25% Li₂O as Stage 2 processing concludes (late 2025) and Stage 3 production begins. The Operation expects that the process condition will stabilize and there will be process improvement as a results of: • higher-than-design feed grades, • a stable ore supply from the first two processing trains before transitioning to three as has recently been observed in production actuals, • insights from the geometallurgical program, • and targeted plant improvements. This should enhance Li₂O recovery while maintaining the SC5.5 concentrate grade. The LOM also projects stepwise recovery increases of 5% through several process improvement projects, including: • On-Stream Analysis (OSA), • Particle Size Determination (PSD), • and other initiatives. Successfully achieving these process improvements and recovery gains will require a consistent supply of high-quality ore to fully maximize the benefits of these enhancements. SLR is of the opinion that the forecasted plant recoveries are reasonable and can be achieved based on the test work completed and the operational performance since restart in 2022. Albemarle Corporation | Wodgina Lithium Operation S-K 1300 Technical Report Summary February 11, 2026 SLR Project No.: 000.V00720.00RP2 11-1 11.0 Mineral Resource Estimates This section of the Report summarizes the main considerations in relation to the preparation of the Wodgina Mineral Resource estimate and provides references to the sections of the study where more detailed discussions of particular aspects are covered. Detailed technical information provided in this section relates specifically to this Mineral Resource estimate and forms the basis of the Mineral Reserve estimate as reported in Section 12.0. A “Mineral Resource” is defined in S-K 1300 as “a concentration or occurrence of material of economic interest in or on the Earth’s crust in such form, grade or quality, and quantity that there are reasonable prospects for economic extraction”. The location, quantity, grade (or quality), continuity and other geological characteristics of a Mineral Resource are known, estimated or interpreted from specific geological evidence and knowledge, including sampling. Mineral Resources are sub-divided, in order of increasing geological confidence, into Inferred, Indicated and Measured categories. Mineral Resource estimates are not precise calculations, being dependent on the interpretation of limited information on the location, shape and continuity of the occurrence of mineralization and on the available sampling results. The Mineral Resource estimates were compiled with reference to S-K 1300 by SLR acting as the QP in accordance with S-K 1300. For a Mineral Resource to be reported, it must be considered by the QP to meet the following criteria: • There are reasonable prospects for economic extraction. • Data collection methodology and record-keeping for geology, assay, bulk density and other sampling information are relevant to the style of mineralization, and quality checks have been carried out to ensure confidence in the data. • Geological interpretation of the resource and its continuity has been well defined. • Estimation methodology that is appropriate to the deposit and reflects internal grade variability, sample spacing and selective mining units. • Classification of the Mineral Resource has taken into account varying confidence levels and assessment, and whether the appropriate account has been taken for all relevant factors, i.e., relative confidence in tonnage/grade, computations, confidence in the continuity of geology and grade, quantity and distribution of the data and the results reflect the view of the QP. For discussion on conversion of Mineral Resource to Mineral Reserves, please refer to Section 12.2. 11.1 Resource Areas The reported Mineral Resource can be separated into three areas: • In situ Pegmatites: These Mineral Resources are the material within the ground with no mining occurring as yet. • Tailings storage facilities: Three TSFs have been the subject of drilling, two small TSFs (TSF1 and TSF2) and a larger TSF3 (Figure 3-3). Albemarle Corporation | Wodgina Lithium Operation S-K 1300 Technical Report Summary February 11, 2026 SLR Project No.: 000.V00720.00RP2 11-2 • Ore stockpiles: several stockpiles occur within the Operation. 11.2 Statement Of Mineral Resources Results of the Mineral Resources estimate for the Operation are tabulated in the Statement of Mineral Resources in Table 11-1, which are reported in line with the requirements of S-K 1300; as such, the Statement of Mineral Resources is suitable for public reporting. Table 11-1 presents the Mineral Resources exclusive of and additional to the Mineral Reserves presented in Section 12. The stated Mineral Resources account for mining depletion and stockpile movements that have occurred up to June 30, 2025, based on a resource model completed in September 2024. The Mineral Resources are reported to reflect the 50% Albemarle ownership in the relevant holding companies. The in situ Mineral Resource is reported at a COG based on the mining method; the open pit COG is 0.5% Li2O and the underground COG is 0.75%. The COGs are based on estimated mining and processing costs, recovery factors and product price forecasts. It is highlighted that a product price (as discussed in Section 0) of US$1,500/t of SC6.0 CIF China was utilized, based on independent expert advice provided by Fastmarkets. This price is over a timeline of 7 to 10 years and well below the current spot price and was selected based on the reasonable prospect of the Mineral Resource. Albemarle Corporation | Wodgina Lithium Operation S-K 1300 Technical Report Summary February 11, 2026 SLR Project No.: 000.V00720.00RP2 11-3 Table 11-1: Statement of Mineral Resources at June 30, 2025 Type Classification Quantity (100%) (Mt) Attributable Quantity (50%) (Mt) Li2O Grade (%) Open Pit Indicated 17.6 8.8 0.7 Inferred 1.2 0.6 1.0 Underground Indicated 30.7 15.3 1.3 Inferred 26.7 13.4 1.2 TSF Indicated - - - Inferred 2.4 1.2 0.4 Total Indicated 48.3 24.3 1.0 Inferred 30.3 15.1 1.3 Notes: 1. The Mineral Resources are reported exclusive of the Mineral Reserves. Mineral Resources that are not Mineral Reserves, while demonstrating reasonable prospect for economic extraction, do not have demonstrated economic viability. 2. The Mineral Resources have been compiled under the supervision of SLR as the QP. 3. All Mineral Resources figures reported in the table above represent estimates at June 30, 2025, based on a model completed in September 2024. Mineral Resource estimates are not precise calculations, dependent on the interpretation of limited information on the location, shape and continuity of the occurrence and on the available sampling results. The totals contained in the above table have been rounded to reflect the relative uncertainty of the estimate. Rounding may cause some computational discrepancies. 4. Mineral Resources are reported in accordance with S-K 1300. 5. The Mineral Resources reflect the 50% ownership in the relevant holding companies. 6. Mineral Resources are reported on an in situ basis without applying mining dilution, mining losses, or process losses. 7. The Mineral Resources are reported above 0.5% Li2O cut-off for in situ pegmatites within the open pit, 0.75% within the underground, and above 0% for TSF, as all material would be mined and recovered. The basis for the COG is provided in Section 0. 8. The underground Mineral Resource is reported in areas of >10 m thickness, below the open pit Mineral Resources which is constrained by the Mineral Reserves pit design. 9. Mineral Resources are estimated using a long-term selling price of US$1,500/t CIF CKJ5 of chemical grade concentrate (benchmark 6% Li2O), and a US$/A$ exchange rate of A$1.00:US$0.66. 10. Bulk densities were applied based on material types as outlined in Section 8.1. The SLR QP is of the opinion that, with consideration of the recommendations summarized in Sections 1 and 23 of this TRS, any issues relating to all relevant technical and economic factors likely to influence the prospect of economic extraction can be resolved with further work. 5 Cost, Insurance and Freight paid to Chikugo Port.


 
Albemarle Corporation | Wodgina Lithium Operation S-K 1300 Technical Report Summary February 11, 2026 SLR Project No.: 000.V00720.00RP2 11-4 11.3 Initial Assessment 11.3.1 In Situ Pegmatites 11.3.1.1 Open Pit The reporting COG for open pit mineable resources is based on some assumptions as well as a significant amount of actual performance of the Operation for costs and productivity. The following assumptions have been used to calculate the COG: • Mining costs (drill and blast, load/haul/dump, incr. depth) – US$5.68/t ore • Processing costs (incl. overheads) – US$41.33/t ore • G&A and Selling Costs – US$24.37/t ore • Payable Metal – 98% • Selling Price – US$1,500/t SC6.0 CIF China • Processing recovery – Refer to Table 12-3. • 5% royalty The open pit Mineral Resource is reported at a COG of 0.5% Li2O within the pit designed for Mineral Reserve estimates that is detailed in Sections 12.0 and 13.0. The Mineral Reserves LOM pit design was utilized due to infrastructure and heritage impediments at the Operation; an increase in pit size would be a material cost as it would require the relocation of critical infrastructure. SLR highlights that the Operation is in production, producing a saleable product from within the currently defined Mineral Resources, and has a long-life Mineral Reserve defined, as reported in this Report. As such, it is considered to be well advanced beyond an Initial Assessment as defined by S-K 1300. 11.3.1.2 Underground The underground Mineral Resource is reported at a COG of 0.75% Li2O in areas of >10 m thickness below the open pit Mineral Resources. The COG is based on estimated mining costs of $60/t-ore and all other costs and factors as noted above for the open cut. While no stope optimization was utilized, the Underground Mineral Resource was restricted to areas of the basal pegmatite which displays geological continuity and thickness >10 m. Given the proximity to mining and processing infrastructure and that 0.75% Li2O is considered suitable for an underground Mineral Resource, SLR is of the opinion that the reporting of the Mineral Resources meets the criteria for an Initial Assessment. 11.3.2 Tailings Resource A significant number of drill holes further supported by trenches were used to estimate the TSF Mineral Resource (see Section 11.4.2). A composite sample was analyzed to determine the mineral content of the TSFs. Spodumene is estimated to make up approximately 11% of the sampled mass with quartz (25%), albite (25%), K-feldspar (13%), muscovite and biotite (11%), and a complex group of iron silicates dominated by grunerite (7%) making up much of the remainder of the sample. Assay data indicates that up to 10% of the lithium may be hosted in Albemarle Corporation | Wodgina Lithium Operation S-K 1300 Technical Report Summary February 11, 2026 SLR Project No.: 000.V00720.00RP2 11-5 other minerals, with XRD data indicating that lepidolite, polylithionite, zinnwaldite, lunijianlaite, holmquisite and/or lithium-bearing cordierite may be present. Based on this analysis, it can be interpreted that lithium mineralization is similar to the ore types within the in situ material, albeit at a smaller fraction size. As such, based on the information available, it is expected that lower recoveries will be achieved, which is estimated to be 25% as outlined in Section 12.0. As the deposit is a TSF, deposition of the material is via pipes and pumps in slurry form. While some form of gravitation separation is likely, deposition typically occurs layer over layer until the TSF is full. A statistical review indicates there is minimal grade variability between the top, middle and bottom portions of the TSFs. Furthermore, given the mining method will not likely be able to separate the material into ore and waste, no Li2O cut-off grade is applied to Mineral Resource estimates for the TSFs. SLR notes that during 2022 and 2023, up to 200 kt of tailings material has been processed, with saleable product being produced and sold to market. While variability is known to occur within the TSF, given that production shows a saleable product is able to be produced, SLR is of the opinion that the TSF material is suitable quality to be reported and classified as a Mineral Resource. 11.4 Resource Database All drilling data which is collected directly through field activities or provided by third parties have been validated and uploaded for storage within the acQuire database; however, the historical data was reviewed and uploaded through a validation process. The final dataset used for the Resource model was downloaded from the acQuire database on June 30, 2025. Collar, downhole survey, geology and assay interval data were imported into the Vulcan software platform. The data has been validated and checked in Vulcan, using the following procedures: • Checks for duplicate collars. • Checks for missing samples. • Checks for downhole from-to interval consistency. • Checks for overlapping samples; and • Checks for samples beyond hole depth. There were no validation issues with the dataset. The following stoichiometric element to oxide and oxide to element conversion factors were used: • Li_ppm * 0.00021527 = Li2O_pct • Fe2O3_pct / 1.4297 = Fe_pct • P2O5_pct / 2.2916 = P_pct • SO3_pct / 2.4972 = S_pct • Ta_ppm * 0.00012211 = Ta2O5_pct Albemarle Corporation | Wodgina Lithium Operation S-K 1300 Technical Report Summary February 11, 2026 SLR Project No.: 000.V00720.00RP2 11-6 11.4.1 In Situ Pegmatites The dataset provided to SLR comprised 2,295 RC and DDH drill holes, of which 85% were geologically logged in detail for use in the geological interpretation. In addition, all grade control and mapping were included in the model dataset, with samples from 82,886 blast holes utilized. Importantly these blast hole samples only supported the material that is already mined out and not reported in this Report. 11.4.2 Tailings Resource A total of 360 holes for a total of 6,197 m were utilized in the Mineral Resource estimate, resulting in 1,011 samples in the assays across the three TSFs. SLR notes that in addition to the drill holes, seven (7) trenches with a total of 78 assays were completed; however, these were not included in the Mineral Resource estimate. SLR considers this to be suitable, given the trenches are not representative of the full TSF profile. 11.4.3 Stockpiles No drilling has been undertaken on the stockpiles with volumes and grade based on mining actuals. 11.5 Geological Interpretation 11.5.1 In situ Pegmatites Geological interpretation was carried out using Leapfrog implicit modeling for the upper and intermediate domains. The basal domains were created using numeric modeling with assigned trend and dip based on the overall trend of the upper domains. The pegmatite domains were assigned using lithology logging in combination with SiO2 and MgO analyte grades to pinpoint the pegmatite-waste boundary in each drill hole. To be defined as pegmatite, SiO2 must be >65%. Based on their orientation, position and style, the pegmatites were grouped into Vein (minzones 1000 and 2000), Upper (minzone 3000), Intermediate (minzone 4000), Basal Pegmatites (minzones 5000, 5500), and Feeder (minzone 6000) (Figure 11-2). The pegmatite shapes were snapped to each assigned domain on all drill holes that fully pass through the domain. The pegmatite-waste boundary has been treated as ‘hard’, with lithium, iron and magnesium values changing abruptly across the boundary. Waste rock was divided into sedimentary, mafic and ultramafic rocks based on geological logging and regional mapping. Leapfrog implicit modeling was used to create the lithological domains (Figure 11-1). The pegmatite interpretation was constructed with a minimum intercept of 1 m and a maximum internal waste intercept of 3 m. Where internal waste is continuous both along and across drill lines, internal waste was excluded from the mineralization envelope. Lateral extents were limited to half the nominal drill spacing where the mineralization remains open in that given direction. The numeric domains were limited using a ratio of 3:1 (length : width). The lithological waste rock model was divided into sedimentary, mafic and ultramafic rocks was also created using Leapfrog implicit modeling. Lithology logging and regional mapping was used to define the rock types. Two surfaces have been created: one for the base of complete oxidation (BOCO) which separates oxidized material from transitional material, and a second for the top of fresh rock Albemarle Corporation | Wodgina Lithium Operation S-K 1300 Technical Report Summary February 11, 2026 SLR Project No.: 000.V00720.00RP2 11-7 (TOFR) which separates transitional material from fresh material. There are only minor quantities of oxidized and transitional pegmatite remaining within the mine plan, with the majority of the pegmatite being fresh rock due to the resistance of the pegmatite to weathering. In general, the depth of weathering is shallow for the pegmatites (20 to 30 m) and more pronounced for the volcanic country rock where it can reach depths of up to 50 m. It is noted that the mineralization is highly variable on a local scale, as seen in recent mining activities. This is difficult to incorporate into the estimate with the drill spacing on a resource model scale, which is common for this style of mineralization. Furthermore, mining and processing to date has shown that the state of oxidation has direct implications for the beneficiation process, with oxidized and transitional country rock passing through the plant without issue, however, fresh country rock, specifically the inclusion of iron (Fe), causes issues in the flotation circuit and the recoveries. Specifically, when the density of the fresh waste rock is equal to or greater than the density of the spodumene crystals, the flotation circuit is unable to separate spodumene crystals from waste rock at the same recovery, with both ore and waste reporting to the ore concentrate stockpile. This waste rock inclusion has resulted in the introduction of ‘contact ore’ in the mine planning process to allow for incorporation into the LOM. This is further discussed in the Section 12.0, Section 13.0 and Section 14.0. Figure 11-1: Interpreted Lithology Model


 
Albemarle Corporation | Wodgina Lithium Operation S-K 1300 Technical Report Summary February 11, 2026 SLR Project No.: 000.V00720.00RP2 11-8 Figure 11-2: Geological Interpretation of In situ Pegmatites Albemarle Corporation | Wodgina Lithium Operation S-K 1300 Technical Report Summary February 11, 2026 SLR Project No.: 000.V00720.00RP2 11-9 11.5.2 Tailings Storage Facilities As the deposit is a tailing dump, there is no geological interpretation, rather wireframe surfaces have been constructed to represent the top and base of the tailings material. The source data is a Digital Terrain Model (DTM) of the natural surface at the location of the TSF and the current TSF level (Figure 11-3). Based on the information provided, the basal surface for all the TSF material was not surveyed accurately or currently available; as such, is considered an uncertainty. For example, TSF1 was already in place on the earliest survey plans available. This is reflected in the Mineral Resource classification (in Section 11.8). In addition, as would be expected during the construction of the TSF, several changes were made to the natural surface, such as the formation of bunds, etc. As a result, while the original survey was provided, the base of TSF3 has been re-interpreted following the basal DTM where it appears correct; however, it also takes into account hole depths (holes stopped at the base of tailings) and the likely location of bunds at the edges of the tailings. In addition, a nominal 1 m layer has been excluded from the top surface to account for the variability in the surfaces as a result of probable surficial sheeting and material movements. In addition to the TSF top and basal surfaces, based on the known material movement, a surface fill surface was created for known material on top of the current TSF3. Albemarle Corporation | Wodgina Lithium Operation S-K 1300 Technical Report Summary February 11, 2026 SLR Project No.: 000.V00720.00RP2 11-10 Figure 11-3: Wireframe Surfaces of TSF Top and Base Albemarle Corporation | Wodgina Lithium Operation S-K 1300 Technical Report Summary February 11, 2026 SLR Project No.: 000.V00720.00RP2 11-11 Compositing 11.5.3 In Situ Pegmatites The sets of mineralized wireframes (objects or mineralized domains) were used to code the assay database to allow for the identification of the resource intersections. A review of the assay sample lengths shows that approximately 89% are 1 m in length, 11% between 0-6 m in length. As such, a 1 m composite length was selected. The samples inside the domains were then composited to 1 m lengths, and Vulcan software was used to extract the composites. Separate composite files were generated for each resource object and checked visually for spatial correlation with the wireframed mineralized objects. 11.5.4 Tailings Storage Facilities Compositing the entire drill hole was undertaken for each drill hole within the TSF samples due to the style of deposition. That is, the overall thickness of the TSF Mineral Resource and the likely non-selective mining method would result in the entire vertical thickness being mined in one bench. To verify that this method does not have a material impact on the Mineral Resource estimate, the Li2O content data has also been reviewed by depth in the TSFs, i.e., top, middle, and base layers of the TSF (based on sample location in the drill holes). As can be seen in Figure 11-4, there is no significant difference in the grade of material from the top, middle, and base layers of the tailings. While some variability would be expected, SLR does not consider this a material issue given the likely mining method and classification applied. Figure 11-4: Log Probability by Depth of Percentage Lithia in Tailings 11.6 Resource Assays While other elements have been estimated, the below focused on the primary Li2O content only.


 
Albemarle Corporation | Wodgina Lithium Operation S-K 1300 Technical Report Summary February 11, 2026 SLR Project No.: 000.V00720.00RP2 11-12 11.6.1 In Situ Pegmatites 11.6.1.1 Unfolding An “unfolding” process has been applied to both the composite data and the rock model blocks prior to geostatistical analysis, variography and interpolation. This process is used to handle situations where there are complex and varying dip and or plunge orientations in the mineralization body. Some pegmatites at Wodgina change in dip by up to 60° or 70°. While the process is termed “unfolding”, it is effectively a way to introduce continuously variable search ellipse orientations. 11.6.1.2 Statistical Analysis The composites were imported into statistical software to analyze the variability of the assays within the mineralized envelopes per domain. Summary statistics for the combined basal, upper and vein domains are provided in Table 11-2. Overall, population peaks are roughly symmetrical unimodal for the larger data sets (mean approximates the median) and satisfy the assumption of normality required for the modeling purposes. The combined Basal domain contains spatially localized zones of pegmatite depleted in Li2O content, resulting in bimodal populations. This could also be attributed to internal country rock xenoliths which is reflected in increased in the Al2O3 and MgO content. Given the spatially localized nature of the Li2O depletion, no special treatment has been applied to the estimation of these domains other than the use of the search parameters via an octant search. The estimation process has faithfully honored the Li2O sample composite grades with respect to the block model grades, transitioning from high to low Li2O grades as one transects from the mineralized zone into the un-mineralized zone. Mineralized ‘boundary’ composite samples composed of pegmatite and waste rock with elevated MgO or Fe values exceeding 1.5% or 2% have been placed into the Mafic or Ultramafic domains Table 11-2: Summary Statistics per Domain Minzone Raw Data (Li2O %) Composite Data (Li2O %) Variable Count Min Max Mean Count Min Max Mean Mean % 6000 Al2O3 11,545 0.2 23.8 15.4 11,452 0.2 23.8 15.6 100.7 Fe 11,544 0.2 34.4 1.7 11,452 0.2 34.4 1.4 87.1 Li2O 10,679 0.0 8.0 1.0 10,473 0.0 8.0 1.0 101.1 SiO2 11,545 0.0 98.7 72.2 11,452 0.0 98.7 72.4 100.3 Ta2O5 11,212 0.0 0.2 0.0 11,207 0.0 0.2 0.0 99.7 5500 Al2O3 3,689 0.7 24.6 15.0 3,747 0.7 24.6 15.0 99.9 Fe 3,689 0.4 31.7 1.4 3,747 0.4 31.7 1.5 101.6 Li2O 3,625 0.0 8.3 0.5 3,687 0.0 8.3 0.5 99.7 SiO2 3,689 0.0 97.4 71.6 3,747 0.0 97.4 71.6 100.0 Ta2O5 3,680 0.0 0.3 0.0 3,739 0.0 0.3 0.0 98.7 5000 Al2O3 12,327 0.0 34.4 15.4 12,299 0.0 34.4 15.4 100.1 Albemarle Corporation | Wodgina Lithium Operation S-K 1300 Technical Report Summary February 11, 2026 SLR Project No.: 000.V00720.00RP2 11-13 Minzone Raw Data (Li2O %) Composite Data (Li2O %) Variable Count Min Max Mean Count Min Max Mean Mean % Fe 12,327 0.1 35.0 1.5 12,299 0.2 35.0 1.5 97.4 Li2O 11,707 0.0 9.9 1.2 11,603 0.0 9.9 1.2 100.1 SiO2 12,327 0.0 97.7 65.3 12,299 0.0 97.7 65.4 100.2 Ta2O5 11,722 0.0 0.3 0.0 11,705 0.0 0.6 0.0 100.1 4000 Al2O3 4,527 0.1 24.9 14.6 4,487 0.1 24.9 14.5 99.3 Fe 4,527 0.1 35.5 3.1 4,487 0.1 35.5 3.1 102.2 Li2O 3,385 0 7.4 1.0 3,253 0.0 8.5 1.0 99.7 SiO2 4,527 0 95.5 66.8 4,487 0.0 95.5 66.8 99.9 Ta2O5 4,415 0 1.3 0.0 4,399 0.0 1.3 0.0 97.8 3000 Al2O3 30,653 0.1 30.0 15.5 30,210 0.1 30.0 15.5 100.5 Fe 30,649 0.0 54.2 2.5 30,206 0.0 54.2 2.3 92.6 Li2O 4,812 0.0 6.2 1.3 4,619 0.0 6.2 1.3 100.0 SiO2 30,653 0.3 97.5 68.5 30,210 0.3 97.5 68.8 100.5 Ta2O5 30,533 0.0 2.1 0.0 30,081 0.0 2.1 0.0 98.8 2000 Al2O3 10,495 0.2 68.6 15.1 10,521 0.2 68.6 15.1 99.7 Fe 10,494 0.1 45.6 2.6 10,520 0.1 45.6 2.7 103.6 Li2O 3,774 0.0 7.7 0.9 3,776 0.0 7.7 0.9 98.9 SiO2 10,495 0.0 93.2 68.7 10,521 0.0 93.2 68.7 99.9 Ta2O5 10,366 0.0 4.8 0.0 10,378 0.0 4.8 0.0 100.7 1000 Al2O3 633 0.8 21.2 14.5 642 0.8 21.2 14.6 100.8 Fe 633 0.3 36.9 2.3 642 0.2 36.9 2.2 92.7 Li2O 106 0.0 3.4 0.4 101 0.0 3.4 0.4 100.0 SiO2 633 27.9 84.8 69.7 642 27.9 84.8 69.9 100.3 Ta2O5 633 0.0 0.1 0.0 642 0.0 0.1 0.0 98.3 11.6.1.3 Treatment of High-Grade Assays The statistical analysis of the composited samples inside the domains were used to determine the high-grade cuts that were applied to the grades in the mineralized objects before they were used for grade interpolation. This is done to eliminate any high-grade outliers in the assay populations, which would result in conditional bias within the Mineral Resource estimate. Based on analysis of the probability plots and statistical analysis, no high-grade cuts were applied. 11.6.1.4 Geospatial Analysis For each domain, a geospatial analysis was undertaken to determine the spatial variability of each element. Three orthogonal directions (axes) of the ellipsoid were set using variogram fans Albemarle Corporation | Wodgina Lithium Operation S-K 1300 Technical Report Summary February 11, 2026 SLR Project No.: 000.V00720.00RP2 11-14 of composite data and an understanding of the geological orientation of each domain. SLR notes that the variogram models generated were based on the June 2024 data in unfolded space, using Isatis geostatistical software. A mathematical model was interpreted for each domain to best-fit the shape of the calculated variogram in each of the orthogonal directions. Three components were defined for each mathematic model: the nugget effect, the sill, and the range. For simplicity, the modeled variogram components per analyte within the parameter files tabulated in Table 11-3 have been normalized to a value of 1. Evaluation was carried out on traditional variograms rather than using normal score variograms. The dataset skews per domain for the Li2O analyte were considered acceptable with variograms providing reasonably clear views of the range of continuity. The variograms show reasonable structure, with a relatively low nugget effect (ranging between 10 and 20%), and have been used to define parameters for an Ordinary Kriging Estimation Methodology. Of note is the relatively short range for the first structure and significantly longer range for structure 2. This is consistent with the variability observed in the local geology, particularly in respect to the fractionation. SLR notes that the geospatial analysis was undertaken only on Li2O; however, similar trends are observed within the other elements. SLR does not consider this to be material to the estimate; within the pegmatite the detrital elements are minimal with the exception of silica. The key detrital elements of iron and magnesium result from the inclusion of the host rock in the feed to the plants and has significant impacts on the product recoveries and quality. The increased grades of these elements within the pegmatite bodies are the result of the primary use of RC drilling. SLR notes the contact zone results in complexities during mining, as such is scheduled differently and stockpiled. As noted in Section 6.0, this contact zone is separated from the clean ore. Albemarle Corporation | Wodgina Lithium Operation S-K 1300 Technical Report Summary February 11, 2026 SLR Project No.: 000.V00720.00RP2 11-15 Figure 11-5: Example Variogram of the Basal Pegmatite for Li2O


 
Albemarle Corporation | Wodgina Lithium Operation S-K 1300 Technical Report Summary February 11, 2026 SLR Project No.: 000.V00720.00RP2 11-16 Table 11-3: Variogram Interpretation Structures Direction 1 Direction 2 Direction 3 MINZONE Nugget Sill 18 Sill 2 Azi/Dip Range 1 (m) Range 2 (m) Azi/Dip Range 1 (m) Range 2 (m) Azi/Dip Range 1 (m) Range 2 (m) Feeder 0.1 0.7 0.2 300/ 45 65 160 300/ 45 85 72 300/ 45 80 20 Basal Lenses 0.2 0.5 0.3 130 / 25 60 120 130 / 25 25 50 130/ 25 12 45 Intermediate 0.2 0.2 0.35 130 / 15 25 70 130/ 15 40 80 130/ 15 5 40 Lenses Upper Lenses 0.1 0.55 0.35 40 / 15 70 250 40/ 15 35 105 40/ 15 5 35 Vein Lenses 0.1 0.55 0.35 50 / 90 80 200 50 / 90 20 70 50 / 90 30 50 Albemarle Corporation | Wodgina Lithium Operation S-K 1300 Technical Report Summary February 11, 2026 SLR Project No.: 000.V00720.00RP2 11-17 11.6.1.5 Kriging Neighborhood Analysis Kriging neighborhood analysis (KNA) is conducted to minimize the conditional bias that occurs during grade estimation as a function of estimating block grades from point data. Conditional bias typically presents as overestimation of low-grade blocks and underestimation of high-grade blocks due to the use of non-optimal estimation parameters and can be minimized by optimizing estimation parameters. The following estimation parameters have been analyzed using KNA: • Minimum/maximum number of samples; and • Discretization configuration. To analyze the minimum and maximum number of samples, the following parameters were fixed: • Samples from a minimum of two (2) holes, a maximum of four (4) samples per drill hole, kriging parameters and search ellipse were setup based on the total sill and a discretization configuration of 3 x 3 x 2. To analyze discretization configuration, the following parameters were fixed: • Samples from a minimum of two (2) holes, a maximum of four (4) samples per drill hole, kriging parameters and search ellipse set up based on the total sill range and directions listed in Table 11-3, a minimum of 8 samples for both domains, a maximum of 24 samples . The degree of conditional bias present in a model can be quantified by computing the theoretical regression slope and kriging efficiency of estimation at multiple test locations within the region of estimation. These locations are selected to represent portions of the deposit with excellent, moderate and poor drill (sample) coverage. KNA was conducted on the Wodgina pegmatite to inform the Mineral Resource estimation. Analysis was carried out on a single unfolded block. The KNA has looked at variations in discretization and sample numbers used in estimation and assessed the optimal values on the basis of minimizing Kriging Variance, maximizing Kriging Efficiency, and achieving a Slope of Regression close to 1. The outcome of KNA indicated the parameters listed in Table 11-4 should be applied to the estimation grade interpolation pegmatites. Table 11-4: Selected Optimal Parameters Parameter Pass 1 Pass 2 Pass 3 Maximum Samples 40 40 40 Minimum Samples 12 10 8 Maximum Samples Per Octant 5 5 No Octants Maximum Samples Per Hole 5 5 5 Block Discretization Configuration 3X by 3Y by 2Z Albemarle Corporation | Wodgina Lithium Operation S-K 1300 Technical Report Summary February 11, 2026 SLR Project No.: 000.V00720.00RP2 11-18 11.6.1.6 Bulk Density In May 2006, a study of bulk density was undertaken using the industry-standard Archimedes method. Specific gravity determinations were obtained from over 200 samples from diamond core drilling across the deposit to derive bulk density values for use in Mineral Resource estimations. These results were compared to core bulk density measurements and values used historically. Subsequent to this study, the Company obtained downhole geophysical data to revise the bulk density applied to fresh pegmatites and use separate values for the Mt Cassiterite Pit and North-east Cassiterite Pit respectively. The densities assigned to the resource model are presented in Table 11-5. Table 11-5: Density Values for Material Types at Wodgina Material Density (g/m3) Fill 1.80 Oxide Waste 2.32 Fresh Waste 2.96 Oxide Pegmatite 2.32 Transition/Fresh Pegmatite (Cassiterite Pit) 2.73 Transition/Fresh Pegmatite (North-east Pit 2.80 Source: Widenbar 2018. Given the style of mineralization and the historical mining and reconciliation, SLR considers these densities to be reasonable for the classification applied. 11.6.2 Tailings Storage Facilities 11.6.2.1 Statistical Analysis A histogram of Li2O composites is presented in Figure 11-6. Two populations can be interpreted as a high-grade population with an average of around 1% and a low-grade population with an average of 0.3% to 0.4%. Investigation of the log probability plots, grouped by TSF, shows that the high- and low-grade populations relate to the different TSFs. The lower-grade material is present in TSF1 and TSF2, whereas the higher-grade material is present in TSF3 (Figure 11-7). Albemarle Corporation | Wodgina Lithium Operation S-K 1300 Technical Report Summary February 11, 2026 SLR Project No.: 000.V00720.00RP2 11-19 Figure 11-6: TSF Composite Histogram Source: Widenbar 2016. Figure 11-7: TSF Log Probability Plot Source: Widenbar 2016.


 
Albemarle Corporation | Wodgina Lithium Operation S-K 1300 Technical Report Summary February 11, 2026 SLR Project No.: 000.V00720.00RP2 11-20 11.6.2.2 Treatment of High-Grade Assays No grade capping is used as there are no significant outliers in the distributions. 11.6.2.3 Geospatial Analysis Although Li2O assays within the tailings cannot be strictly considered as “regionalized variables” in a geostatistical sense, a clear northwest-southeast directional trend has been produced in variography. 11.6.2.4 Bulk Density A total of 29 holes have been geophysically logged by Surtron for density. The holes represent a reasonably even spatial distribution across TSF1, TSF2 and TSF3. Density data has been collected at 10 cm intervals down the hole. These values have been statistically reviewed to determine the average density for each TSF (Table 11-6). Moisture content has been reviewed and is stated to be approximately 5% to 6%; however, the samples have been stored and transported in calico then plastic bags and have likely lost some moisture, and consequently, a value of 8% has been applied to the raw density to arrive at a dry density. Table 11-6: Density Estimates for TSFs Mean Surtron Density (m3/t) Moisture (%) Estimated Dry Density (m3/t) TSF1 TSF2 TSF3 Average of All 1.88 1.90 1.80 1.88 8 1.73 Source: Widenbar 2018. For Mineral Resource estimation purposes, density has been rounded to 1.70 m3/t, which is considered reasonable by SLR. 11.7 Block Model 11.7.1 In Situ Pegmatites A Vulcan block model was created to encompass the full extent of the Wodgina resource area as currently defined by drilling. Note that for modeling purposes, the model framework is extended to the west and north to allow for pit slope requirements (though no pegmatite is included in this area). The block dimensions used in the model were 20 m NS by 10 m EW by 5.0 m vertically, with sub-cells of 1 m by 1 m by 0.5 m used to follow the wireframes and topographic surfaces. The model framework is rotated 41° to align with the geological strike; this aligns the 10 m northing block with the along-strike direction. The block model origin, extent, and attributes are shown in Table 11-7. Albemarle Corporation | Wodgina Lithium Operation S-K 1300 Technical Report Summary February 11, 2026 SLR Project No.: 000.V00720.00RP2 11-21 Table 11-7: Block Model Parameters Min Block Size Max. Centre East: 0 10 2,685 North: 0 20 2,700 Elevation 0 5 650 11.7.1.1 Rock Model An “empty” rock model has been constructed within the pegmatite wireframes and flagged in the block model. A relatively small volume of remnant mineralized pegmatite can be classified as transitional or oxidized (3% of total tonnes), with the vast majority (97%) of remaining mineralized pegmatite flagged as fresh. All blocks above the final mined topographical surface have been excluded from the model. Fill material lies in and around the pit on top of the final mined surface topography, and to the northeast, there is dump material overlying the original topography. The fill has been defined by site surveys, and this material, flagged in the block model as attribute fill = 1, has no grade attributes. 11.7.1.2 Grade Interpolation The Ordinary Kriging (OK) algorithm was selected for grade interpolation within the wireframes. The OK algorithm was selected to minimize smoothing within the estimate and to give a more reliable weighting of clustered samples. Li2O Al2O3, CaO, Cs, Fe, K2O, MgO, MnO, Na2O, Nb2O5, P, Rb, S, SiO2, Sn, SO3, Ta2O5, TiO2, WO3 and LOI were all estimated. An orientated anisotropic ‘ellipsoid’ search was used to select data for the interpolation within the unfolded space. The ellipsoid was oriented to align with the interpreted variogram. The search orientation for the pegmatite used the “unfolded” coordinates. The interpolation was carried out in three search passes to ensure effective searches in the areas of different sample data spacing. The search parameters are presented in Table 11-8. Table 11-8: Search Parameters Lenses Pass Variogram Bearing Bearing x y z Octant Max Octant Min Sample Max Sample All 1 40 40 80 80 40 Yes 4 8 24 2 40 40 120 120 60 no - 6 24 3 40 40 300 300 150 no - 4 24 Local varying anisotropy (LVA) is an “unfolding” process that is applied to both the domain coded composite data and the rock model blocks prior to geostatistical analysis, variography and interpolation. Hanging wall and footwall surfaces were created for the basal domains, upper domains and vein domains to guide the LVA in the pegmatite lenses. This “unfolding” allows samples to be searched for, following irregular paths such as folded or faulted structures. In other words, the shortest path may no longer be a straight line or even follow a continuous route. LVA can improve grade estimations in datasets that are directionally dependent, or anisotropic. Albemarle Corporation | Wodgina Lithium Operation S-K 1300 Technical Report Summary February 11, 2026 SLR Project No.: 000.V00720.00RP2 11-22 11.7.1.3 Fault Buffer Zones Based on recent mining activities, it was noted that several faults impact the continuity of the pegmatites. In-pit mapping and drill hole data was used to interpret several fault zones. As shown in Figure 11-8, two trends were interpreted: a north by northeast and an east by northeast. These faults were expanded to a nominal 5 m width and used to deplete the mineralized pegmatite in accordance with grade control observations. Areas within these zones have been reset to 0.5% Li2O, and as such, are not reported as Mineral Reserves. Figure 11-8: Plan View of Interpreted Fault Zones 11.7.1.4 Block Model Validation A multi-step process was used to validate the estimation for the Wodgina pegmatites, which includes: • Drill Hole Plan and Section Review o A visual review of section and plans of model grades versus assay data identifies there is a good spatial correlation across the deposit. Albemarle Corporation | Wodgina Lithium Operation S-K 1300 Technical Report Summary February 11, 2026 SLR Project No.: 000.V00720.00RP2 11-23 Figure 11-9: Cross Section Comparison of the Drill Holes Vs the Block Model. • Composite versus Model Statistics o The average Li2O grade in the database and in the model are identical at 1.04%. o De-clustered data was compared with the block model on an individual block-by- block basis. Correlation and distribution plots show the expected decrease in variance from data to block model; however, they have an almost identical mean. This is as expected with the smoothing of the OK algorithm. • Swath Plots o Swath plots have been prepared by easting, northing and level. All produce reasonable results, as expected. An example of the swath plots, as shown for the basal pegmatites is shown in Figure 11-10. As can be seen, a degree of smoothing is observed which is considered suitable for the accuracy of the model and the classification applied.


 
Albemarle Corporation | Wodgina Lithium Operation S-K 1300 Technical Report Summary February 11, 2026 SLR Project No.: 000.V00720.00RP2 11-24 Figure 11-10: Swath Plots for Basal Pegmatites 11.7.1.5 Reconciliation The Company reports that the reconciliation at Wodgina over the past 12 months has been challenging as it mines through the oxide and transitional zones in the upper benches of Stage 2 and Stage 3. There are measurement and practice challenges identified through a recent reconciliation project that is underway. These challenges exist across the mine value chain, so no single factor contributes to the variances observed. SLR was provided with no breakdowns on the monthly reconciliation, as shown in Figure 11-11, rather a global reconciliation, which shows a significant variation from -20 to +20% decrease in the actuals to the mining model for total ore tonnage. Grade appears to behave significantly better and within industry standards. Albemarle Corporation | Wodgina Lithium Operation S-K 1300 Technical Report Summary February 11, 2026 SLR Project No.: 000.V00720.00RP2 11-25 Figure 11-11: 2024 Monthly Reconciliation SLR acknowledges reconciliation protocols are in early stages of development and the complexities of routing material types, such as oxide and transitional ores, introduce challenges with materials handling; however, limited breakdown was provided to SLR demonstrating how the monthly global numbers were calculated. Reconciliation is crucial to continual improvement of mining and estimation processes. SLR is aware that this is a key focus of the geology and engineering teams in the near future given the known variability on the contacts of the orebody and variations between the reserves and grade control models. Albemarle Corporation | Wodgina Lithium Operation S-K 1300 Technical Report Summary February 11, 2026 SLR Project No.: 000.V00720.00RP2 11-26 11.7.2 Tailing storage facilities A Micromine block model was created to encompass the full extent of the TSF1, TSF2 and TSF3. The block dimensions used in the model were 25 NS by 25 m EW by 2.50 m vertically, with sub-cells of 2.5 m by 2.5 m by 0.5 m used to follow surfaces created. 11.7.2.1 Rock Model A rock model has been generated using the various surfaces to represent the tailings material, interpreted underlying rock, and other fill (bund) and dump material (see example in Figure 11-12). Figure 11-12: Section through the TSF Rock Model at 7,656,500 mN Source: Widenbar 2016. 11.7.2.2 Grade Interpolation Block model grade estimates have been generated using Inverse Distance Squared interpolation. Search and sample number parameters have been set up so that the interpolation is almost polygonal, with minor influence from neighboring samples. The interpolation was carried out in two search passes to ensure effective searches in the areas of different sample data spacing. The first pass search had a search radius of 60 m and the second pass had a search radius of 120 m. The assay data has been averaged by hole to produce a single point at the center of each drill hole. 11.7.2.3 Block Model Validation A multi-step process was used to validate the estimation for the TSFs. All validation methods have produced acceptable results. • Drill Hole Plan and Section Review Albemarle Corporation | Wodgina Lithium Operation S-K 1300 Technical Report Summary February 11, 2026 SLR Project No.: 000.V00720.00RP2 11-27 o A visual review of sections and plans of model grades versus assay data identifies there is good agreement between the raw data and model grades. • Data versus Model Statistics o The average Li2O grade in the database and in the model are almost identical at an overall average of 0.97% in the data and 0.96% in the model. Minor variations are observed when the data is reviewed for each TSF: • TSF1: 0.46% in the data versus 0.45% in the model • TSF2: 0.38% in the data versus 0.36% in the model • TSF3: 1.02% in the data versus 1.02% in the model • Interpolation using alternative data and parameters o Several alternative interpolation regimes have been tested and compared to the final model grades. The nearest neighbor estimate finds the nearest average hole grade and assigns that to blocks. This results in an average grade of 0.958% compared with 0.960% in the original estimate using Inverse Distances Squared. The individual sample estimate uses the raw assay data with typically three or four individual samples per hole. This results in an average grade of 0.961% compared with 0.960% in the original estimate using Inverse Distance Squared. 11.8 Classification Mineral Resources were classified in accordance with S-K 1300. The Mineral Resource was classified as Indicated Mineral Resources and Inferred Mineral Resources based on a range of criteria, including geological continuity, data quality, drill hole spacing, modeling technique, and estimation-derived properties including search strategy, number of informing data points, and distance of data points from blocks. Below is a summary for each Resource area reported. 11.8.1 In Situ Pegmatites The classification process is a two-phase process, with the initial classification based on geostatistical and technical criteria. The second phase of classification is a review of the geostatistical and technical classification to arrive at the final classified Mineral Resource based on an additional consideration for Initial Assessment and Reasonable Prospects for Economic Extraction (RPEE). The second phase of classification review also includes consideration for the regional context of geological controls and complexity, deposit morphology and the economic modifying factors. Please note that the consideration of the economic modifying factors is only to support the conclusion that the Initial Assessment is reasonable, and do not themselves constitute an economic assessment. A range of criteria has been considered over two passes of review in determining the Resource classification. The first pass of classification was more numerically driven and included considerations for geological continuity, data quality, drill hole spacing, modeling technique, and estimation properties including search strategy, number of informing data points and distance of data points from blocks.


 
Albemarle Corporation | Wodgina Lithium Operation S-K 1300 Technical Report Summary February 11, 2026 SLR Project No.: 000.V00720.00RP2 11-28 The second and final classification pass additionally included considerations for the familiarity of the team involved in the interpretation of geological and mineralization envelopes, and structural controls on mineralization, which was developed over several iterations of previous external and internal models. The conversion history from previous models of Inferred Mineral Resources to Indicated Mineral Resources also formed part of the final classification decision. Drilling from the ongoing resource development program which was not used in the estimation of grade as the holes were logged but data had not yet been returned from the assay laboratory, were also considered in the final classification decisions. These drill holes were used to guide the interpretation, and to support definition of limits of some extrapolated portions of the geological and mineralization envelope. These drill holes also informed the final classification decisions. • Indicated Mineral Resource: First pass envelope was based on a 50 mE x 50 mN grid or better and supported by acceptable down hole survey. The first pass Indicated Mineral Resource envelope beyond the limits of the drilling was nominally restricted to an extrapolation distance of 20-30m from the nearest informing composite data point. The final envelope was smoothed for practical considerations for mineability. • Inferred Mineral Resource: Nominally limited to a down-dip extrapolation distance of less than 80 m from the nearest informing drill hole. Mineralization continuity was assumed based on geological continuity, and data that could only be spatially located with limited confidence due to lack of down the hole survey control. The interpreted wireframe envelope used to classify blocks as Inferred Mineral Resources was also smoothed for practical considerations for mining. A plan view of the resource classification scheme for the June 30, 2025 Mineral Resource estimate is shown in Figure 11-13. 11.8.2 Tailings Storage Facilities TSF3 has been predominantly classified as an Indicated Mineral Resource, with minor areas with wider spaced drilling classified as Inferred Mineral Resources. TSF1 and TSF2 have been classified in the Inferred Mineral Resource category due to poor knowledge of the basal topography and more erratic drill hole spacing. Albemarle Corporation | Wodgina Lithium Operation S-K 1300 Technical Report Summary February 11, 2026 SLR Project No.: 000.V00720.00RP2 11-29 Figure 11-13: Classification of the Mineral Resources Albemarle Corporation | Wodgina Lithium Operation S-K 1300 Technical Report Summary February 11, 2026 SLR Project No.: 000.V00720.00RP2 11-30 11.9 Comparison to Previous Mineral Resources Estimates he most recently published JORC Mineral Resource Statement for Wodgina was to the Australian Securities Exchange (ASX) on September 22, 2023, and was in accordance with the JORC Code (2012) by Mineral Resources Limited (MRL) as at June 30, 2023. Albemarle published a Statement of Mineral Resources dated December 31, 2024, in accordance with S-K 1300 on the New York Stock Exchange (NYSE). A summary of the total Mineral Resources published in these statements in comparison to this Report is presented in Table 11-9. Note that the table below is presented on a 100% equity basis and the Mineral Resources are reported at a COG of 0.5% Li2O for ease of comparison. Table 11-9: Comparison with Previous Mineral Resources Estimates Effective Date# Entity QP Measured Indicated Inferred Total Mt % Li2O Mt % Li2O Mt % Li2O Mt % Li2O June 30, 2023 MRL MRL n/a n/a 182.2 1.1 35.4 1.2 217.4 1.2 June 30, 2024* Albemarle RPM* n/a n/a 180.0 1.1 29.0 1.2 209.0 1.2 June 30, 2025 Albemarle SLR n/a n/a 152.4 1.3 27.9 1.2 180.3 1.3 Note: Values have been weight-averaged based on reported tonnages. # Effective date refers to the date of the Statement (depletion) not the public release date *RPM was acquired by SLR on April 2, 2025. The Mineral Resources are inclusive of Mineral Reserves and are presented as such to allow a direct comparison. While the TRS reports Mineral Resources exclusive of Mineral Reserves, it is essential to note that the Mineral Reserves, based on the Mineral Resource estimate, incorporate various modifying factors that result in adjustments to the tonnage and grade in accordance with mining practices and forecast production, including ore loss and dilution factors. As such, simply adding the Mineral Resources (exclusive of reserves) and the Mineral Reserves will not reflect the Table 11-9 quantities and grades. There has been no additional drilling or estimation completed during 2025, as such the variation between 2024 and 2025 are the result of differing pit shells used to report the open pit material and depletion due to mining (3.8 million tonnes >0.75%). The use of differing pit shells has decreased the material within the open pit resource, and with the application of the higher cut of grade for underground results in a decrease of overall resources. The difference between the Mineral Resources reported by MRL in September 2023, and the Albermarle TRS, is not considered material on a global scale. There are numerous changes on a local scale which are the result of the following critical aspects: • Mining and reconciliation have resulted in a further understanding of continuity and, in some cases, the lack of it. Of note was the introduction of fault zone buffers within the estimate with pit observations; note these faults impact the mineralization on a local scale, which cannot be interpreted using drilling. The declassification of these zones is considered suitable by SLR and is incorporated into the reported Mineral Resources via the decrease in grade to 0.5 % Li2O, which results in the material being reported in the Mineral Resources but excluded from the Mineral Reserves. Albemarle Corporation | Wodgina Lithium Operation S-K 1300 Technical Report Summary February 11, 2026 SLR Project No.: 000.V00720.00RP2 11-31 • Depletion of 5.8 million tonnes of material >0.75%. • The use of differing pit shells has decreased the material within the open pit resource, and with the application of the higher cut of grade for underground results in a decrease of overall resources. • Of note is minimal variation in the global tonnages; upon review, it was noted that material changes in the location of the mineralization occurred, which impacted the changes in the Mineral Reserves. 11.10 Exploration Potential The majority of drilling to date has focused on the definition of the pegmatites within the open pit mining area; however, recent drilling has highlighted the down-dip continuity of the mineralization, which provides good exploration upside. Of note, as shown in Figure 11-14, the drilling has intersected significant thicknesses, which are potentially amenable to underground mining methods. As noted previously, on a local scale, the pegmatite fractionation changes and is interpreted to decrease with depth within the Basal Pegmatite. This impacts the pegmatite volume, which increases with depth and type of mineral assemblage. This decrease in fractionation is highlighted by a change in mineral assemblages, which is reflected in elemental composition. The Upper and Vein Zones have elevated Sn, Ta and Cs as compared to the Basal zone, which displays a much lower degree of mineral variability. This is yet to be confirmed within mining operations; however, this interpretation is consistent with the style of mineralization and is likely to continue at depth. This interpretation is of importance to the exploration potential and continuity of potentially economic mineralization at depth. In the QP’s experience, fractionation is related to emplacement methods, and this is true of the Wodgina Pegmatite field, with the less fractionated pegmatites (Basal Zone) being thicker and less variable on the contacts. If this trend continues at depth, it is expected that similar or thicker pegmatite bodies may be intersected.


 
Albemarle Corporation | Wodgina Lithium Operation S-K 1300 Technical Report Summary February 11, 2026 SLR Project No.: 000.V00720.00RP2 11-32 Figure 11-14: Depth Extension Beneath LOM Pit It is also highlighted that the source intrusion has not been identified, nor has a ‘feeder’ system. With the interpretation of decreasing fractionation at depth, this suggests that the distance to the source is decreasing with depth. If a feeder zone can be identified, this could result in significant upside for the Operation, as observed at other projects in WA, notably Mt Marion. Albemarle Corporation | Wodgina Lithium Operation S-K 1300 Technical Report Summary February 11, 2026 SLR Project No.: 000.V00720.00RP2 12-1 12.0 Mineral Reserve Estimates 12.1 Summary This section of the Report summarizes the main considerations in relation to the preparation of the Mineral Reserves estimate and provides references to the sections of the study where more detailed discussions of particular aspects are covered. Detailed technical information provided in this section relates specifically to this Mineral Reserves estimate and is based on the Mineral Resource model and estimates as reported in Section 11.0. The Mineral Reserve estimate has been independently reported by SLR as the QP in accordance with S-K 1300. A “Mineral Reserve” is defined in S-K 1300 as “the economically mineable part of a Measured or Indicated Mineral Resource, which includes diluting materials and allowances for losses that may occur when the material is mined or extracted”. Appropriate assessments and studies have been carried out and include consideration of and modification by realistically assumed mining, metallurgical, economic, marketing, legal, environmental, social and governmental factors. These assessments demonstrate that, at the time of reporting, extraction could reasonably be justified. Mineral Reserves are subdivided in order of increasing confidence into Probable Mineral Reserves and Proven Mineral Reserves. Mineral Reserve estimates are not precise calculations, being dependent on a geological model that is based on the interpretation of limited information on the location, shape and continuity of the occurrence of mineralization and on the available sampling results. For a Mineral Reserve to be reported, it must be considered by the QP to meet the following criteria: • Measured and/or Indicated Mineral Resources have been estimated. • The Mineral Reserves are based on studies at a least at a minimum of pre-feasibility study level, demonstrating that at the time of reporting, extraction could reasonably be justified, however highlights that the majority of inputs are above pre-feasibility and based on actual costs or contracts currently in place. • There is technical and economic viability of the Operation after the application of Modifying Factors (e.g., assessment of mining, processing, metallurgical, infrastructure, economic, marketing, legal, environment, social and governmental factors, etc.); and • Classification of the Mineral Reserves takes into account varying Mineral Resource confidence levels and a technical assessment, and whether appropriate account has been taken for all relevant factors (e.g., tonnage/grade, computations, etc.) to reflect the view of the QP. Having noted the above, SLR highlights that Wodgina is an operating asset, and as such, while further improvements are planned, all the required infrastructure is in place to support the current production requirements. Historical data has been utilized in the Mineral Reserves estimate, including operating costs, processing recoveries and production requirements. As such, the basis of the Mineral Reserves is considered to be of a pre-feasibility study level of accuracy. Albemarle Corporation | Wodgina Lithium Operation S-K 1300 Technical Report Summary February 11, 2026 SLR Project No.: 000.V00720.00RP2 12-2 12.2 Statement of Mineral Reserves Mineral Resources are reported exclusive of Mineral Reserves (that is, Mineral Reserves are additional to Mineral Resources). Mineral Reserves are subdivided into Proven Mineral Reserves and Probable Mineral Reserves categories to reflect the confidence in the underlying Mineral Resource data and modifying factors applied during mine planning. A Proven Mineral Reserve can only be derived from a Measured Mineral Resource, while a Probable Mineral Reserve is typically derived from an Indicated Mineral Resource as well as Measured Resources, dependent on the QP’s confidence in the underlying Modifying Factors. Only Probable Mineral Reserves can be declared for Wodgina, as no Measured Mineral Resources have been reported. The Mineral Reserves have been estimated as at June 30, 2025, as summarized in Table 12-1. The Mineral Reserves are estimated from the Mineral Resources block model and are based on MRL’s updated life of mine (LOM) plan, associated modifying factors, Mineral Resource classifications, and supporting financial model, and are reported at a 0.75% Li₂O cut-off grade. Albemarle Corporation | Wodgina Lithium Operation S-K 1300 Technical Report Summary February 11, 2026 SLR Project No.: 000.V00720.00RP2 12-3 Table 12-1: Statement of Mineral Reserves as at June 30, 2025 Type Classification Quantity (100%) (Mt) Attributable Quantity (50%) (Mt) Li2O Grade (%) Metallurgical Recovery (%) Open Pit Probable 89.2 44.6 1.4 67.4 Stockpiles Probable 0.9 0.5 0.8 67.4 TSF Probable 14.8 7.4 1.0 35.0 Total Probable 104.8 52.4 1.3 62.8 Notes: 1. The Mineral Reserves are additional to the reported Mineral Resources. 2. The Mineral Reserves have been estimated by SLR as the QP. 3. Mineral Reserves are reported in accordance with S-K 1300. 4. The Mineral Reserves have been reported at a 50% equity basis. 5. Mineral Reserves are reported on a dry basis and in metric tonnes. 6. The totals contained in the above table have been rounded with regard to materiality. Rounding may result in minor computational discrepancies. 7. Mineral Reserves are reported considering a nominal set of assumptions for reporting purposes: a. Mineral Reserves are based on a selling price of US$1,300/t CIF CKJ6 of chemical grade concentrate (benchmark 6% Li2O). b. Mineral Reserves assume variable mining recoveries based on grade, oxidation, thickness, and search distance, sourced from MRL as presented in Table 12-3. The total mining recoveries are 91.7% for the open pit and 100% for the TSF. c. Mineral Resources were converted to Mineral Reserves using plant recovery equations, sourced from MRL and based on plant data. The plant processing recovery equations depend on the material type, weathering, and in some circumstances, the Li2O% grade of the plant feed. d. Costs estimated in Australian Dollars were converted to U.S. dollars based on an exchange rate of A$1.00:US$0.66. e. The economic cut-off grade (COG) calculation is based on US$2.1/t-ore incremental ore mining cost, US$33.63/t- ore processing cost, US$11.79/t-ore G&A cost, US$5.73/t-ore sustaining capital cost. and US$53.22/t ore selling cost, inclusive of shipping. Incremental ore mining costs are the costs associated with the run-of-mine (ROM) loader, stockpile rehandling, grade control assays and rock breaker. f. The price, cost and mass yield parameters produce a calculated economic COG of <0.75% Li2O. However, due to the internal constraints of the current operations, an elevated Mineral Reserves COG of 0.75% Li2O has been applied. The same COG was utilized for the TSF. g. Waste tonnage within the Mineral Reserve pit is 356.8 Mt at a strip ratio of 3.4:1 (waste to ore – not including stockpiles) h. Mineral Reserves are reported based on mill feed material. SLR is not aware of any risk factors associated with, or changes to, any aspects of the modifying factors, such as mining, metallurgical, infrastructure, permitting, or other relevant factors that could materially affect the Mineral Reserve estimate. SLR is of the opinion that the Mineral Reserves and the underlying modifying factors are supported by suitable studies aligned to at least a pre-feasibility level of accuracy with the classification applied. The economics of the Operation, as noted in Section 19.0, are most sensitive to price variation; however, SLR is of the opinion that the economics of the Operation are robust and variation would not result in material changes to the Mineral Reserves reported. However, risks of approvals for waste and tailings storage beyond 2030 are prevalent. If 6 Cost, Insurance and Freight paid to Chikugo Port.


 
Albemarle Corporation | Wodgina Lithium Operation S-K 1300 Technical Report Summary February 11, 2026 SLR Project No.: 000.V00720.00RP2 12-4 approvals are not granted in the timeframes required, these will have a material impact on the Mineral Reserves as noted in Section 1.13. 12.3 Approach The Company estimated the mining quantities in its 2025 LOM plan using MineMax planning software. SLR independently replicated these quantities in RPMGlobal Mine Planner software, applying the Company’s geological block model, pit shells, recoveries, and regressions. SLR also independently reviewed the 2025 LOM plan and associated inputs, including: • Identified any physical constraints to mining, for example, tenement boundaries, infrastructure, protected zones (flora, rivers, roads and road easements). • Reviewed approach, assumptions and outcomes from the Company mine planning studies, including the operating and capital cost forecasts. • Reviewed information on historical and current mine performance, including operating costs and processing recoveries. • Reviewed the mining method and LOM designs (ultimate designs and stage designs) and associated study documents; • Reviewed the methodology used to estimate ore processing parameters in the model. • Reviewed and verified LOM operating and capital costs, and • Reviewed the Company’s economic model and adjusted to meet the requirements for SK-1300 reporting. Based on this review, SLR supports the Company’s mining quantities as estimated Mineral Reserves, with the following exceptions: • SLR has excluded the following materials from the estimated Mineral Reserves: o Mineral Resources classified as Inferred, and o Mineralized waste, where mining blocks have Li2O grades of greater than 0.65% and less than 0.75%. 12.4 Planning Status Wodgina follows a structured and systematic mine planning process. The mine plan supporting the Mineral Reserves commences on July 1, 2025, and is reported on a quarterly basis. It is completed to at least a pre-feasibility study level of accuracy, incorporating current operational productivity assumptions and costs. The plan outlines an average annual ex-pit ore production of 5.0 million tonnes per annum (Mtpa), with active mining and processing continuing until 2046. SLR notes that the pits are depleted in 2042, and reclamation of the tailings and processing continues until 2046. The LOM plan, mining schedule and financial analysis underpinning the Mineral Reserves estimate were completed by the Company and have been independently assessed by SLR. This LOM was based on the forecast mining sequence provided by the Company and reviewed by SLR. SLR considers the estimation methodology aligns with industry standards and the production forecast to be achievable in the medium to long term. SLR considers the underlying studies, as well as capital and operating cost estimates, to be of a pre-feasibility level of accuracy. Albemarle Corporation | Wodgina Lithium Operation S-K 1300 Technical Report Summary February 11, 2026 SLR Project No.: 000.V00720.00RP2 12-5 12.5 Modifying Factors The in situ Mineral Resources used to define the Mineral Reserves are based on the block model as described in Section 11.0 of this Report. The block model was depleted to June 30, 2025. 12.5.1 Pit Optimization The Company conducted an economic pit limit analysis as part of its 2025 LOM planning, utilizing the GEOVIA Whittle pit optimizer software based on the 2024 block model (re-reported in 2025 as no new drilling occurred). Geovia Whittle 4X pit limit optimizer software applies the Lerchs-Grossman algorithm to determine economically feasible extraction boundaries based on the parameters specified in Table 12-2. The resulting pit shell, derived from optimization, serves as the basis for the final pit design. This design ultimately sets the boundary for converting Mineral Resources to Mineral Reserves. Indicated Mineral Resources within this boundary may qualify as Mineral Reserves if they satisfy the relevant classification and cut-off grade (COG) criteria. Table 12-2: Pit Limit Optimization Parameters Parameter Value A$/t Value US$/t Ore Material $5.78 $4.05 Waste Material $5.78 $4.05 Processing Cost $41.33 $28.93 Selling Cost $24.37 $17.06 Concentrate (5.5%) Price $1,868.21 $1,300 Note: Assumes an AUD:USD of 0.66. Whittle pit limit optimizer software was used to generate economic limit pit shells based on a Revenue Factor (RF). The results of the Whittle analysis were used to better understand the relative economics of the Operation and to inform the development of mine designs and pit development strategies. The Company selected the final mining pit shell based on surface constraints and a thorough review of the Whittle software results. The Company has selected an RF 0.48 pit shell. SLR replicated the Whittle pit limit optimization process and agrees with the pit selection. The results of SLR’s pit optimization are provided below in Figure 12-1. The selection of the 0.48 pit shell is a reasonable and conservative option. The 0.48 pit shell was selected as the subsequent shell carries an incremental strip ratio of approximately 12:1. The discounted cash flow analysis of the typical schedule (in between the best and worst case scenarios) demonstrates that this significant increase in strip ratio yields minimal additional project value. Albemarle Corporation | Wodgina Lithium Operation S-K 1300 Technical Report Summary February 11, 2026 SLR Project No.: 000.V00720.00RP2 12-6 Figure 12-1: Whittle Pit Shell Sensitivity SLR compared the 0.48 revenue factor pit shell with the ultimate pit limits and found that the design generally lies within, or close to, the Whittle 0.48 shell. Figure 12-2 illustrates the differences between the two, with the Stage 5 pit extending beyond the 0.48 shell along the southeastern wall (shown in blue). In this area, a series of switchback access roads has been incorporated into the Stage 5 design, resulting in a slightly shallower slope than that assumed in the Whittle input parameters. Given that the 0.48 shell represents a low revenue factor, the minimal additional waste generated in the area where the Stage 5 design extends beyond the Whittle shell does not materially affect the overall project economics. SLR highlights that the ultimate pit design does not impact current infrastructure, whereas the 0.48 pit shell does. While the pit optimization validates the ultimate pit design, the decision to minimize the impact on infrastructure was take, and restrict the high strip ratio areas of pit to maximize value and allow optionality for varying mining methods to target deeper areas. SLR understands trade-off studies are underway to optimize extraction of this material. 0 1,000 2,000 3,000 4,000 5,000 6,000 7,000 8,000 9,000 0 100 200 300 400 500 600 700 800 900 1,000 30 % 32 % 34 % 36 % 38 % 40 % 42 % 44 % 46 % 48 % 50 % 52 % 54 % 56 % 58 % 60 % 62 % 64 % 66 % 68 % 70 % 72 % 74 % 76 % 78 % 80 % 82 % 84 % 86 % 88 % 90 % 92 % 94 % 96 % 98 % 10 0% 15 0% D is co un te d C as hh F lo w @ 1 0% (A U D M ) To nn ag e (M d m t) Revenue Factor Ore Waste Cash Flow Best Cash Flow Worst Cash Flow Typical Albemarle Corporation | Wodgina Lithium Operation S-K 1300 Technical Report Summary February 11, 2026 SLR Project No.: 000.V00720.00RP2 12-7 Figure 12-2: Optimized Pit Shell Site Layout


 
Albemarle Corporation | Wodgina Lithium Operation S-K 1300 Technical Report Summary February 11, 2026 SLR Project No.: 000.V00720.00RP2 12-8 12.5.2 Dilution and Recovery For open pit mine planning and Mineral Reserve reporting, the Mineral Resource block model was modified to a regular block size of 10.0 m x 10.0 m x 5.0 m, which aligns with the selective mining unit (SMU) size and accounts for some mining loss and dilution. This regularization method averages the grade according to the volume of sub-blocks or parts of sub-blocks that fit within the SMU dimensions. In addition to the impact of the block model regularization, an ore recovery factor has been applied to the regularized model. This recovery factor is variable and based on grade, oxidation, thickness, and search distance which have been determined though suitable mine reconciliation methods. The classification for the applied recovery factor is given in Table 12-3. The definitions for the grade of material are as following: • High Grade: >=1.2% • Medium Grade: >=1.0% • Low Grade: >=0.75% • Marginal Material (Mineralized waste): >= 0.65% and < 0.75%. SLR notes this material is not considered, nor reported as a Mineral Reserve and is considered waste, however is currently stockpiled. Studies are currently underway to determine methods of recovering this material. As such is included in the construction of the mining model and scheduled in the LOM plan. The threshold for thickness is 10m, therefore “Thick” is greater than 10m and “Thin” is less than 10m. The potential ore tonnage lost due to planned mining recovery has been converted to waste. Albemarle Corporation | Wodgina Lithium Operation S-K 1300 Technical Report Summary February 11, 2026 SLR Project No.: 000.V00720.00RP2 12-9 Table 12-3: Applied Ore Recovery Factor Rock Oxidation Grade Thickness* Search Recovery (%) Peg 0 Peg Oxide Low to High Grade Thick All 70 Peg Oxide Low to High Grade Thin <80 70 Peg Oxide Low to High Grade Thin >80 0 Peg Oxide Marginal Ore Thick All 40 Peg Oxide Marginal Ore Thin <80 40 Peg Oxide Marginal Ore Thin >80 0 Peg Fresh Low to High Grade Thick <40 100 Peg Fresh Low to High Grade Thick <80 90 Peg Fresh Low to High Grade Thick >80 80 Peg Fresh Low to High Grade Thin <40 90 Peg Fresh Low to High Grade Thin <80 80 Peg Fresh Low to High Grade Thin >80 0 Peg Fresh Marginal Ore Thick All 40 Peg Fresh Marginal Ore Thin <80 40 Peg Fresh Marginal Ore Thin >80 0 Total mining recovery for the open pit and TSF averages 91.7% and 100%, respectively. 12.5.3 Pit Design and Geotechnical Parameters The Mineral Reserves pit design parameters, including berm widths, face angles, berm spacing, and haul road gradients and widths are summarized in Table 12-4 and Table 12-5. The pit shell design is based on the Company’s slope design parameters from the geotechnical study completed in 2023. Table 12-4: Pit Design Parameters Weathered Zone Slope Bearing (°) (Strike - Right hand rule) Slope Dip Direction (°) Max. Bench Height (m) Max. Batter Angle (°) Min. Berm Width (m) IRA Angle (°) Weathered Zone 015 to 090 285 to 360 10 45 8.5 28.15 Weathered Zone 091 to (through north) 014 001 to (through north) 284 10 75 6.5 47.45 Non Weathered Zone 015 to 090 285 to 360 20 45 8.5 35.06 Non Weathered Zone 091 to (through north) 014 001 to (through north) 284 20 75 8.5 55.28 Fill All All 20 35 8.5 28.35 Albemarle Corporation | Wodgina Lithium Operation S-K 1300 Technical Report Summary February 11, 2026 SLR Project No.: 000.V00720.00RP2 12-10 Table 12-5: Pit Ramp Parameters Design Parameter Dual Land Road Width 35m Single Lane Road Width* 26m Road Gradient 10% Note * Single lane used in Stage 5 from -130 to -150 to access base of pit 12.5.4 Processing Recovery Mineral Resources were converted to Mineral Reserves using various modifying factors including the processing plant recovery regressions, sourced from the Company as of June 30, 2025. These recovery equations are based on trend analysis of the plant's historical performance and are dependent on the material type, weathering, Li2O% and Rb2O grades of the plant feed. Processing recovery is further discussed in Section 14.0 Table 12-6: LOM Plant Feed Yield Weathering + Minzone Grade Range Grade Range m c Li2O Yield Product Grade All Li2O>=2 0.7250 (m*Feed Li2O)/5.5 5.5 Fresh Li2O>=1% Rb2O <= 0.2% 0.1453 -0.0466 (m*Feed Li2O) + c 0.2%<Rb2O<= 0.4% 0.0964 0.0048 (m*Feed Li2O) + c Rb2O> 0.4% 0.1449 -0.0809 (m*Feed Li2O) + c 0.8<=Li2O<1% Fe < 4% and Rb2O<0.25% 0.5000 (m*Feed Li2O)/5.5 Rest 0.4500 (m*Feed Li2O)/5.5 Oxide 1>=Li2O>=1.8% 0.1091 -0.0229 (m*Feed Li2O)/5.5 0.8<=Li2O<1% 0.4500 (m*Feed Li2O)/5.5 CF30 Li2O <=1.6 and Rb2O <=0.4 0.0981 -0.0009 (m*Feed Li2O) + c Li2O <=1.6 and Rb2O>0.4 0.0757 0.0108 (m*Feed Li2O) + c CF50 Li2O<=1.4 0.0650 0.0074 (m*Feed Li2O) + c Contact-oxide 0.4500 (m*Feed Li2O)/5.5 All 0.65<=Li2O<0.8% 0.3500 (m*Feed Li2O)/5 5.0 0.5<=Li2O<0.65 0.3000 (m*Feed Li2O)/5 TSF Li2O>=0.8 0.1454 -0.0969 (m*Feed Li2O) + c 12.5.5 Cut-off Grade For reporting of the Mineral Reserves, the marginal COG was estimated to be 0.54% Li2O based on recent actual costs, historical data, and performance assumptions. Marginal COG utilizes an incremental ore mining cost to determine whether an already mined block is treated as waste or ore. This should not be confused with a break-even cutoff grade that includes the cost of waste stripping. Albemarle Corporation | Wodgina Lithium Operation S-K 1300 Technical Report Summary February 11, 2026 SLR Project No.: 000.V00720.00RP2 12-11 Although the calculated break even COG was 0.72% Li2O, based on operational constraints and historical performance, a nominal 0.75% Li2O COG was applied for the purpose of reporting Mineral Reserves. The parameters used in the marginal COG are outlined in Table 12-7. The COG calculation’s average process (metallurgical) recovery was set at 35%, to account for the decreases in recovery at lower grades than ROM. The incremental mining cost represents the cost of additional grade control and rehandling associated with ore mining. Table 12-7: Reserves Marginal Cut-off Grade Assumptions Parameter Units Value Incremental Ore Mining Cost US$/dmt ore 2.10 Processing Cost US$/dmt ore 33.63 G&A Cost US$/dmt ore 11.79 Sustaining Capital Cost US$/dmt ore 5.73 Selling Cost^ US$/dmt Conc 53.22 Processing Recovery % 35 Selling Price* US$/t of 6% Li2O Conc. 1,300 Notes: *SLR notes that the Operation produced SC5.5. Pricing in the Economic analysis is prorated from SC6.0. ^Includes shipping cost and assumes an AUD 1:USD 0.66 exchange rate. 12.6 Comparison to Previous Mineral Reserve Estimate In February 2024, Albermarle reported its Maiden Mineral Reserves dated June 30, 2024, in accordance with S-K 1300 on the New York Stock Exchange (NYSE). A summary of the total Mineral Reserves published in the previous statement in comparison to this current Mineral Reserve estimate is presented in Table 12-8. Note that the table below compares the in situ Mineral Reserves only, reported on a 100% basis and including the TSF and Stockpiles. Table 12-8: Comparison with Previous Mineral Reserves Effective Date# COG Li2O % QP Proven Probable Total Mt % Li2O Mt % Li2O Mt % Li2O June 30, 2024 0.75 SLR - - 115.8 1.3 115.8 1.3 June 30, 2025 0.75 SLR - - 104.8 1.3 104.8 1.3 Note: Values have been weight-averaged based on reported tonnages. # Effective date refers to the date of the Statement (depletion) not the public release date As noted in Table 12-8, there is a <10% difference between the reporting of the 2024 and 2025 June 30 Mineral Reserves. These differences can be attributed to the following: • Updates to the pit design including:


 
Albemarle Corporation | Wodgina Lithium Operation S-K 1300 Technical Report Summary February 11, 2026 SLR Project No.: 000.V00720.00RP2 12-12 o Removal of Stage 6 from the ultimate pit design. o Changes to Stage 2 to 4 pit limits. • Updated modifying factors based on actuals and reconciliation reviews, and • Mining depletion – 3.8Mt of ore has been depleted. Albemarle Corporation | Wodgina Lithium Operation S-K 1300 Technical Report Summary February 11, 2026 SLR Project No.: 000.V00720.00RP2 13-1 13.0 Mining Methods Mining activities focus on one primary pit with planned mining undertaken via five cutbacks with increasing depth. SLR highlights that the modifying factors used in estimating the Mineral Reserves are discussed in Section 12.5. SLR notes all quantities discussed within Section 13.0 are reported on a 100% equity basis. Only Indicated Mineral Resources are included in the LOM plan; all Inferred material is considered waste. 13.1 Mining Method The physical characteristics of the deposit are amenable to conventional open pit metalliferous mining methods. The pegmatite group primarily consists of two sets of stacked sheets, each ranging from 5 m to 80 m thick. These sheets generally dip 20 to 25° to the southeast but occasionally "roll over," dipping at 15 to 20° to the southwest in localized areas. The ultimate pit design and staged cut-back designs have been selected based on their offering the lower cost and high recovery methods, which are suited to the physical characteristics of the deposit. The open pit mining method relies on 5 m working benches on 2.5 m flitches, with all waste rock and ore being hauled to ex-pit stockpiles. The Operation utilizes drill and blast, and small-to- medium sized hydraulic excavators in backhoe configuration. Like most similar mines, the mining is staged, with Stages 1 to 3 underway. The excavators are paired with a fleet of suitably matched rear-dump haul trucks, and the separation of ore and waste occurs as directed by the operation’s grade control model. Ore is hauled to the ROM pad, where it is stockpiled in separated stockpiles based on ore characteristics and grade. This mining method and equipment class are suitable for this deposit and are commonly used at other similar operations. MRL, via various subsidiaries, performs and manages all mining operations, including the crushing and processing plant. 13.2 Mine Design The pit design parameters, including berm widths, wall and batter angles, berm spacing and haul road gradients and widths, are detailed in Section 12.5.3 of this Report. 13.3 Geotechnical Considerations The scope and quality of geotechnical studies conducted are sufficient and comparable to those of similar operations and ore bodies. The slope stability assessment utilizes kinematic structural stability analysis for bench angles and the Limit Equilibrium Method (LEM) analysis for inter-ramp scale stability on selected sections. Design standards prioritize minimizing operational risk, strip ratio, and the need for stabilization, following MRL’s Geotechnical Design Acceptance Criteria. Slope angles are determined based on rock mass and structural characteristics, derived from slope performance within the pit and rock core assessments. For slightly weathered and fresh rock, bench-scale kinematics form the basis for slope stability design, with parameters adjusted per results from the pit and diamond drill core data. The kinematic analysis identifies the principal failure mechanisms as planar sliding and wedge formation, especially in weathered areas above the 200 mRL. Shear strength on foliation and joint surfaces was estimated using the Barton defect shear strength model, with friction angles updated based on recent shear testing. Rocscience SLIDE was used to model inter-ramp and overall slope stability, employing critical surface search methods, analyzing 50,000 slip surfaces Albemarle Corporation | Wodgina Lithium Operation S-K 1300 Technical Report Summary February 11, 2026 SLR Project No.: 000.V00720.00RP2 13-2 for minimum Factor of Safety (FoS). Models were then run under standard conditions, incorporating groundwater and blast disturbance for sensitivity testing. The slope stability assessment at Wodgina uses 200 mRL as the base groundwater level, with a sensitivity analysis adjusting this to 250 mRL to account for seasonal water level rises. Structural features, rather than groundwater, have been the primary stability control due to the fractured, well-drained nature of the rock. The pit design largely relies on historical performance, as structural impacts on the north, south, and west walls have been minimal. Future design optimizations may include adjusting berm width or modifying batter height and angle based on actual slope performance and conformance with design tolerances. MRL reports that historical underground workings exist at Wodgina, with some already being excavated. Additional interactions are anticipated as the final part of Stage 2 cutback, and directly behind the northern pit slope of the Pit. MRL also reports that waste dump positioning sits outside the zone of instability prescribed by the current pit designs based on five years of mining. The Company reports that it has adopted several control measures and external expert recommendations to ensure safe ore extraction and a stable mine plan. Some of these controls include maintaining a void management plan, adhering to a Ground Control Management Plan (GCMP) and risk register for ground control, and utilizing operational controls. SLR has reviewed the recent pit design and considers the design parameters to be consistent with the recommended geotechnical design parameters. Albemarle Corporation | Wodgina Lithium Operation S-K 1300 Technical Report Summary February 11, 2026 SLR Project No.: 000.V00720.00RP2 13-3 Figure 13-1: LOM Pit Design Shell and Waste Rock Formation


 
Albemarle Corporation | Wodgina Lithium Operation S-K 1300 Technical Report Summary February 11, 2026 SLR Project No.: 000.V00720.00RP2 13-4 13.4 Hydrogeological Considerations Various hydrogeological studies have been undertaken in the area over the past two decades (Section 17.1). Studies have focused on identifying and managing groundwater resources to support mining operations. The Company reports that groundwater tends to be compartmentalized, with depth to groundwater varying considerably across the Operation. This is evidenced by recent exploration drilling within and adjacent to Cassiterite Pit. 13.4.1 Regional Hydrogeology The northern Pilbara region's groundwater is derived from three primary aquifer systems: • Alluvial and Colluvial Aquifers: High-yield aquifers along major river channels. • Fractured Basement Aquifers: Moderate yields with increased permeability and storage from fractures. • Low-Yielding Basement Aquifers: Limited yield due to low permeability and minimal fracturing. Groundwater generally flows northwards towards the coast, with recharge occurring minimally during rainfall, primarily along creeks and inundated areas (Wodgina Lithium Mine In-Pit TSF Seepage Assessment Atlas Iron Pits, 2022). The Operation lies within the East Pilbara groundwater subarea defined by the state water regulator, with licensed abstraction allocated to the “Pilbara – Fractured Rock Aquifer” system (Section 17.2.10). 13.4.2 Local Hydrogeology The Wodgina area is a fractured rock environment, with groundwater resources being associated with bedrock aquifers including major fault systems, fractured rocks and well- developed weathering profiles. Zones of brittle deformation develop enhanced porosity and permeability, and can receive, store and transmit water. Areas of relatively unfractured bedrock dominate the sub-surface and form boundaries to the water resources stored in fractured zones. Minor aquifers also occur in localized alluvium and colluvium in drainage lines and, in some areas, may support groundwater dependent vegetation (e.g. along the Turner River). These aquifers are thin, readily drained and have limited storage capacity – they host the water table near the drainage lines and drain vertically into underlying fractured rock aquifers. All drainage systems near Wodgina are classified as “losing streams” and when surface water flow occurs, it has the potential to seep through the base of the stream channel and recharge the groundwater system. The retention of runoff water in the alluvial aquifers from intense rainfall events forms an important recharge mechanism for the fractured rock aquifers as the saturation period for the streams and alluvial aquifers is likely to directly affect the quantity of recharge available to the fractured rock aquifer. A limited amount of aquifer testing has been conducted around the Operation. As the rocks comprise metamorphosed siliciclastic, volcanic and igneous rocks with shallow colluvium and alluvium cover in an arid environment, there is little local prospect for large groundwater supplies of economic significance. The lack of prospective groundwater targets and the distal location of water supply infrastructure located on the granitic peneplain indicate that the fractured rock environment at Wodgina is likely to be mostly of low permeability and primary porosity. Albemarle Corporation | Wodgina Lithium Operation S-K 1300 Technical Report Summary February 11, 2026 SLR Project No.: 000.V00720.00RP2 13-5 Depth to groundwater is related to topographic relief. The depth to groundwater surrounding the greenstone belt on the relatively flat granitic peneplain is <10 m from the natural ground surface. Within the greenstone belt the depth to groundwater varies from very shallow, in low lying relief <10 m to >40 m bgl on the higher relief metasediment outcrop. Mining near Cassiterite Pit has created a "cone of depression" in the water table, pulling groundwater towards the pit. The Company undertook groundwater investigations in 2021 and 2022 in the active Cassiterite Pit and to the northeast. Water table elevation was recorded between 217 mRL and 94 mRL in the Cassiterite Pit. Groundwater near Cassiterite Pit is marginal to brackish (3,500 mg/L TDS), circum-neutral in pH (6.5-7.5), and dominated by sodium, magnesium, calcium, and sulfate. These characteristics indicate ion exchange processes, rather than active recharge (Cassiterite Pit Dewatering and Post Closure Pit Lake Assessment, 2022). Regular monitoring ensures compliance with site approvals and evaluates potential impacts from mining on groundwater quality. Groundwater inflows into the operating Cassiterite Pit have been estimated by simple modeling to be of the order of 0.9 L/s or 80 kL/d. In such a hot climate, this rate of inflow is often almost invisible, as seepage reports to the base of pit walls and sometimes to the pit floor, at a rate less than the evaporation rate. Substantial dewatering is likely to be needed only after heavy rain directly into the pit. No information has been provided about the frequency with which such rainfall and dewatering occurs. At present, Wodgina manages operational pit water through in- pit sumps and pumping. In 2023, AQ2 modeled the predicted inflows to Cassiterite Pit during the proposed operations to December 2026 to a maximum depth of 90 mAHD. The predicted total groundwater inflows to the Cassiterite Pit from the surrounding aquifer (base case prediction) is on average 80 m3/d (0.9 L/s); ranging between 50 m3/d (0.6 L/s) to 100 m3/d (1.2 L/s). At worst, assuming the mine intersects groundwater with a bulk aquifer permeability 50% higher than the calibrated permeability, the model indicates total inflows of 140 m3/d (1.6 L/s). However, evaporation from the pit sumps and pit walls will remove some of these groundwater inflows, and net residual groundwater inflow will therefore be less than predicted. AQ2 concluded that, in the absence of any identified major aquifer zones (faults) outside the expanded Cassiterite Pit and the predicted relatively low groundwater inflows into the pit, the continuation of pit floor sump pumping remains the most practical and cost-effective water management strategy, as it will be able to manage all inflows, including any rainfall runoff inflows. In 2021, the Operation developed a water exploration program to identify production bore locations and inform the most suitable locations for Atlas Pit seepage bores; however, SLR has not reviewed this information. 13.5 Mining Strategy Several mine development strategies were reviewed and implemented as part of the Company's annual LOM planning process. The selected strategy forms the basis of the LOM plan presented in this Report. 13.5.1 Key Mine Deliverables and Milestones The key projects and deliverables critical to achieving the LOM plan include: • Regulatory approval for the Southern TSF (needed by the end 2030) and final EWL (needed by about 2031), as addressed in Section 17.3. Albemarle Corporation | Wodgina Lithium Operation S-K 1300 Technical Report Summary February 11, 2026 SLR Project No.: 000.V00720.00RP2 13-6 • Renewal of several mining leases due to expire in 2026, as addressed in Section 3.2. 13.5.2 Production Ramp-Up Wodgina aims to process ore in the future at a similar throughput rate as current operations. Though no ore production ramp-up is required, as the Operations are entering into a period of new cutback development, total material movement will likely be higher than average for the next three years. 13.5.3 Mining Sequence The proposed mining sequence involves developing the operation in a series of cutback phases. Each cutback phase will expand the open pit mine, generally transitioning from high value to lower-value areas. The mining cutback sequence was defined with the aid of Geovia Whittle 4X pit limit optimization software. SLR reviewed the approach to developing the mining sequence strategy and concurs with the outcomes. 13.5.4 Ore Stockpiling The ore stockpiling strategy adopted on site aims to maintain continuity of feed grade and consistency in the feed grade. The stockpile and blending strategy is achieved by having all ore from the open pit stockpiled and rehandled by a loader to the crusher. Consistent target feed grades are achieved by blending material containing grade values ranging from 0.8% to 1.2% Li2O with high-grade (HG) material (>1.2% Li2O). Low-grade ore is separated into stockpiles, with the objective of being fed in the final stages of the operation when better quality ore is exhausted. Contact ore with higher Iron grades is also stockpiled and blended to control the plant feed quality. Excess Fe content can impact the process plant recovery and product quality. 13.6 Life of Mine Plan 13.6.1 Overview The LOM plan was developed by the Company, and assumes an active mine life of 21 years, with active mining and processing being completed until 2045. The key physicals relevant to the LOM plan have been summarized in Table 13-1. SLR notes that the LOM plan includes Mineral Reserves only, with Inferred Mineral Resources included as waste. SLR notes only 1.2 Mt of Inferred material is within the pit design. Albemarle Corporation | Wodgina Lithium Operation S-K 1300 Technical Report Summary February 11, 2026 SLR Project No.: 000.V00720.00RP2 13-7 Table 13-1: LOM Physicals Parameter Units (metric) LOM LOM Active Mine Period Years 21 LOM Plant Period Years 22 Waste Material Moved M dmt 356.8* Ore Mined (ex-pit) M dmt 89.2 Ore Mined (reprocessed tailings) M dmt 14.8 Ore Processed (Feed total) M dmt 104.8 Feed Grade (Total average) % 1.3 Mineralized Waste (0.65% - 0.75% Li2O) M dmt 5.1 Strip Ratio (ROM) t:t 3.40 LOM Plant Recovery % 67.4% Concentrate Tonnes (SC5.5) M dmt 17.1 Note. * Total waste quantities include 5.1Mt of mineralized waste 13.6.2 Ore and Waste Production Schedule Figure 13-2 shows the annual LOM production profile for waste, ROM ore and the resulting strip ratio. Total material movement is maintained at a rate of 36.4 Mtpa for 2025 and 2026, ramping down to 31.9 Mtpa for 2027 and 2028, then remaining reasonably steady state from 2029 to 2039, averaging 26.1 Mtpa from 2028 to 2039. From 2040 to 2045, the total material moved ramps down year on year from 19.9 Mtpa to 4.7 Mtpa, due to waste movement requirements.


 
Albemarle Corporation | Wodgina Lithium Operation S-K 1300 Technical Report Summary February 11, 2026 SLR Project No.: 000.V00720.00RP2 13-8 Figure 13-2: LOM Total Material Movement (ex-pit + tailings rehandle) The LOM plan involves progressively increasing production from 2.2 Mtpa in the 6 months in the H2 2025 to 8.1 Mtpa in 2027 following the completion of the Stage 3 cutback. SLR notes that ore production was greater than 2.9 Mt during H1 2025, then decreased in H2 2025 due to waste stripping requirements and ore access. Between 2026 and 2029, the average annual ore mining rate was 6.4 Mtpa. During this four-year period, the stockpile inventory increases from approximately 1 Mt to approximately 9.5 Mt. From 2030 to 2040, average ore production decreases to 5.1 Mtpa (fluctuating between 2.5 Mtpa and 7.0 Mtpa during this period, averaging below the 5.6 Mtpa throughput capacity ). The decrease in ore production is the result of the commencement of the stage 4 and 5 cut back, with waste movement requirements to allow access to the Basal lodes. This decrease in ore production will be supplemented by the stockpiles of excess ore mined prior to allowing full production of three trains from 2028. SLR notes the drop in ore movement in 2037 and 2038; during this period, the plant feed is supplemented by stockpile ore. 13.6.3 Mining Phases Figure 13-3 shows the production from the five primary active mining areas referred to as Stage 2 through Stage 5, in addition to TSF mining. The various pit cutback phases are managed as an integrated mining operation. Production and equipment allocation are optimized between the active areas as required. 0.0 2.0 4.0 6.0 8.0 10.0 12.0 0 5 10 15 20 25 30 35 40 2025 2026 2027 2028 2029 2030 2031 2032 2033 2034 2035 2036 2037 2038 2039 2040 2041 2042 2043 2044 2045 St ri p R at io ( W as te t : O re t ) To n n ag e (M d m t) Year Pit Ore TSF Ore Waste Strip Ratio Albemarle Corporation | Wodgina Lithium Operation S-K 1300 Technical Report Summary February 11, 2026 SLR Project No.: 000.V00720.00RP2 13-9 Figure 13-3: LOM Active Mining Areas 13.6.4 Dumping Sequence Wodgina is planned to have a single waste rock dump, referred to as the Eastern Waste Landform (EWL). Across the LOM, 356.8 Mt of waste is placed in the EWL (exclusive of 5.1 Mt of mineralized waste which is placed in temporary stockpiles near the ROM). SLR has assumed a 25% swell factor and the design capacity suitable to meet the requirements of the LOM. SLR notes that dry stacking of tails via co-mingling is undertaken. SLR confirms there is suitable capacity to meet the LOM plan of the waste and tails dry stacking. The geotechnical and geochemical characteristics of waste rock and implications for its handling and placement are discussed in Sections 17.1. MARBL has recently secured approval from the mining regulator for waste rock capacity to about 2031 by developing a new waste rock landform (EWL2), separate to the existing EWL (now designated EWL1) with capacity to mid-2026, to avoid sites of Aboriginal cultural heritage and areas of critical fauna habitat that would entail a lengthy approval process and thereby mitigate risk to the mining schedule. MARBL intends to start developing EWL2 to take advantage of the shorter haul distance from the northern part of Cassiterite Pit. MARBL is preparing submissions for a LOM waste rock landform that would eventually subsume EWL1 and EWL2 (Section 17.0). Figure 13-4 shows the LOM mining stages being placed in the total planned EWL by stage cutback. Albemarle Corporation | Wodgina Lithium Operation S-K 1300 Technical Report Summary February 11, 2026 SLR Project No.: 000.V00720.00RP2 13-10 Figure 13-4: LOM EWL Dump Sequence 13.6.5 Ore Stockpiling Figure 13-5 shows the annualized stockpile inventory for material above 0.75% Li2O by ore type. SLR notes that mineralized waste with a grade between 0.65% to 0.75% will not be processed as part of the LOM plan or included in the Mineral Reserves, and is planned to be temporarily stockpiled outside the ROM. In addition, Inferred Mineral Resources are not included in the LOM stockpile inventory or the Mineral Reserves. Albemarle Corporation | Wodgina Lithium Operation S-K 1300 Technical Report Summary February 11, 2026 SLR Project No.: 000.V00720.00RP2 13-11 Figure 13-5: LOM Stockpile Inventory 13.6.6 Detailed Production Schedule Results The detailed LOM production schedule results are shown in Table 13-2, which includes the annualized LOM production schedule for the first five and a half years, and then an average of the remaining mine life. The emissions intensity baseline shown in Table 13-2 is calculated based on the current Australian Federal Government requirements for emissions reductions to 2050 under the Safeguard Mechanism. This results in a decrease in the emissions baseline beyond 2030. Refer to Section 18.0 for further details. 0 2 4 6 8 10 12 2025 2026 2027 2028 2029 2030 2031 2032 2033 2034 2035 2036 2037 2038 2039 2040 2041 2042 2043 2044 2045 2046 2047 2048 In ve n to ry ( M w m t) Year Stockpile Inventory EOP (>0.75% Li2O) Ore Inventory Balance EOP (MW+Contact) Ore Inventory Balance


 
Albemarle Corporation | Wodgina Lithium Operation S-K 1300 Technical Report Summary February 11, 2026 SLR Project No.: 000.V00720.00RP2 13-12 Table 13-2: LOM Schedule as at June 30, 2025 Units Total (LOM) 2025 (Jul - Dec) 2026 2027 2028 2029 2030 2031 2032 2033 2034 2035 Mining Total Waste mined* M dmt 356.8 16.7 30.0 23.7 25.3 19.0 19.2 20.0 21.0 17.5 21.4 22.5 Ore Mined (tailings) M dmt 14.8 0.0 0.0 0.0 0.0 0.0 0.0 0.0 0.0 0.0 0.0 0.0 Ore Mined (ex-pit) M dmt 89.2 2.2 5.0 8.1 6.7 6.0 4.7 4.3 5.5 6.5 5.2 5.5 Ore Mined Grade (ex-pit average) % 1.3 1.2 1.2 1.4 1.4 1.4 1.5 1.3 1.3 1.3 1.4 1.7 Ore Mined Total M dmt 103.9 2.2 5.0 8.1 6.7 6.0 4.7 4.3 5.5 6.5 5.2 5.5 Total Strip Ratio Waste t/Ore t 3.4 7.7 6.1 2.9 3.8 3.1 4.1 4.6 3.8 2.7 4.1 4.1 Mineralized Waste (0.65% - 0.75% Li2O) M dmt 5.1 0.5 1.2 0.9 0.3 0.2 0.2 0.2 0.3 0.2 0.1 0.1 Plant Ore Processed (tailings) M dmt 14.8 0.0 0.0 0.0 0.0 0.0 0.0 0.0 0.0 0.0 0.0 0.0 Ore Processed (ex-pit) M dmt 90.1 1.6 2.9 4.1 5.0 5.1 5.1 5.0 4.9 5.1 5.2 5.2 Ore Processed Total M dmt 104.8 1.6 2.9 4.1 5.0 5.1 5.1 5.0 4.9 5.1 5.2 5.2 Lithia Feed Grade (total average) % 1.3 1.7 1.8 1.8 1.6 1.6 1.4 1.3 1.4 1.4 1.4 1.7 Plant Recovery % 67.4 60.0 64.8 73.3 74.4 74.2 73.3 69.5 71.6 71.7 72.3 75.2 Operational Yield (Product t / Feed t) % 16.3 18.0 20.8 24.3 21.3 21.4 19.1 16.0 17.9 18.8 18.7 23.3 Concentrate Tonnes (SC5.5) M dmt 17.1 0.3 0.6 1.0 1.1 1.1 1.0 0.8 0.9 1.0 1.0 1.2 Environmental Emissions Intensity Baseline kt CO2e - 100 132 166 158 100 100 100 100 100 100 100 Note. * Total waste quantities include mineralized waste. Albemarle Corporation | Wodgina Lithium Operation S-K 1300 Technical Report Summary February 11, 2026 SLR Project No.: 000.V00720.00RP2 13-13 Units 2036 2037 2038 2039 2040 2041 2042 2043 2044 2045 2046 Mining Total Waste mined* Mt 23.1 24.4 25.4 19.8 11.9 8.0 2.4 1.7 1.7 2.1 0.0 Ore Mined (tailings) Mt 0.0 0.0 0.0 0.0 0.0 0.0 2.9 5.0 4.3 2.6 0.0 Ore Mined (ex-pit) Mt 4.9 3.6 2.5 6.3 7.0 4.9 0.2 0.0 0.0 0.0 0.0 Ore Mined Grade (ex-pit average) % 1.6 1.4 1.2 1.3 1.3 1.5 1.1 1.0 1.0 1.0 1.1 Ore Mined Total Mt 4.9 3.6 2.5 6.3 7.0 4.9 3.1 5.0 4.3 2.6 0.0 Total Strip Ratio Waste t/Ore t 4.7 6.7 10.1 3.1 1.7 1.6 0.8 0.3 0.4 0.8 1.4 Mineralized Waste (0.65% - 0.75% Li2O) M dmt 0.1 0.1 0.1 0.3 0.2 0.1 0.0 0.0 0.0 0.0 0.0 Plant Ore Processed (tailings) Mt 0.0 0.0 0.0 0.0 0.0 0.0 2.9 5.0 4.3 2.6 0.0 Ore Processed (ex-pit) Mt 5.2 5.2 5.2 5.0 5.1 5.2 2.0 0.0 0.8 2.6 4.4 Ore Processed Total Mt 5 5 5.2 5.0 5.1 5.2 4.9 5.0 5.1 5.1 4.4 Feed Grade (total average) % 1.6 1.3 1.0 1.4 1.4 1.4 1.0 1.0 1.0 0.9 0.7 Plant Recovery % 73.6 65.8 63.0 69.3 70.1 70.6 51.6 45.0 46.9 51.9 48.0 Operational Yield (Product t / Feed t) % 20.9 15.0 12.0 17.3 18.3 18.6 9.3 8.2 8.4 8.5 5.8 Concentrate Tonnes (SC5.5) M dmt 1.1 0.8 0.6 0.9 0.9 1.0 0.5 0.4 0.4 0.4 0.3 Environmental Emissions Intensity Baseline kt CO2e 100 100 100 100 100 100 100 100 100 100 100 Note. * Total waste quantities include mineralized waste Albemarle Corporation | Wodgina Lithium Operation S-K 1300 Technical Report Summary February 11, 2026 SLR Project No.: 000.V00720.00RP2 13-14 13.7 Mining Equipment Mining is performed exclusively by truck and excavator fleets. The productive mining fleets (excavation units and the associated haul trucks) are set out in Table 13-3. Table 13-3: Major Earth Moving Fleet Equipment Type Dig Unit Truck Fleet Mining Activity Tier 1 Excavators Liebherr R9600 (600-tonne) Komatsu 830E (230-tonne) Waste Mining Tier 2 Excavators Liebherr R9400 (350-tonne) Komatsu 830E (230-tonne) Waste / Ore Mining Tier 3 Excavators Liebherr R9200 (200-tonne) Komatsu HD1500 (140-tonne) Ore / Grade Control Front End Loader Caterpillar 992 (FEL) Komatsu HD1500 (140-tonne) Rehandle 13.8 Equipment Estimate The annual material movement capability of the equipment fleet is estimated with regard to operating hours and production rate (per operating hour) and used as a basis to estimate annual fleet number requirements. Table 13-4 summarizes the primary excavator and haul truck fleet over the LOM plan, as supplied by MRL as the operator. SLR notes that the mine plan and the number of required fleet have undergone further optimization over the 2024 to 2025 period. The LOM assumes that the current mining strategy of owner-operator will continue, so SLR has reviewed the equipment life and replacement requirements across the LOM. MRL, as the operator, is also responsible for supplying the mine workforce and labor requirements. The excavator fleet comprises of three (3) units (excluding front-end loader) and maintains that capacity until 2029, when the smaller 200-tonne excavator is not required again until 2042. In 2025, the Operation requires 10x Komatsu HD1500and 16x Komatsu 830E truck fleets, which increase and decrease with production and haulage requirements. The maximum forecast number of rear dump trucks is 30 units in 2038. In addition to the major mining equipment, there is a significant ancillary fleet, including front- end loaders, graders, water carts, dozers, as well as fuel, lube and service trucks. In 2025, the ancillary fleet (excluding drills) includes 14 units. Albemarle Corporation | Wodgina Lithium Operation S-K 1300 Technical Report Summary February 11, 2026 SLR Project No.: 000.V00720.00RP2 13-15 Table 13-4: Major Mining Fleet Summary Equipment 2025 2026 2027 2028 2029 2030 Typical 2031-2048 Excavators Liebherr R9600 (600-tonne) 1 1 1 1 1 1 1 Liebherr R9400 (350-tonne) 1 1 1 1 1 1 1 Liebherr R9200 (200-tonne) 1 1 1 1 - - 1 (2042-2045) Caterpillar 992 (FEL) 3 2 2 1 1 1 1 Total Excavators and FEL 6 5 5 4 3 3 3 Dump Trucks Komatsu 830E (230-tonne) 16 15 15 15 13 13 12 Komatsu HD1500 (140-tonne) 10 10 10 10 10 10 9 Total Trucks 26 25 25 25 23 23 21


 
Albemarle Corporation | Wodgina Lithium Operation S-K 1300 Technical Report Summary February 11, 2026 SLR Project No.: 000.V00720.00RP2 14-1 14.0 Processing and Recovery Methods 14.1 Process Description The Wodgina processing plant was originally designed to process ROM ore, with an average grade of approximately 1.25% Li₂O, into a 6.0% Li₂O spodumene concentrate (SC6.0) using a whole-of-ore flotation process. The plant features a shared crushing circuit that feeds three identical flotation trains, each with a capacity of 1.85 Mtpa. Each train was designed to produce 250 ktpa of SC6.0 concentrate, resulting in a total throughput of 5.6 Mtpa and a combined concentrate output of 750 ktpa. While the comminution circuit is shared, the flotation trains operate as standalone units, but with a common feed source and a shared final concentrate destination. Train 1 began initial operations in 2019 for commissioning, successfully producing spodumene concentrate before the site entered care and maintenance due to economic challenges. At that time, Trains 2 and 3 were still under partial construction. The site was recommissioned in 2022, with Train 1 resuming operations and construction of Trains 2 and 3 completed in the following years. All three trains are now operational, pending sufficient ore availability to sustain full capacity. Upon recommencing operations, it became evident that the flotation trains could not consistently achieve design recovery rates at the SC6.0 target grade. Following contractual negotiations, the concentrate grade target was lowered to 5.5% Li₂O (SC5.5), which remains the current production standard for the final concentrate product, resulting in additional tonnages being produced. Figure 14-1 shows an overview of the Wodgina processing plant flowsheet. Figure 14-1: Processing Overview – Block Flow Diagram Albemarle Corporation | Wodgina Lithium Operation S-K 1300 Technical Report Summary February 11, 2026 SLR Project No.: 000.V00720.00RP2 14-2 Figure 14-2 shows an aerial view of the processing plant, highlighting key areas such as the crushing section (dry plant) and the concentrate shed. It also indicates the three flotation trains (wet plant), referred to as 1, 2, and 3 from right to left. The discussion and descriptions below outline the design criteria for each component. SLR considers that the equipment capacities and designs are suitable to achieve the forecast LOM; however, has not been provided actual performance information for detailed review. Of note is the decrease in the concentrate from SC 6.0 to SC 5.5 which is a direct result of performance and increased understanding of the orebody and shortcoming of the original plant designs. SLR notes that growth and improvement projects underway to increase recoveries to meet forecasts. SLR considers these projects suitable. Figure 14-2: Process Plant Overview – Aerial Image Albemarle Corporation | Wodgina Lithium Operation S-K 1300 Technical Report Summary February 11, 2026 SLR Project No.: 000.V00720.00RP2 14-3 14.1.1 Comminution Circuit The comminution circuit is designed to process ROM ore and reduce its particle size for the flotation circuits. It uses a three-stage crushing process to produce ore smaller than 4 mm, which is then stored in an undercover stockpile. The ore is reclaimed by underground conveyors and fed into a common grinding feed bin. Additional feed, such as reclaimed lithium-rich tantalite tailings from historical dams, is delivered by truck to an uncovered bypass stockpile. This material bypasses the crushing circuit and is fed directly into the grinding circuit feed bins. Crushed ore or reclaimed tailings then overflow into individual grinding mill feed bins for each processing train, producing a final product with a grind size of P80 180 µm. Figure 14-3 shows a process Block Flow Diagram of the common crushing circuit Figure 14-3: Comminution Circuit – Block Flow Diagram Figure 14-4 shows an aerial view of the common crushing circuit. Albemarle Corporation | Wodgina Lithium Operation S-K 1300 Technical Report Summary February 11, 2026 SLR Project No.: 000.V00720.00RP2 14-4 Figure 14-4: Crushing Circuit – Aerial View 14.1.1.1 Crushing The crushing circuit consists of a three-stage process using a primary gyratory crusher, secondary cone crushers, tertiary High-Pressure Grinding Rolls (HPGRs), and double-deck banana sizing screens, as described below. Primary Crusher Ore is fed into a Metso 60-89 gyratory crusher with a 150 mm open side setting. The primary crushed ore is conveyed to double-deck banana sizing screens with apertures of 40 mm on the top deck and 7.5 mm on the bottom deck. Secondary Crusher Oversize material from the top deck is conveyed to two 7” Symons SXHD cone crushers with a 25 mm closed side setting. The secondary crushed ore is then sent back to the double-deck screen for further sizing. Tertiary Crusher Oversize material from the bottom deck is conveyed to three 1.4 x 1.0m HPGR units. Tertiary crushed ore is also sent back to the double-deck screens for sizing. Sizing Screen Crushed ore from the primary, secondary, and tertiary circuits is conveyed to the double-deck banana sizing screen. Oversize from the top deck is sent to the secondary crushers, while oversize from the bottom deck is sent to the tertiary crushers. Undersize material (<4 mm) from the bottom deck is conveyed to the crushed ore stockpile. Crushed Ore Stockpile Five (5) reclaim feeders beneath the stockpile transfer the ore to a single conveyor that feeds into the Fine Ore Bin.


 
Albemarle Corporation | Wodgina Lithium Operation S-K 1300 Technical Report Summary February 11, 2026 SLR Project No.: 000.V00720.00RP2 14-5 COS Bypass Stockpile A COS Bypass uncovered stockpile area and recovery system were included in the original design to bypass the coarse ore stockpile and send material directly to the conveyor feeding the grinding circuit as an alternative to the COS. This system consists of a loading hopper for reclaiming stockpiled ore, located adjacent to the undercover shed, where ore is loaded by a front-end loader. The stockpile area has been used during the processing of reclaimed tailings material or when maintenance is required on the coarse ore stockpile shed and conveyor system. 14.1.1.2 Grinding The milling circuit marks the division of the process plant into three (3) separate processing trains. Fine Ore Bin The Fine Ore Bin is a single bin divided into three sections. Crushed ore is primarily fed into the Train 1 section, with overflow directed to the Train 2 and Train 3 compartments. Ball Mills Each section of the Fine Ore Bin feeds into identical processing trains. Each train is equipped with a 4.57 x 6.49 m ball mill. The ball mills operate in closed circuit with a cyclone cluster, maintaining a recirculating load of 250% to produce a cyclone overflow product with a particle size of 180 µm. 14.1.2 Beneficiation Circuit The beneficiation circuit processes the grinding circuit product with a P80 of 180 microns. It begins with desliming cyclones to remove clay and iron-rich slimes sent to tailings. A magnetic separation circuit follows, extracting a magnetic tantalum-rich stream that is further processed by gravity separation to produce a tantalum product. The non-magnetic stream then passes through a pre-flotation circuit to remove sulfide minerals, mainly pyrite, followed by a conventional flotation circuit to concentrate Li2O into a flotation concentrate product. The resulting barren flotation tailings are either dry-stacked or sent to a TSF. Ore body knowledge and operational experience has significantly improved the performance of this portion of the plant which operates as needed. Of note is the knowledge base of processing ‘contact ore’ which is impacted by sulfide content. Figure 14-5 shows a block flow diagram of the common design used for Trains 1, 2, and 3. Albemarle Corporation | Wodgina Lithium Operation S-K 1300 Technical Report Summary February 11, 2026 SLR Project No.: 000.V00720.00RP2 14-6 Figure 14-5: Processing Train Example – Block Flow Diagram Figure 14-6 shows an aerial overview of the processing Trains 1, 2 and 3 (left to right), the concentrate storage shed, and the tailings screening area. The figure also shows the potential future location of Train 4, adjacent of Train 3. Albemarle Corporation | Wodgina Lithium Operation S-K 1300 Technical Report Summary February 11, 2026 SLR Project No.: 000.V00720.00RP2 14-7 Figure 14-6: Processing Trains 1 to 3 – Aerial View 14.1.2.1 Desliming The milled product is pumped through two stages of desliming cyclones. The final cyclone overflow (<10 microns) is sent to the tailings thickener, while the underflow moves to the magnetic separation circuit. 14.1.2.2 Magnetic Separation Deslimed ore first passes through Low Intensity Magnetic Separators (LIMS) followed by Wet High Intensity Magnetic Separators (WHIMS). The magnetic stream from the LIMS is discarded to tailings, while the non-magnetic fraction is sent to the WHIMS. The WHIMS magnetic product stream is sent to gravity separation for tin and tantalum recovery. The non-magnetic stream from the WHIMS is directed to the pre-flotation circuit. This component is to be upgraded as part of the growth project forecast by the Company. SLR agrees with this approach. 14.1.2.3 Gravity Separation The magnetic product is further upgraded via gravity separation using spiral separators and shaking wet tables. The dense concentrate stream is recovered and sent to the GAM bagging plant, while the middlings and tailings from the final shaking tables are sent to the tailings thickeners. 14.1.2.4 Flotation The flotation circuit upgrades the Li2O content, producing both a concentrate and a tailings stream. Albemarle Corporation | Wodgina Lithium Operation S-K 1300 Technical Report Summary February 11, 2026 SLR Project No.: 000.V00720.00RP2 14-8 Pre-Flotation The pre-flotation circuit removes sulfide minerals typically found in metasediment waste from contact ore zones. This circuit can be bypassed when processing low-contact waste ores. The pre-flotation section consists of four RSC40HD and three RSC5HD flotation cells per train. Non- selective sulfide flotation reagents are used to separate sulfide minerals into the tailings stream, while the remaining material moves on to the Li2O rougher flotation. Pre-float concentrate is sent to the tailings thickeners, and the tailings stream proceeds to the lithium flotation circuit. SLR notes that the pre-floatation is used when require for processing ‘contact ore’. A key to the plant is the consistent blend required to ensure recoveries are met. This is a noted path of the LOM plan, with plants operating via stockpiles. Rougher & Scavenger Flotation Tailings from pre-flotation are sent to rougher flotation cells. Rougher concentrate moves to the first cleaner cells, while rougher tailings proceed to scavenger cells. Scavenger concentrate is returned to the rougher stage, and scavenger tailings are sent to the final tailings circuit. The rougher flotation circuit includes four RSC40HD flotation cells per train, and four scavenger per train as noted in Table 14-3. Cleaner Flotation Rougher concentrate moves to the first cleaner cells, which include three RSC40HD flotation cells per train. The first cleaner concentrate moves to the second cleaner circuit, while tailings return to the rougher/scavenger circuit. The second cleaner circuit consists of four RSC40HD flotation cells per train. The second cleaner concentrate moves to the third cleaner stage, and tailings return to the first cleaner circuit. The third cleaner stage, with two RSC40HD flotation cells per train, produces the final concentrate sent to the dewatering circuit. Tailings from the third stage return to the second cleaner circuit. 14.1.3 Concentrate Processing The flotation concentrate from the third cleaning circuit of each process train is sent to its respective concentrate dewatering circuit. Each dewatering circuit includes thickening and filtering stages. The filtered concentrate from each train is transferred via a shared conveyor to a single storage shed for later transport to the port. 14.1.3.1 Dewatering Thickening Concentrate from the third cleaner cells is directed to a 15 m diameter thickener for each train. The thickener underflow is pumped to the filters, while the overflow is returned to the process water circuit. Thickener underflow is then sent to the associated train's concentrate filter belt. Filtering The thickener underflow is pumped to a JORD belt filter, which produces a final concentrate with less than 10% moisture. The filter cake is deposited onto a shared conveyor belt that transports the final concentrate to the storage shed. If the concentrate is suspected to be off- grade, it can be diverted to a second conveyor that discharges outside the storage shed. While previous moisture content has varied, including above product specification, this is expected to consolidate based on recent performance.


 
Albemarle Corporation | Wodgina Lithium Operation S-K 1300 Technical Report Summary February 11, 2026 SLR Project No.: 000.V00720.00RP2 14-9 14.1.3.2 Storage & Shipment Storage Shed (Covered) The concentrate storage shed has five open bays with a concrete base and a total capacity of 15,754 tonnes. A front-end loader rehandles concentrate into quad road train trucks for transfer to an intermediate staging storage yard managed by the haulage contractor or directly to the port for shipment. Storage Shed (Uncovered) The area around the storage shed has been concreted since the plant's original construction, increasing the available storage space. However, this additional area is uncovered, requiring rehandling of concentrate material initially deposited in the concentrate storage shed via a conveyor. 14.1.4 Tailings Processing The tailings circuit is designed to process the combined tailings from all three operational trains. The tailings can be further separated into coarse and fine fractions, enabling the coarse fraction to be dry-stacked on waste dumps, while the fine fraction is directed to the TSF (Tailings Storage Facility). Each flotation train generates a tailings stream, which is thickened in individual thickeners on the process trains. These are then either combined and sent to the desanding plant and screens, or directly transferred to the TSF. The tailings stream consists predominantly of flotation tailings, with a small magnetic fraction removed in the magnetic separation stage, along with cyclone overflow from the desliming stage, which removes clay-bearing and iron-rich clay materials. 14.1.4.1 Combined Tailings Tailings from the desliming circuits, WHIMS magnetic fraction, tantalite shaking table middlings and tailings fractions, scavenger flotation circuit, pre-flotation concentrate, dewatering cyclone overflow, and concentrate thickener overflow all report to a 26 m diameter thickener circuit for each processing train. Tailings Screening Tailings from the combined stream may also be directed to dewatering cyclones before entering a dedicated desanding screening circuit. Each train utilizes nine 250 mm cyclones to generate a coarse tailings product, which is fed to three tailings screens with apertures ranging from 300 to 500 µm, producing a dry stackable tailings product with approximately 20% moisture. The designed split of screen oversize to undersize is around 60% for the coarse, dry-stacked tailings and 40% for undersize tailings sent to the TSF, though this ratio may shift to around 50:50 depending on the ore types processed. The screen oversize represents the final coarse or dry-stacked tailings, which are conveyed and transported via mining trucks to the waste dumps. The screen undersize is sent to a common pump hopper for disposal. Final Tailings The screen undersize is combined in a common pump hopper and pumped to the active TSF. Alternatively, if the coarse tailings screening plant is not in operation, the combined tailings stream can be sent directly to the designated TSF. Albemarle Corporation | Wodgina Lithium Operation S-K 1300 Technical Report Summary February 11, 2026 SLR Project No.: 000.V00720.00RP2 14-10 14.1.5 Reagents The reagents for the three processing trains are nearly identical, as each train receives the same feed material from the crushing circuit, meaning they all process similar, if not identical, material. The reagents can be broadly categorized into grinding media, flotation reagents, and dewatering agents. 14.1.5.1 Grinding The original design for the grinding circuit included 50/65 mm high-chrome steel balls in the ball mills. However, usage rates have varied as operational knowledge and experience have increased over time. 14.1.5.2 Flotation The pre-flotation circuit was initially designed to use Sodium Isobutyl Xanthate (SIBX) for the non-selective flotation of sulfide minerals. However, this circuit can be bypassed if the sulfide content is insufficient. In the combined flotation circuit, which includes scavenger and cleaner flotation stages, each train utilizes pine oil as a frother, Tall Oil Fatty Acid (Oleic acid) as a collector, and soda ash for pH adjustment. Reagent dosages have been adjusted over time based on ore quality and ongoing plant optimization. 14.1.5.3 Dewatering A dry flocculant powder is mixed in a flocculant preparation station before being added to the concentrate thickener at approximately 5 g/t and to the tailings thickener at around 50 g/t. 14.1.5.4 Water Each process plant train depends on recycled water from within the process and water returned from the tailings dam. Water quality is crucial for the flotation process, with most water treated through dedicated Reverse Osmosis (RO) plants. 14.2 Process Plant Design The processing plant was designed to use whole ore flotation as the sole method for Li2O recovery, without incorporating Dense Media Separation (DMS), which is commonly used as part of a hybrid DMS/flotation approach in similar operations. MRL contributed to the design, drawing on expertise from its in-house companies, Crushing Services International (CSI) and Process Minerals International (PMI). However, the process design was largely developed by the Minnovo process engineering group, with key documents such as the Process Design Criteria (PDC), Mass Balance (MBAL), Process Flowsheet Diagrams (PFD), and Equipment Lists sourced from Minnovo. The plant design included a common crushing section that feeds three identical processing trains, each with a capacity of 1.85 Mtpa, producing 250 ktpa of 6% Li2O concentrate per train. This results in a total feed of 5.6 Mtpa and a total concentrate output of 750 ktpa. While the plant throughput has not changed, there has been significant improvement in the processing recoveries, particularly the recent addition of the HIC’s circuits in each train which has resulted in a material uplift in concentrate production. Although all three processing trains are operationally available, the plant has not been able to consistently run more than two trains, with one typically on standby. This limitation has been Albemarle Corporation | Wodgina Lithium Operation S-K 1300 Technical Report Summary February 11, 2026 SLR Project No.: 000.V00720.00RP2 14-11 due to several factors, insufficient ore feed to the crushing plant, and restricted crushing plant production rates. 14.2.1 Process Design Criteria Table 14-1 shows a simplified version of the Process Design Criteria as sourced by the Minnovo document P037-DCR-PR-001. Table 14-1: Process Design Criteria Parameter Units Combined Train 1 Train 2 Train 3 Overview Feed Tonnes Mtpa 5.55 1.85 1.85 1.85 Li2O Feed Grade % 1.25 1.25 1.25 1.25 Li2O Concentrate Grade % 6.0 6.0 6.0 6.0 Li2O Concentrate Production t/y 750,000 250,000 250,000 250,000 Li2O Recovery % 65.0 65.0 65.0 65.0 Ore CWI kWh/t 15 UCS MPa 200-300 Ore SG Average t/m³ 2.7 Bulk Density Crushed Ore t/m³ 1.65 Ore Moisture Content - Average % 3.0 Abrasion Index – Test Work g 0.36 Abrasion Index - Design g 0.38 Bond Ball Mill Work Index - Nominal kWh/t 14.8 Bond Ball Mill Work Index - Design kWh/t 15.2 Crusher Nominal Throughput t/y 5,538,462 Available Operating Hours Per Year h 8760 Plant Utilization % 68.5 Effective Operating Hours h/y 6000 Concentrator Nominal Throughput t/y 5,538,462 1,846,154 1,846,154 1,846,154 Plant Utilization % 91.3 91.3 91.3 91.3 Effective Operating Hours h/y 7998 7998 7998 7998 Nominal Feed Rate t/h 693 231 231 231 Ore Characteristics ROM F100 mm 1200 Crushing Plant Primary Crushing Feed Rate - Design t/h 1,125 Feed Rate - Nominal t/h 923 Albemarle Corporation | Wodgina Lithium Operation S-K 1300 Technical Report Summary February 11, 2026 SLR Project No.: 000.V00720.00RP2 14-12 Parameter Units Combined Train 1 Train 2 Train 3 Type Gyratory Number # 1 Open Side Setting mm 150 Secondary Crushing Feed Rate - Nominal t/h 1012 Type Cone Crusher Number # 2 Closed Side Setting mm 150 Tertiary Crushing Feed Rate - Nominal t/h 1380 Type HPGR Number # 3 Sizing Screen Feed Rate - Nominal t/h 3514 Type Double Deck Banana Number # 3 Aperture - Top Deck mm 40 Aperture - Bottom Deck mm 7.5 Crushed ore stockpile Capacity t 90,000 Capacity (crushing time) h 98 Grinding Plant Feed F80 mm 3.5 3.5 3.5 3.5 Product P80 - Average um 180 180 180 180 Product P80 - Design um 212 212 212 212 Mills Feed Rate t/h 693 231 231 231 Type Ball mill Ball mill Ball mill Number # 1 1 1 1 Size (Inside Shell Diameter x EGL) m 4.57 x 6.49 4.57 x 6.49 4.57 x 6.49 Recirc Load % 250 250 250 Deslime Cyclones Stage 1 - Overflow P80 um 20 20 20 Stage 1 - Overflow P80 um 10 10 10 Flotation Roughing Feed t/h 651 217 217 217 Solids concentration % 30 30 30 Number of conditioning tanks # 5 5 5 Concentrate grade % 4.0 4.0 4.0


 
Albemarle Corporation | Wodgina Lithium Operation S-K 1300 Technical Report Summary February 11, 2026 SLR Project No.: 000.V00720.00RP2 14-13 Parameter Units Combined Train 1 Train 2 Train 3 Recovery % 80 80 80 Scavenging Feed t/h 558 186 186 186 Grade % 2.5 2.5 2.5 Cleaner 1 Feed t/h 222 74 74 74 Grade % 5.0 5.0 5.0 Cleaner 2 Feed t/h 183 61 61 61 Concentrate grade % 5.5 5.5 5.5 Cleaner 3 Feed t/h 129 43 43 43 Concentrate grade % 6.0 6.0 6.0 Concentrate Dewatering Concentrate Thickener Diameter m 15 15 15 Design Feed Rate - Nominal t/h 93.9 31.3 31.3 31.3 Concentrate Filter Type Belt Belt Belt Cake Moisture % <10 <11 <12 Concentrate Storage (Shed) t 15,754 Concentrate Storage (Shed) days 7 Tails Dewatering Thickener Number # 1 1 1 Size (Diameter) m 26 26 26 Design Feed Rate (full plant case) t/h 597.9 199.3 199.3 199.3 Design Feed Rate (split tails) t/h 254.4 84.8 84.8 84.8 Cyclones Size (Diameter) mm 250 250 250 Number # 9 9 9 Design Feed Rate t/h 594 198 198 198 Screen Number # 3 3 3 Feed rate t/h 405 135 135 135 Aperture um 300 - 500 301 - 500 302 - 500 Screen oversize t/h 345 115 115 115 Tailings Dry stack offline t/h 597.9 199.3 199.3 199.3 Dry stack t/h 345 115 115 115 Fine Tails t/h 252.9 84.3 84.3 84.3 Water Albemarle Corporation | Wodgina Lithium Operation S-K 1300 Technical Report Summary February 11, 2026 SLR Project No.: 000.V00720.00RP2 14-14 Parameter Units Combined Train 1 Train 2 Train 3 Raw Water Demand m3/h 270 90 90 90 GL/a 2.5 Storage m3 1,064 RW to Proc water make up m3/h 46.5 15.5 15.5 15.5 Process Water Storage m3 5,000 Demand m3/h 6,600 2,200 2,200 2,200 Reagents Flocculant Cons Thickener Dose Rate g/t 5 5 5 Tailings Thickener Dose Rate g/t 50 50 50 Storage days 7 Oleic Acid Dose Rate g/t 2,947 2,947 2,947 Storage days 7 Soda Ash Dose Rate g/t 735 735 735 Storage days 9 Pine Oil Dose Rate g/t 20 20 20 Storage days 7 14.2.2 Mass Balance Table 14-2 shows a simplified version of the Mass Balance as sourced by the Minnovo document P037-CAL-PR-001. As noted, the plants have not achieved designed criteria for several reasons, of note is the change in product specification from SC6.0 to SC5.5 to minimize the impact of the design issues. Albemarle Corporation | Wodgina Lithium Operation S-K 1300 Technical Report Summary February 11, 2026 SLR Project No.: 000.V00720.00RP2 14-15 Table 14-2: Mass Balance Stream Comminution Deslime Iron Removal Pre Flotation Lithium Flotation Description Units Crushing Grinding Cyclone O/F Cyclone Overflow Cyclone Underflow Combined Mags Non Mags Concentrate Tailings Concentrate Tailings Solids dt/h 923.1 230.8 13.7 217.1 18.2 198.9 1.7 197.2 31.3 165.9 SG t/m3 2.70 2.70 2.70 2.70 3.50 2.64 2.75 2.64 3.10 2.57 m3/h 341.9 85.5 5.1 80.4 5.2 75.3 0.6 74.7 10.1 64.6 Water t/h 28.5 428.7 792.8 130.5 413.5 448.2 10.1 453.1 3.5 452.9 SG t/m3 1.00 1.00 1.00 1.00 1.00 1.00 1.00 1.00 1.00 1.00 m3/h 28.5 428.7 792.8 130.5 413.5 448.2 10.1 453.1 3.5 452.9 Slurry t/h 951.6 659.5 806.5 347.6 431.7 647.1 11.8 650.3 34.8 618.8 % solids 97.0% 35.0% 1.7% 62.5% 4.2% 30.7% 14.4% 30.3% 89.9% 26.8% m3/h 370.4 514.2 797.9 210.9 418.7 523.5 10.7 527.8 13.6 517.5 SG t/m3 2.57 1.28 1.01 1.65 1.03 1.24 1.10 1.23 2.56 1.20 Li2O % 1.25 1.25 1.03 1.26 2.99 1.16 1.09 1.16 6.00 0.25 Units 1,154 289 14 274 44 231 2 229 188 41 Recovery 100% 5% 95% 15% 80% 1% 79% 65% 14% Albemarle Corporation | Wodgina Lithium Operation S-K 1300 Technical Report Summary February 11, 2026 SLR Project No.: 000.V00720.00RP2 14-16 Table 14-3 shows a summarized version of the Mechanical Equipment list as sourced by the Minnovo document P037-LST-ME-001. Table 14-3: Mechanical Equipment List Description Vendor Model Units Primary Crusher Metso 60-89 MK 11 Superior Gyratory 1 Secondary Crusher Symons 7" Cone Crusher 2 Tertiary Crusher CSI HPGR 4 Screen Schenk Double Deck 3 Ball Mill CITIC 2.6MW Mill - Ø4.57 x 6.49m EGL 3 Deslime Cyclone Clusters Weir 150CVX10 / 250CVX10 CAVEX 6 LIMS Steinert 1200x3050 Wet Drum 6 WHIMS Longi Magnet Co LGS-3000 6 Spiral Separator Banks 6 Shaking Tables 6 Primary Cyclone Cluster Weir 650CVX-BP CAVEX 3 Pre-Flotation Rougher Cells Metso RCS40HD 12 Pre-Flotation Cleaner Flotation Cells Metso RCS5HD 9 Rougher Flotation Cells Metso RCS40HD 12 Scavenger Flotation Cells Metso RCS40HD 12 First Cleaner Flotation Cells Metso RCS40HD 9 Second Cleaner Flotation Cells Metso RCS40HD 12 Third Cleaner Flotation Cells Metso RCS40HD 6 Concentrate Belt Filter JORD J305 4V24 3 Concentrate Thickener Outotec 15m Diam HRT 3 Tailings Dewatering Cyclone Pack Weir 12x250CVX10 CAVEX 3 Tailings Thickener Outotec 26m Diam HRT 3 RO Plants Osmoflo 3 Flocculant Blower BASF Greenco 1 Flotation Air Blowers Metso ES126-5P 9 Air Compressor Atlas Copco G200 2


 
Albemarle Corporation | Wodgina Lithium Operation S-K 1300 Technical Report Summary February 11, 2026 SLR Project No.: 000.V00720.00RP2 15-1 15.0 Infrastructure Wodgina is operated 24 hours a day through all seasons and is supported by significant infrastructure including crushing plant, spodumene concentrator trains, water bore fields, natural gas pipeline and power station, accommodation camp, administration buildings, maintenance facilities, diesel storage, aviation fuel storage, access roads, dedicated airport able to service Airbus A320 jets, water storage and tailings storage facilities. 15.1 Site Access The Operation is primarily accessed via the Great Northern Highway, which provides direct connectivity from Port Hedland, approximately 120 km to the north. This route facilitates the transport of goods and services to and from site. Once the lithium concentrate is processed, it is transported by truck along the fully sealed Great Northern Highway, before reaching the port in Port Hedland. This direct road route ensures efficient and reliable transport of the product for export. On site, the roads are mostly gravel, while sealed bitumen roads surround the processing plant. 15.2 Airport The Wodgina airport, owned by the MARBL Joint Venture but operated by a wholly owned subsidiary of MRL, currently has approximately six flights a week from Perth. The Airport Agreement between PMI (wholly owned subsidiary of MRL), includes management and operation of the airport facility, booking of flights, transport to the airport, liaising with incoming and outgoing flights and checking in and checking out travelers. The nearest large regional airport is located in Port Hedland. 15.3 Port Concentrate produced is transported by road to Port Hedland, which hosts an international deep-water port facility for export to global markets. 15.4 Site Buildings The on-site buildings include workshop facilities, two accommodation camps, stores, fuel storage and refueling facilities, explosive magazine compounds, process water ponds, a laboratory, administration facilities, offices, and ablution facilities (Figure 15-1). Albemarle Corporation | Wodgina Lithium Operation S-K 1300 Technical Report Summary February 11, 2026 SLR Project No.: 000.V00720.00RP2 15-2 Figure 15-1: Site Layout Source: Google Earth 2024 Albemarle Corporation | Wodgina Lithium Operation S-K 1300 Technical Report Summary February 11, 2026 SLR Project No.: 000.V00720.00RP2 15-3 The accommodation village on-site currently houses 550 people. A new camp (Kangan camp) was commissioned in 2025 with an additional 200-room capacity. The Accommodation Camp Agreement includes the operation and management of the accommodation camp, catering services, janitorial services and waste management. Accommodation camp rates are based on per-person-day rates that reflect the level of camp occupancy. 15.5 Power Supply The power supply is generated by an on-site gas-fired power station, which MARBL owns and MRL operates on behalf of the MARBL. The power station has an installed capacity of 48 MW and supplies energy to the entire Operation through an extensive distribution network. The gas is delivered to site via a lateral pipeline connected to the Pilbara Energy Pipeline, with the necessary transport agreements in place to facilitate this supply. The gas required to run the power station is sourced from multiple suppliers under rolling annual contracts. For 2024/2025, a firm supply of 43.9 TJ per day was secured through an agreement between the Company and Shell Energy Australia Pty Ltd. The Company also has an agreement with Gas Trading Pty Ltd, allowing them to purchase additional gas on the spot market as required. 15.6 Water Supply 15.6.1 General Overview Wodgina is located in the Pilbara region of northwestern Western Australia, approximately 110 km west of Marble Bar and 100 km south of Port Hedland. The hot desert climate is known for its very hot summers, with most rainfall occurring during the summer, sometimes with intense short-term rainfall due to tropical cyclones. Annual average rainfall at Marble Bar is 300-350 mm, but annual pan evaporation approaches 4,000 mm. In this environment, Wodgina relies on groundwater as its primary source of water supply. The hydrogeology for the mining area at the Operation is described in Sections 7.3 and 0; as noted above, pit inflows are minimal, intermittent, and contribute little to water supply. Water supply security for Wodgina must be considered in the context of water demand, which is driven by mineral processing (with some water ultimately exported in spodumene concentrate, but mostly contained in tailings in TSFs), dust suppression and potable water requirements. At any stage of development of processing capacity, the demand is relatively constant, but demand will obviously increase as the plant expands to three trains. Figure 15-2 shows a simplified flow sheet for water supply on site. The break tank is like a raw water pond, accepting water from multiple sources, including seepage from the TSFs and pumping from the old Wodgina Pit which acts as a small water reservoir on site. Before use in the process plant, water is treated by reverse osmosis, currently with two RO plants and a small RO plant for potable water supply (drinking water, gland water etc.). Brine from the RO plants and some other poor quality sources on site are used to supply a water cart for dust suppression. The Atlas in-pit TSF is operated with decant ponds and efforts are made to return supernatant to the process pond; seepage recovery bores at TSF3E and the Atlas in-pit TSF can provide supplementary water supply when groundwater flows are present. The simplified flowsheet does not show RO rejects which accounts for approximately 30% of the throughflow and are disposed of by evaporation in lined evaporation ponds. The two larger RO plants are currently approved to produce 0.82 GL/y of reject water. Albemarle Corporation | Wodgina Lithium Operation S-K 1300 Technical Report Summary February 11, 2026 SLR Project No.: 000.V00720.00RP2 15-4 Figure 15-2: Simplified Water Flow Sheet 15.6.2 Borefields Groundwater is currently pumped from multiple bore fields within and beyond the mining area. Groundwater is drawn from several bore fields in fractured rock aquifers offsite, incorporating the: • Old borefield 8 km to the north of the mining area, with current capacity of 9 L/s; • North borefield 18 km to the north, with current capacity of 17 L/s; • Breccia borefield 25 km to the east, with current capacity of 21 L/s; • Pipeline borefield 15 to 20 km to the east, with current capacity of 28 L/s; • Atlas borefield just south of the mining area, with current capacity of 17 L/s, and • Airstrip borefield just north of the mining area, with current capacity of 9 L/s. Combined with several other abstraction points, these sources can support a current maximum raw groundwater abstraction capacity of 171 L/s, presently constrained by infrastructure. The Operation holds a license to abstract up to 5.61 GL/yr (177 L/s), discussed further in Section 17.0. MARBL reports a current average abstraction rate of about 113 L/s. MARBL has developed a plan to ensure security and diversity of water supply over the next five years to 2030 as Train 3 ramps up towards steady state operations. The plan incorporates: • Integration of new abstraction bores in the Northern Plains borefield into the mine water scheme, with potential for an additional 30 L/s. • Duplicating the “Breccia Tank” to “Break Tank” pipeline, with potential to yield an additional 30 L/s. • Duplicating the Breccia Corridor pipeline to allow for development of further water supplies south of the existing Breccia borefield. • Investigation of identified potential new borefields or borefield expansions, particularly in proximity to or expansion of existing borefields.


 
Albemarle Corporation | Wodgina Lithium Operation S-K 1300 Technical Report Summary February 11, 2026 SLR Project No.: 000.V00720.00RP2 15-5 • Investigation of water offtake agreements with local third parties. • Applications for tenure for water exploration and borefield development, incorporating native title negotiations. • Applications for permits to construct and test wells, and amendments to the current license to take water to incorporate the new sources and increases in abstraction capacity. Highly transmissive groundwater resources in the region are well described in a report by Golder in 2019. There is a wealth of experience in development of new groundwater sources in this area, and the operator’s confidence in meeting demands by adaptive management is considered justifiable. The operating team has experience and appears to understand the expansion plans, the time required to gain approval for exploration and the time required to develop and gain approval to take additional groundwater resources. SLR notes there is some evidence that the yield of existing bores is decreasing slightly, but such decreases can be compensated for by adding additional capacity to current rates. SLR highlights that the LOM presented in this Report includes the addition of a third train in 2028 allowing the Company suitable time if additional water sources are required. 15.6.3 Water Balance Available reports do not provide detailed information to identify all flows in the simplified flowsheet. Annual environmental reports are focused on reporting the water quality in pumping and monitoring bores rather than the volumes that have been pumped and how the water has been used. SLR is however of the opinion that the Operation does not require dynamic water balance modeling since flows are relatively steady and controlled by plant throughput and tailings slurry density; however, it is recommended to ensure no shortages occur in the future. It appears that the water demand of each train is approximately 50 L/s and that about 30 L/s is needed for dust suppression and potable water. 15.7 Tailings Disposal 15.7.1 General Overview The tailings are split into either the coarse stream or fine stream in the ore processing plant. The coarse tailings (approximately 55% of the total tailings produced) from the ore processing are dewatered to a moisture content of approximately 25% (by weight) before being trucked to the EWL for co-mingling with waste rock. The remaining (approximately 45%) conventionally thickened fine tailings were previously pumped to TSF3E and deposited into the Atlas In-Pit TSFs southwest of the EWL; however, all tailings are currently pumped to the Altas in-pit TSF. There are four (4) existing tailings storage facilities (TSFs) including TSF 1, 2, 3 (and 3E), and the Atlas in-pit TSF. A fifth TSF is planned to be constructed to the south of the Altas pits and is referred to as the Southern TSF (“Basin 4”). Albemarle Corporation | Wodgina Lithium Operation S-K 1300 Technical Report Summary February 11, 2026 SLR Project No.: 000.V00720.00RP2 15-6 Figure 15-3: Atlas Tailings Storage Facilities Source: MRL 2025 Albemarle Corporation | Wodgina Lithium Operation S-K 1300 Technical Report Summary February 11, 2026 SLR Project No.: 000.V00720.00RP2 15-7 TSF1 is a paddock-type storage facility with TSF2 and TSF3 constructed as valley storage facilities. TSF1 and TSF2 are decommissioned and have had infrastructure built on top, while TSF3 is inactive and has had a capping applied as a dust mitigation measure. TSF3 was partially remined and is planned to be reprocessed as part of the LOM Plan; the limited remining campaign was approved subject to constraints to maintain geotechnical stability and subsequent backfill and capping of the reclaim area (Section 17.2.10). The above three facilities have been capped and are utilized for other purposes such as: • Heavy Mining Equipment (HME) Workshop, Stores and Offices. • ROM Pad, Skyway, and Fixed and mobile crushing areas. • Dry stack load out, Fuel Storage and refueling. • Laydown Areas, Monitoring Bores. • ERT Training, Stockpiles, and Infrastructure corridors. TSF3E was designed to store 3.0 Mt of tailings solids (based on 1.5 t/m3 dry density), with an approximate tailings surface area of 13 ha and a maximum embankment height of 37 m. TSF3E is located in a steep-sided valley at the upstream south wall of existing TSF 3. The TSF3E embankment is partly founded on the southern embankment of TSF3, which has been raised from the RL 260 m crest level to RL 275 m crest level. The downstream raise of TSF3 embankment extends into the TSF3E footprint (noting the embankment is not supported on tailings), onto the natural rock slope at the left (west) abutment and onto the existing mine waste pile at the right (east) abutment. A bituminous geomembrane (BGM) liner over geotextile (Bidim A34) was installed on the upstream face of the embankment to reduce seepage losses. An 8 m zone of compacted select mine waste forms the tailings storage side of the embankment. This zone was constructed to extend the embankment onto the mine waste dumps at the eastern side of the facility, with the BGM liner extended along the eastern side of the embankment. The decant access ramp that separates the main embankment from the eastern embankment is not lined with BGM. The decant pump infrastructure is positioned on the access ramp to recover water for mineral processing. The upstream toe of TSF3E embankment incorporates a keyway trench excavated to 'rock' in order to reduce seepage losses. Tailings deposition from a single point discharge (two adjacent tailings delivery pipelines) was positioned at the head of this cross-valley TSF. Tailings deposition into TSF3E ceased on July 25, 2023. Figure 15-4 shows TSF3E in August 2023. Albemarle Corporation | Wodgina Lithium Operation S-K 1300 Technical Report Summary February 11, 2026 SLR Project No.: 000.V00720.00RP2 15-8 Figure 15-4: TSF3E Source: Red Earth Engineering 2023. Tailings deposition into the Atlas in-pit TSFs (Constellation, Dragon, Arvo and Anson) commenced on 26 July 2023. As the respective pits fill with tailings, the discharge point is moved as required, with the decant pond and pump progressively moved up the respective haul ramps. The tailings deposition plan calls for tailings deposition to be cycled between the pits, such that the pits are filled concurrently. Anson and Arvo Pits are planned to receive tailings 84% of the time, with Dragon and Constellation Pits receiving tailings 10% and 6% of the time, respectively (i.e. 3 and 2 days per month, respectively). The intent of this deposition strategy is to optimize the consolidation of the tailings during operations to decrease tailings permeability and reduce seepage losses from the pits. The Atlas pits presently provide near-term tailings storage capacity up to Q4 CY2026 and MARBL proposes to increase the currently approved capacity Atlas in-pit TSF by about 6 Mm3 by raising embankments above ground level around the facility, to an elevation of 290 mAHD for the Anson and Constellation pits, and 275 mAHD for the Dragon pits. MARBL intends that the raise will provide capacity for another 3½ years to 2030; construction began in August 2025 and should be complete by mid-2026. Works approval for the raise for the Anson pits was secured in June 2025, as addressed in Section 17.2.10. For medium term tailings storage, MARBL proposes to construct the Southern TSF in a natural basin to the south of the Atlas pits for an additional 16 Mt (about six years) of storage. MARBL intends to secure approval by mid-2028 (Section 17.2.10) for construction to begin in late 2028 and deposition to start in early 2030; MARBL is permitted to stockpile suitable waste rock near the proposed embankment in the meantime under current approvals to manage haulage costs.


 
Albemarle Corporation | Wodgina Lithium Operation S-K 1300 Technical Report Summary February 11, 2026 SLR Project No.: 000.V00720.00RP2 15-9 As it is currently planned, this TSF will not meet the needs of the LOM presented in this Report. MARBL has identified potential suitable sites to the north and northwest but has not yet sought regulatory approval. While a risk for the LOM, SLR does not envisage a material impediment to the granting of the required approvals to support ongoing operations. 15.7.2 Design Responsibilities and Engineer of Record The TSF designs for the Atlas In-Pit TSFs (Constellation, Dragon, Arvo and Anson) were executed by CMW Geosciences Pty Ltd (CMW) in July 2022 in accordance with the: • Western Australian Department of Mines and Petroleum (2013). ‘Code of Practice, Tailings Storage Facility in Western Australia’ • Western Australian Department of Mines and Petroleum (2015). ‘Guide to the preparation of a design report for tailings storage facilities (TSFs). Chris Hogg from CMW has been involved for many years, since the late 1990s/early 2000s and is known to have completed the annual TSF audits in 2019, 2020 and 2022. He has over 35 years of tailings management, dams design and construction experience. Todd Armstrong, Principal Tailings Engineer with Red Earth Engineering (REE) executed the annual TSF audit in August 2023. Todd has over 25 years of tailings management, dams design, and construction experience. The cover designs for the Atlas Pits were completed by O’Kane Consultants Pty Limited in August 2023. The report titled ‘Atlas In-Pit Tailings Storage Facility Above-Ground Expansion’, dated 19 January 2024, has been prepared by REE in accordance with the Western Australian regulatory requirements listed above. In addition to these requirements, REE conducted a Consequence Category Assessment (CCA) for the Atlas TSF based on the Australian National Committee on Large Dams (ANCOLD) ‘Guidelines on Planning, Operation and Closure of Tailings Dams (2019)’. This design provides an additional 6.22 Mm3 of storage above the approved 3.54 Mm3 of storage. The TSFs are managed directly by operations personnel. The WLP Production/Processing Manager has overall operational accountability for the TSFs. It is understood that MRL has employed qualified staff, experienced in tailings management, dams design, and construction internally managing the tailings aspects of their business, with the design and independent auditing of tailings facilities outsourced to external tailings consultants (CMW, REE). It is assumed, in the absence of documentation, that the role of Engineer of Record (EoR) for the Wodgina TSFs is performed by MRL personnel with assistance from WLP, with the design and annual TSF audit being executed by independent entities, CMW and REE. 15.8 Production Capacities and Schedule Details from the CMW 2019 Strategy Study are presented in Table 15-1 below. These details are based on an annual tailings production of 4.79 Mtpa (dry) and storage volume requirement of 3.42 Mm3 pa. Albemarle Corporation | Wodgina Lithium Operation S-K 1300 Technical Report Summary February 11, 2026 SLR Project No.: 000.V00720.00RP2 15-10 Table 15-1: Fine Tailings Storage Capacity Facility Wet Tailings Storage Volume (Mm3) Storage Life (years) Atlas TSF (with bunds to RL 285 m) 2 1.5 Atlas TSF (with bunds to RL 290 m) 5.5 4 Southern TSF Site 1 TBC when design finalized 32.2 Totals TBC 37.7 Source: MARBL 2025. Figure 15-5 shows the proposed location of the Southern TSFs from the 2025 designs completed by MRL. Further review is underway to confirm the final design; however this is anticipated to account for the remainder of the mine life. The Wodgina coarse tailings will continue to be co-mingled within the mine waste dumps. The details presented above demonstrate adequate future storage capacity for the fine tailings; however, SLR notes additional approvals are required for the Southern TSF, as discussed in Section 17.0. Albemarle Corporation | Wodgina Lithium Operation S-K 1300 Technical Report Summary February 11, 2026 SLR Project No.: 000.V00720.00RP2 15-11 Figure 15-5: Southern Sites 1 and 2 Albemarle Corporation | Wodgina Lithium Operation S-K 1300 Technical Report Summary February 11, 2026 SLR Project No.: 000.V00720.00RP2 16-1 16.0 Market Studies 16.1 Introduction Albemarle engaged Fastmarkets to provide a marketing study to support lithium pricing assumptions. A summary of the lithium market has been provided to offer context on developments and the basis for Fastmarkets’ assessment of price. Historically, lithium applications were concentrated in ceramics, glasses, and greases. However, the landscape has shifted dramatically as demand for portable energy storage solutions has expanded significantly. The proliferation of rechargeable batteries in portable consumer devices, including mobile phones and laptop computers, coupled with the recent emergence of electric vehicles, has fundamentally altered lithium consumption patterns. Battery applications represented 40.1% of lithium consumption in 2016. Since that time, battery demand has demonstrated remarkable growth, expanding at a compound average growth rate of 32.7% annually between 2016 and 2024. This growth trajectory has resulted in battery applications now accounting for 82.0% of total lithium consumption, establishing batteries as the dominant driver of lithium demand. Beside EVs and other electrically powered vehicles (eMobility), lithium-ion batteries (LIBs) are starting to find increasing use in energy storage systems (ESS). While energy storage systems currently represent a minor market segment, this sector is anticipated to experience rapid expansion as it addresses critical challenges related to renewable energy integration and grid stability. As EVs become the established mainstream methods of transport – helped in no-small part by government incentives on EVs and forthcoming bans on vehicles with combustion engines – demand for lithium is forecast to rise to several multiples of historical levels. 16.2 Lithium Demand In recent years, the lithium industry has gone through an evolution. The ceramic and glass sectors have lost their dominant position to the growth in mobile electronics and most recently to EVs. The development of electric vehicle technology followed a measured progression that accelerated dramatically in recent years. The Toyota Prius, introduced at the end of 1997 as the first mass- market hybrid petrol-electric vehicle, utilized nickel-metal hydride battery technology that did not require lithium. Commercial fully electric lithium-ion battery powered vehicles emerged in 2008 with the Tesla Roadster, followed by the Mitsubishi i-MiEV in July 2009. Initial market adoption proceeded gradually as charging infrastructure development, model diversification, and range improvements established the foundation for subsequent acceleration. The electric mobility sector, encompassing all electrically powered vehicles, has emerged as the primary driver of overall lithium demand growth. Fastmarkets estimates that total lithium demand reached over 1M tonnes LCE in 2024, with electric vehicles representing 63% of this consumption. Fastmarkets believes that demand for EVs will continue to accelerate in the next decade, as they become increasingly affordable, and a greater range of models enter the market. Legislation will also force the transition in the mid-term. Additionally, commercial fleet


 
Albemarle Corporation | Wodgina Lithium Operation S-K 1300 Technical Report Summary February 11, 2026 SLR Project No.: 000.V00720.00RP2 16-2 electrification is expected to advance as governments and businesses seek to develop green domestic transportation networks. Figure 16-1: Global EV Sales and Penetration Rates (000 vehicles, %) Further out, the BEV segment will come to dominate the EV sector, as both residential and commercial transport in developed markets increasingly shifts to BEVs and away from hybrids, and as developing markets benefit from the deflating BEV prices. The resurgence in popularity of PHEVs in the US and China gives it a longer potential sales period, where its high CAGR rate is driven by its current low sales base. Albemarle Corporation | Wodgina Lithium Operation S-K 1300 Technical Report Summary February 11, 2026 SLR Project No.: 000.V00720.00RP2 16-3 Figure 16-2: Global Lithium Demand in Key Sectors (000 LCE tonnes) Looking forward, Fastmarkets expects demand from eMobility, especially BEVs, to continue to drive lithium demand growth. While traditional and other areas will all continue to add to lithium demand, the significance of the EV sector for the lithium supply-demand balance requires deeper discussion. Alternative BEV technologies or societal developments could influence lithium demand trajectories. Household car sharing preferences rather than ownership models, autonomous vehicle development enabling transport-as-a-service paradigms where ride hailing and car sharing become normalized particularly in densely populated areas, could reduce global vehicle populations. Energy storage and powertrain technologies continue evolving, with hydrogen fuel cells and sodium-ion batteries representing potential market share competitors. China's electric vehicle demand remains robust, with CATL leading the industry through recent battery technology announcements expanding addressable markets. Electric vehicle uptake decelerated in Western Europe during 2024, primarily due to German and French economic weakness. However, the German electric vehicle market has rebounded and now leads European sales volumes in 2025. The French electric vehicle market continues struggling with subsidy losses, but increased imports, new models, and improving infrastructure indicate this represents a temporary rather than structural challenge. The ESS market gained significant momentum in 2024. Fastmarkets continue to forecast significant, strong year-on-year growth. But US tariffs on Chinese ESS cells threaten the price- competitiveness of imports and the sustained growth of ESS deployments in this leading market. Despite these negative factors, including ongoing military conflicts, BEV sales growth remains robust but is being more heavily supported by PHEV sales in China than in previous years. Albemarle Corporation | Wodgina Lithium Operation S-K 1300 Technical Report Summary February 11, 2026 SLR Project No.: 000.V00720.00RP2 16-4 Many Japanese original equipment manufacturers initially demonstrated reluctance toward wholehearted electric vehicle adoption, apparently motivated by Japan's energy import requirements for electricity production. Toyota particularly championed hydrogen fuel cells as alternatives to or parallel with electric vehicles. However, recent years have seen these manufacturers signal intent to transition to electric powertrains. While electric vehicles demonstrate lower lifetime operating costs compared to internal combustion engines, initial purchase costs can be prohibitive. Higher-end vehicles manage this cost within overall vehicle price contexts, but entry-level and smaller vehicles face battery pack cost hurdles preventing battery electric vehicle competitiveness with internal combustion engine vehicles. General consensus indicates $100 per kilowatt-hour at pack level represents the approximate global benchmark for battery electric vehicles to achieve price parity with internal combustion engine vehicles. One of the most significant developments involves new dominance by Chinese brands internationally beyond domestic markets. China surpassed Japan as the largest car exporter, with brands like BYD achieving impressive market shares in numerous countries including European markets. This success results from highly competitive pricing, as competition among Chinese manufacturers is likely increasing electric vehicle adoption in various markets. Although concerns exist regarding raw material availability, charging infrastructure, and initial costs, Fastmarkets believes many barriers are being progressively eliminated. Besides the cost of EVs relative to ICEs, range anxiety will continue to dissuade the uptake of BEV, particularly in markets where vehicle use is necessary for travel. This anxiety will only diminish as battery ranges increase, charging times diminish and charging infrastructure improves. Instead, where range anxiety is an issue, PHEV sales will partly compensate. Fastmarkets expects near- to mid-term electric vehicle market growth to remain robust. The most significant near-term threats are macroeconomic rather than electric vehicle specific. Fastmarkets' macroeconomic forecast anticipates somewhat slower global economic growth in 2025-2026, driven by high interest rates, low investment rates, and decelerating Chinese economic growth. United States economic performance continues outperforming Europe due to greater consumer resistance to higher interest rates. Consumer spending represents a significantly greater share of United States regional economy compared to Europe, where industrial and investment slowdowns combined with decelerating Chinese demand impact purchasing activity more severely. The Chinese economy experienced slower growth in 2024 compared to the 2023 rebound year but maintains comparably significant growth rates. Some Chinese macroeconomic strategists anticipate slower but healthier future growth. Current uncertainty regarding United States tariffs threatens to reduce international trade, increase product prices, and slow economic growth. This economic outlook will dampen new vehicle sales expectations, but while Fastmarkets expects total vehicle sales to be negatively impacted, the majority of impact will focus on internal combustion engines. Electric vehicles, with reduced operating costs and lower duties in some areas, are viewed as cost-cutting measures and more future-proof investments. With some original equipment manufacturers reducing electric vehicle costs to grow or maintain market share, electric vehicles appear increasingly attractive compared to internal combustion engines. Government-imposed targets and legislation banning internal combustion engine vehicle sales support strong electric vehicle uptake growth expectations once immediate economic challenges are overcome. However, OEMs and public pressure are increasing the debate around these targets, likely pushing some forward by several years. This development does not Albemarle Corporation | Wodgina Lithium Operation S-K 1300 Technical Report Summary February 11, 2026 SLR Project No.: 000.V00720.00RP2 16-5 discount risks to electric vehicle uptake including alternative fuels, different battery types, or shifts in car ownership that would reduce electric vehicle or lithium-ion battery demand. Overall, Fastmarkets forecasts electric vehicle sales reaching 50 million by 2032. At 56% of global sales, this represents impressive acceleration while highlighting room for continued growth. 16.3 Lithium Supply Up until 2016, global lithium production was dominated by two deposits: Greenbushes (Australia, hard rock) and the Salar de Atacama (Chile, brine), the latter having two commercial operators, Albemarle and SQM. Livent, formerly FMC Corp, was the third main producer in South America with an operation in Argentina, Salar del Hombre Muerto. Tianqi Lithium and Ganfeng Lithium were the two main Chinese lithium players, growing domestically and overseas with Tianqi buying a 51% stake in Greenbushes and Ganfeng Lithium developing lithium mining and production facilities in China, as well as investing in mines and brine operations in Australia and South America. In 2016 global lithium supply was about 187,000 tonnes LCE. Supply expansion achieved a 27% CAGR between 2016 and 2024, responding to positive demand projections from the emerging Electric Vehicle industry. Australia, Chile, and China drove the majority of this growth trajectory. The supply response exceeded demand requirements, necessitating the placement of certain operations on care and maintenance status between 2018 and 2020. Supply contracted by 7,000 tonnes in 2020 due to production reductions, decreased demand, and COVID-19 related operational constraints including social distancing measures. Recovery commenced in 2021, with supply increasing 37% year-over-year to reach 538,000 tonnes of LCE, driven by post-pandemic stimulus measures and increasingly favorable long- term demand projections. This recovery resulted in a 437% price increase from the beginning of the year, which incentivized supply expansion initiatives. Strong growth momentum continued with supply increases of 42% and 37% year-over-year in 2022 and 2023, respectively. In 2024, 87% of global lithium supply came from just four countries: Australia, Chile, Argentina and China. This remainder of supply came from Zimbabwe, Brazil, the United States and South Africa. Fastmarkets expect spodumene production to maintain market share because of expansions and new mines in Australia coming online, as well as the emergence of Africa as an important lithium-mining region. In 2035, Fastmarkets expect spodumene resources to contribute about 1.36 million tonnes of LCE, or 48% of total supply, at the expense of brine’s share, which Fastmarkets forecast to drop to 35%, or 1.01 million tonnes of LCE. Remaining 17% to be filled mostly by other hard rock sources, mainly lepidolite. The successful implementation of DLE technology could also materially affect production from brine resources. Fastmarkets expect Eastern Asia (China) to be the largest single producer globally in 2035, accounting for 30% of supply, followed by South America with 28% and Australia and New Zealand at 25%. Looking forward, as discussed above, Fastmarkets forecasts that demand will grow significantly. However, supply is also adapting in tandem and outpacing demand in the near term. Global mine supply in 2024 was 1,042,869 tonnes LCE. Based on Fastmarkets’ view of global lithium projects in development, mine supply is forecast to increase from to 2,854,357 in 2035 – a CAGR of 8%.


 
Albemarle Corporation | Wodgina Lithium Operation S-K 1300 Technical Report Summary February 11, 2026 SLR Project No.: 000.V00720.00RP2 16-6 This potential growth in supply is restricted to projects that are ‘brownfield’ expansions of existing projects or ‘greenfield’ projects that Fastmarkets believes likely to reach production. Such projects are at an advanced stage of development, perhaps with operating demonstration plants and sufficient financing to begin construction. ‘Speculative projects’, which are yet to secure funding or have not commissioned a feasibility project, for example, have been excluded until they can demonstrate that there is a reasonable chance that they will progress to their nameplate capacity. Figure 16-3: Forecast Mine Supply (000 tonnes LCE) The lithium industry has witnessed extensive new development projects and expansions incentivized by elevated pricing during 2022 and early 2023, supported by government policy and fiscal measures. The Inflation Reduction Act exemplifies how subsidies can incentivize Electric Vehicle supply chain development, while Europe demonstrates strong emphasis on supply chain resilience enhancement. The Trump Administration has adopted a proactive approach regarding raw materials supply chains, providing funding support for various commodity projects including rare earths and antimony. Supply additions from restarts, expansions, and greenfield projects commenced in 2023, leading to rapid supply increases, particularly within China. The market was unprepared for the speed of Chinese producers' response to 2021-2022 supply constraints. China rapidly developed domestic lepidolite assets and imported Direct Shipping Ore from Africa, primarily Zimbabwe and recently Nigeria. The combination of planned increases and accelerated Chinese response has created oversupply conditions. Current market conditions feature ongoing supply ramp-up concurrent with high-cost production curtailments. Recent supply restraint has primarily originated from non-Chinese producers, a trend expected to continue, although increasing production restraint is emerging within China. In July, local administrations implemented measures controlling lepidolite mining pollution and constraining high-cost supply. The net result is that there are no nearby concerns about supply shortages, although bouts of restocking could lead to short-term periods of tightness. Over the longer term, there is no room for complacency. Chinese production seems less prone to suffering delays — as shown with the ramp-up of domestic lepidolite and African spodumene projects. But in most cases, new Albemarle Corporation | Wodgina Lithium Operation S-K 1300 Technical Report Summary February 11, 2026 SLR Project No.: 000.V00720.00RP2 16-7 capacity experiences start-up delays (such as issues with gaining permits, as well as labor, know-how and equipment shortages). 16.4 Lithium Supply-Demand Balance Despite a low-price environment and selective production curtailments—primarily by higher- cost, non-Chinese producers—global lithium supply continues to grow. Concurrently, electric- vehicle (EV) adoption rates, while still robust, have decelerated from post‑COVID peaks exceeding 40 % year‑on‑year to an anticipated average of 20 % annual growth over the coming years. • Supply Trends: o The 2021–2022 price surge catalyzed a significant expansion of production capacity, some of which remains in ramp‑up phase. o Higher-cost assets have been curtailed, moderating supply growth but not reversing the trend. • Demand Trends: o EV-related lithium demand is forecast to rise by roughly 20 % per annum, slower than the >40 % growth observed in the early post-pandemic period. o Overall demand growth has fallen short of prior expectations. • Surplus and Deficit Outlook: o A surplus is expected to persist through 2026, with an estimated oversupply of approximately 17,000 t LCE in 2026—equivalent to only approximately 1 % of that year’s projected demand. o Supply‑side restraint and investment reductions are now forecast to precipitate a return to market deficit in 2027, one year earlier than previous forecasts. • Risks to the Forecast: o Upside demand surprises, stemming from faster EV adoption or new industrial applications, could erode surplus more rapidly. o Delays or cancellations of permitted and financed projects may constrain supply growth, tightening the balance—especially in the late‑decade and early‑2030s period. Albemarle Corporation | Wodgina Lithium Operation S-K 1300 Technical Report Summary February 11, 2026 SLR Project No.: 000.V00720.00RP2 16-8 Figure 16-4: Lithium Supply-Demand Balance (000 tonnes LCE) Source: Fastmarkets 16.5 Lithium Prices Lithium prices have proven highly susceptible to shifts in the supply-demand balance and inventory cycles. From early 2018 through the second half of 2020, spot CIF prices for battery- grade lithium carbonate in China, Japan and Korea fell from about $20 per kg to a low of $6.75 per kg, a consequence of sustained supply increases that began in 2017. The subsequent recovery in 2021 and 2022, spurred by tightening margins, drove spodumene concentrate prices to exceed $8,000 per tonne in late 2022, while lithium hydroxide and carbonate reached peaks of $85/kg and $81/kg, respectively. During this period, many players across the cathode-active-material supply chain aggressively built inventories, not only to hedge against further price increases but also to prepare for what was expected to be another strong year of EV- driven battery demand in 2023. However, this optimism gave way to a sharp correction in early 2023, when spodumene prices plunged by nearly 40 %—to $4,850 per tonne by March—prompted by overextended stockpiles, rapid expansion of Chinese lepidolite and African direct-shipping ore exports, and weaker-than- forecast demand. As purchasers found themselves holding unhedged inventory in a falling market, destocking accelerated the downward momentum, driving lithium carbonate and hydroxide prices down by more than 85–90 % from their 2022 highs by year-end. A muted rebound followed the 2023 trough. After the Lunar New Year of 2024, lithium carbonate briefly climbed to $14.25/kg before sliding to $10.61/kg by September—a 30 % decline from January levels—and eventually reaching near $8/kg in early 2025, a level widely considered the market floor. Spodumene mirrored this pattern: trading around $850 per tonne in January 2024, rising to $1,232 per tonne in May, and then returning to approximately $600 per tonne in 2025. Despite these dramatic swings, current prices remain well above the 2020 lows, and early indications of producer cutbacks hint at the beginning of market consolidation. Whether these Albemarle Corporation | Wodgina Lithium Operation S-K 1300 Technical Report Summary February 11, 2026 SLR Project No.: 000.V00720.00RP2 16-9 price floors hold as structural baselines will depend on renewed demand growth and more disciplined supply management in the latter part of the decade. Figure 16-5: Spodumene Prices (6% lithia, spot, CIF China, US$/tonne) Source: Fastmarkets Now that the froth has come out of the market, Fastmarkets expect prices to find a base. In conversations with market participants Fastmarkets found more optimism than last year. Fastmarkets forecast is for hydroxide and carbonate prices to average $9.00 this year and then rise to $11 in 2026. Fastmarkets do not expect prices to fall to levels of the last trough in 2020, mainly for the following three reasons: first, China is still exhibiting relatively strong EV growth, whereas in 2020, EV sales were weak on 2019’s subsidy cuts and due to the fallout from Covid; second, inflation has had a big impact on the mining sector over the past few years; and third, ESS is now a major part of the demand growth story. Fastmarkets forecast that hydroxide, carbonate and spodumene prices will average $21.1 per kg, $22.25 per kg and $1,727 per tonne respectively between 2025 and 2035. For the purposes of the reserve estimate, Fastmarkets has provided price forecasts out to 2045 for the most utilized market price benchmarks. Fastmarkets recognizes that Albemarle’s current operations are expected to continue for at least another 20 years, but due to a lack of visibility and the recent significant changes in the market, prices beyond 2035 are unusually opaque for an industrial commodity. For this reason, the rationale beyond 2035 is to assume a little increase in nominal price to keep real price stable. Post-2035, the continued growth of demand for lithium from the EVs and ESS segments, will require a lithium price that continues to incentivize additional volume leading to more balanced markets. The lithium price will need to exceed the production cost for new projects and provide


 
Albemarle Corporation | Wodgina Lithium Operation S-K 1300 Technical Report Summary February 11, 2026 SLR Project No.: 000.V00720.00RP2 16-10 an adequate rate of return on investment to justify development. Though, this will be helped by an established and accepted EV market, which will support the long-term lithium demand. Most producers sell technical and industrial grade which need a final refining step to battery grade. Fastmarkets found that historically these products have traded consistently around 300- 1000$/t discount across all regions to reflect this cost for final refinement to BG. Fastmarkets expect this spread will continue going forward. Fastmarkets have provided a base, high, and low case price forecast, to give an indication of the range of which prices could sit, depending on reasonable assumptions around potential impacts to the base case market balance. With the exception of lithium carbonate and spodumene from 2032, Fastmarkets have lowered their base case to reflect the reduced forecast deficits, the speed at which it has been proven that new capacity can be added to the market, and new participants stepping into the lithium industry that will bring more stability to long-term supply growth and prices as they will be able to ride out the cycles. The high case has been revised to reflect greater potential elasticity in the high in a deficit market. The same relationship has been preserved in the low case, meaning there is greater potential elasticity in the low in a surplus market. Our high-case scenario is likely to occur either if the growth in supply is slower than expected or if demand growth is faster. The former becomes more probable the longer lithium prices remain below incentive levels because higher prices are needed to ensure next in-line supply is financed and built. This scenario could also unfold if China attempts to reform overcapacity, if DLE technology takes longer to commercialize, and if the West continues to suffer from permitting challenges, technology know-how, and scaling issues. Demand could exceed Fastmarkets expectation if EV adoption accelerates due to cost reductions or new incentive schemes, if ESS expands faster than expected driven by AI and data centers, and if global trade issues are quickly resolved. The low-case scenario could unfold if China continues to boost production in an unmeasured way and African mines that are in the pipeline start up quicker than expected. Demand could also fall short of expectations if the affordability of EVs remains a barrier to adoption, tariffs slow down ESS deployment, and sodium-ion battery technology rapidly evolves to take greater market share from LIBs. Between 2035 and 2045, Fastmarkets expects the lithium hydroxide and carbonate to be at a price parity. Albemarle Corporation | Wodgina Lithium Operation S-K 1300 Technical Report Summary February 11, 2026 SLR Project No.: 000.V00720.00RP2 16-11 Figure 16-6: Spodumene Long-Term Price Forecast Scenarios (6% Li2O spot, CIF China, US$/tonne, real (2025)) 16.6 Contracts All spodumene that is produced by Wodgina is trucked from the mine site to the port of Port Hedland. Each participant in the JV takes their share of production (50% MRL/50% Albemarle) and either converts it into a salt or sells into export markets. The assumption in the financial model is that the forecast consensus spodumene price is a proxy (SC6.0 forecast consensus price adjusted for SC5.5 product) for forecast realized price. Albemarle Corporation | Wodgina Lithium Operation S-K 1300 Technical Report Summary February 11, 2026 SLR Project No.: 000.V00720.00RP2 17-1 17.0 Environmental Studies, Permitting, and Plans, Negotiations, or Agreements with Local Individuals or Groups The following sections discuss the available information on the Operation’s environmental and social (E&S) aspects and the status with the approval and permitting requirements. Potential impacts to biodiversity and water resources, and the control of land disturbance, are the key local environmental concerns for the Operation. Potential impacts to cultural heritage, and the engagement, participation of and community development for local Indigenous people and traditional owners (TOs), are the key local social concerns for the Operation. MARBL has undertaken an E&S baseline and impact assessment in accordance with the local regulatory requirements. Where appropriate, E&S recommendations are provided in respect to E&S studies, future approvals and management plans and programs. SLR visited Wodgina on August 11 and 12, 2025, to view the operations and met with relevant MARBL staff on September 2, 2025, to discuss recent progress on permitting. The QP is of the opinion that there are no material E&S values limiting the current approved footprint or operations. However, there are potential biodiversity and cultural heritage limits associated with the expansion of waste rock and tailings storage that will be addressed through the Operation assessment and approvals process. There will be additional compliance costs associated with the key future project approvals and also with the Operation’s future compliance under the Safeguard Mechanism (“SGM”). 17.1 Environmental and Social Studies The Operation has completed environmental and social baseline assessment, impact assessment and associated technical studies to support project approval applications, covering aspects such as biodiversity, cultural heritage, water resources, waste rock, and tailings, as addressed in following sections. 17.1.1 Identification of Stakeholders The Operation is remote from any settled townsite, and the principal community stakeholders identified by MARBL comprise the native title holders and pastoral lease holders, described in Section 3.0. In addition, MARBL identifies the local Yandeyarra / Mugarinya community represented by the Mugarinya Community Association Inc, and the Aboriginal Prospecting Company Ltd (managers of the Kangan pastoral lease) as Indigenous stakeholders with connections to the land. In addition, MARBL identifies a variety of other stakeholders with significant influence on or interest in the Project, including relevant state regulators, local government, regional agencies and infrastructure operators, third party resources companies, employees, and shareholders. MARBL has adopted and documented a targeted engagement strategy incorporating such stakeholders in support of recent submissions for expansions of the Operation, including EWL2, and reports that it continues to engage with relevant stakeholders as part of ongoing operational management. Albemarle Corporation | Wodgina Lithium Operation S-K 1300 Technical Report Summary February 11, 2026 SLR Project No.: 000.V00720.00RP2 17-2 17.1.2 Cultural Heritage MARBL reports that between 1987 and 2019, 69 heritage surveys were conducted with participants from the Karriyarra native title People, and representatives of the Wamarranya and Yamatji Marlpa Aboriginal Corporations. Operations were suspended in 2019 and the site placed on care and maintenance; when the Operation recommenced in 2022, engagement with KAC resumed and since 2023 a further eight surveys have been completed. All surveys for the mining area are coordinated through KAC under a heritage protection agreement and are completed in conjunction with traditional owner representatives and heritage consultants endorsed by KAC. A number of registered sites and lodged places are currently recorded on the state register for Aboriginal cultural heritage within and around the footprint of operations. MARBL reports that in recognition of the long time since some heritage places were originally recorded, it has collaborated with KAC on ethnographic and archaeological surveys to bring heritage information up to current standards, over an area of 776 ha around the Operation. MARBL proposes to engage further with Karriyarra representatives to determine appropriate management measures for identified places of cultural significance. MARBL reports that it has engaged extensively with the Department of Planning, Lands, and Heritage (DPLH; the state regulator for Aboriginal heritage matters) on recent expansions of the Operation. MARBL reports that ethnographic and archaeological surveys were conducted on L45/105 (Breccia borefield and associated infrastructure) in 2023 with Nyamal representatives, with several heritage places identified and recorded in the Operation’s database; access to these places is not permitted. The state register records three sites (7116, 7117, and 7135) intersecting L45/105, for which the Operation holds and intends to maintain permits for access as addressed in Section 17.3.3. No sites of significance as listed on the state register for colonial heritage have been identified at the Operation. 17.1.3 Flora and Vegetation Several flora and vegetation assessments have been undertaken for the Operation. In 2020, ecological consultants Woodman Environmental Pty Ltd (Woodman) conducted a detailed flora and vegetation assessment of areas around the Operation that consolidated all previous survey findings with additional on-ground survey work where necessary for a comprehensive assessment of the local flora and vegetation. Woodman identified: • A variety of vegetation units typical for the central Pilbara associated with different soils and topography predominantly comprising low woodlands and/or shrublands over grasslands on ridges, slopes, and plains or along drainage lines. • No vegetation units corresponding to ecological communities listed for special protection under state or federal legislation (Section 17.3.1 below). • Potential for groundwater-dependent vegetation near the larger tributaries of the Turner River, but limited potential near the Operation based on local depths to groundwater. • Several flora species listed as priority P3 (poorly known, but from several locations, and not considered under imminent threat) by the state conservation regulator, and one of conservation interest as possibly undescribed, but no species listed as threatened under state or federal legislation.


 
Albemarle Corporation | Wodgina Lithium Operation S-K 1300 Technical Report Summary February 11, 2026 SLR Project No.: 000.V00720.00RP2 17-3 • From desktop review, various other flora of conservation concern that may inhabit the wider area; Woodman however determined that only three such species might inhabit the mining area and none of them were found by the field surveys. • A number of introduced flora species, one of which (Calotrope or rubber bush) is listed for special management under state biosecurity regulations. Further assessment reported by environmental consultants Umwelt in 2025 in support of approvals for EWL2 and other proposed expansions had broadly similar findings, with several P3 flora identified in the proposed footprint, but concluding that the impact on vegetation units and flora species would be limited in the context of their regional distribution. 17.1.4 Fauna and Habitat Ecological consultants Western Wildlife were commissioned by MARBL in 2019 to undertake a “Level 2” (detailed) vertebrate fauna survey of areas around the Operation. The study consolidated previous surveys with additional fieldwork and assessment in areas not previously surveyed. A variety of fauna habitats associated with different topography, vegetation, and drainage features have been identified around the Wodgina mining area that are mostly widespread in the region, although two habitats (ironstone ridgetops and rocky ridges and gorges) are more limited. Field studies have recorded a number of fauna species of conservation concern listed under state or federal legislation in the habitats around the Wodgina mining area – including the endangered northern quoll and threatened Pilbara leaf-nosed bat – and identified a number more from desktop studies that might inhabit the area. Further study in 2023-2024, reported in 2025 by environmental consultants Phoenix in support of approvals for EWL2 and other proposed developments made broadly similar findings, noting that rocky ridge and gorge and drainage line habitats locally provide critical habitat for species of conservation concern, and would be impacted by the development. Short-range endemic (SRE) species (typically small invertebrates such as spiders, millipedes, snails, or scorpions) are of particular concern to conservation regulators due to their restricted habitats and ranges. One potential SRE snail has been identified at Wodgina, but studies by consultants Outback Ecology in 2010 found it was widely distributed in habitats beyond the Operation, and unlikely to be substantively impacted. A subsequent desktop review by Phoenix in 2024 in support of submissions for EWL2 and other proposed developments identified a number of confirmed and potential SRE taxa in the wider area, but field surveys identified no significant invertebrate taxa, or any taxa confirmed SRE – a number of species were identified as potential SRE, and several more as uncertain where species-level classification was not possible. Phoenix considered the risk to SREs from proposed developments to be low. Subterranean fauna – typically small invertebrates living underground within (stygofauna) or close to (troglofauna) the water table – are also of concern to regulators due to their isolation, restricted ranges. and potential for suitable habitat in many parts of the Pilbara. A study by specialist consultants Bennelongia in 2018 and 2019 found a rich stygofauna community across the Wodgina mining area, with some species known in the wider Pilbara but many known only from the study. Bennelongia determined however that their habitats were likely to extend beyond the expected extent of drawdown from groundwater abstraction for the operations, and that these species should persist. A study by Outback Ecology in 2009 did not identify any troglofauna from field Albemarle Corporation | Wodgina Lithium Operation S-K 1300 Technical Report Summary February 11, 2026 SLR Project No.: 000.V00720.00RP2 17-4 surveys, and a review of local geology and diamond drill core from pit areas did not identify any suitable habitat. A subterranean fauna survey of the Breccia borefield conducted by Bennelongia in 2024 recorded a relatively rich community of stygofauna within the expected area of drawdown from water abstraction but given the limited extent of drawdown and the continuous extent of geologies suitable for stygofauna beyond this area, abstraction was not expected to impact significantly on stygofauna conservation in the region. 17.1.5 Waste Rock Extensive characterization studies have been undertaken from 2002 to 2023 for different waste rock types at Wodgina, broadly finding that at: • Cassiterite Pit: no fibrous, radioactive, dispersive, or erosive materials have been identified however a high proportion has been potentially acid forming (PAF) over the life of the pit (up to 68% at times, but currently about 44%). • Tinstone Pit: no fibrous, radioactive, dispersive, or erosive materials have been identified however the geology is similar to Cassiterite Pit, and much of the material is expected to be PAF. • Wodgina, Hercules North and Hercules South pits: no fibrous, radioactive, dispersive, or erosive materials have been identified, and all material has been characterized as non- acid forming (NAF). A study was completed in 2025 by mine waste landform consultants O’Kane to inform proposed changes to PAF waste encapsulation designs, addressed in Section 17.2. Geochemistry consultants MBS Environmental reported on additional kinetic (long term) waste rock test work in 2025. MARBL conducts ongoing geochemical testing as part of waste rock management to verify the characteristics expected from studies, last reported on in 2025 as part of regulatory submissions for EWL2 (Section 17.2.4). 17.1.6 Tailings Tailings characterization studies from 2017 to 2019 broadly found that Wodgina lithium ore tailings: • May be classified as NAF, with additional testing indicating no potential for net acid formation with circum-neutral conditions under oxidative conditions. • Present no radiation risk to human health due to extremely low total activity concentrations of uranium, thorium, and rubidium • Are free of asbestiform materials. • Show very low soluble concentrations of lithium and fluoride, with long-term leaching not expected to present risk to the surrounding environment. • Show concentrations very low or below reporting limits of environmentally hazardous metals and metalloids. • Should not present a significant dust hazard, with only 2% of the tailings volume in the very fine fraction (< 10 μm). • Additional kinetic test work reported by geochemistry consultants MBS in 2024 as a requirement of regulatory approvals found that after 12 months seepage from samples remained close to neutral, and that wet/fine tailings are not expected to cause acid Albemarle Corporation | Wodgina Lithium Operation S-K 1300 Technical Report Summary February 11, 2026 SLR Project No.: 000.V00720.00RP2 17-5 drainage but may have drainage with marginally elevated salinity in the short term, becoming less saline over the long term. 17.1.7 Soils and Landforms Studies of soils and landforms were completed by environmental consultants Outback Ecology in 2011-2012 for the former Atlas Iron Hercules and Atlas areas, and by MBS in 2019 for the wider Wodgina project area. The purpose of these studies was to identify associations between landforms and soils, and document characteristics such as salinity, erodibility, nutrient availability that may affect rehabilitation outcomes, and assess harvestable volumes for rehabilitation use. The outcomes of these studies are used to inform topsoil management and mine closure planning (Section 17.4). MBS found that surface soils in the areas are generally unconsolidated red-brown sandy to sandy clay loams with low concentrations of soil organic matter and low to moderate concentrations of nutrients, and resistance to wind or water erosion is conferred by stony surface lag materials rather than vegetative cover, with implications for closure criteria and planning. MBS noted suitable soils for rehabilitation use near the Operation are quite shallow, but required volumes may be made up from local borrow pits if needed. 17.1.8 Surface Water Hydrology studies conducted at Wodgina include: • Wodgina Surface Water Baseline Study (AQ2. 2020). • Surface Water Assessment. Wodgina Mine Site. Expansion of Cassiterite Pit, Eastern Waste Landform (EWL) and Atlas Waste Dumps (AQ2, 2022). • Surface Water Assessment – Wodgina Mine Site - 5 Year Mine Plan (AQ2, 2023). • Wodgina Surface Water Assessment 5YMP – EWL Redesign Addendum (AQ2, 2023). • Surface Water Assessment – Wodgina Lithium Mine (BG&E, 2023). • Surface Water Assessment – Wodgina Lithium Mine (BG&E, 2025). The 2020 surface water baseline study found that runoff in the region is generally fresh in the creeks (TDS <500 mg/L) although runoff from the area of operations is, as evidenced by water in the storage dam, moderately saline (TDS 950-2,100 mg/L) with neutral to basic pH (7.8 to 9). Key local catchment areas within the Operation have been broadly categorized as internally draining or as externally draining catchments. The main area/facilities that fall with the internally draining catchments are the pit areas, TSF3, water storage dam, beneficiation plant (northern section) the central Atlas WRL, with the plant site, beneficiation plant (southern section), Atlas WRD (western and eastern sections) and the general site infrastructure falling into the externally draining catchments. In 2023 BG&E assessed potential hydrological changes at Wodgina compared with the AQ2 2020 surface water baseline assessment for a variety of proposed changes to the site, including expansions of the Cassiterite Pit, EWL, and Atlas TSF, and construction of infrastructure including new haul roads, the Train 4 processing plant, and the Kangan camp. The assessment found that the changes to catchments would reduce the catchment finally draining to the Turner River, but that the reduction would not be significant; the changes would also increase the area within the Turner catchment that flows through or past disturbed areas. BG&E updated their Albemarle Corporation | Wodgina Lithium Operation S-K 1300 Technical Report Summary February 11, 2026 SLR Project No.: 000.V00720.00RP2 17-6 assessment in 2025 in support of submissions for EWL2 and new haul roads and waste rock stockpiles, with similar conclusions. BG&E also reviewed previous flood modeling for the site developed to predict inundation extents resulting from a 1% AEP (annual exceedance event), to improve the conceptual understanding of surface water flows and inform management measures. BG&E adopted more conservative parameters for its modeling that predicted greater flood depths in the central site area and downstream of the site; BG&E considered these depths conservatively high however and recommended that the modeling is refined over the life of operations as more terrain data is collected and updated. 17.1.9 Groundwater – Mining Area A number of hydrogeological studies have been conducted at Wodgina, including: • Groundwater Monitoring Summary (Burton S., 2018). • Hydrogeological Characterization of Wodgina Mine Site (Golder Associates, 2018). • Wodgina Lithium Mine. Seepage Assessment for the Atlas Pits Tailings Storage Facility and Contingency Water Disposal (Golder Associates, 2019). • Wodgina Lithium Mine – H2 Level Hydrogeological Assessment (Golder Associates, 2019a). • Wodgina Lithium Mine – Cassiterite Pit Dewatering and Post Closure Pit Lake Assessment (AQ2, 2022). • Wodgina Lithium Mine – In-Pit TSF Seepage Assessment – Atlas Iron Pits (AQ2, 2022). • Wodgina Lithium Mine – Cassiterite Pit Dewatering and Post Closure Pit Lake Assessment – 5 Year Mine Plan (AQ2, 2023). The hydrogeological characteristics of the mining area are discussed in Sections 7.3 and 0. As noted in those sections, little potential for groundwater resources of economic significance has been identified at Wodgina. 17.1.10 Groundwater - Borefields Groundwater investigations for and the hydrogeological characteristics of the water supply borefields are discussed at length in Section 7.3. As noted in Section 17.1.4, the borefields appear to support a rich community of stygofauna due to the aquifer characteristics however the habitat extends well beyond the expected extent of drawdown from water abstraction. 17.1.11 Contaminated Sites The disclosure, investigation, remediation, and registration of suspected or confirmed contaminated sites is regulated in WA under the Contaminated Sites Act 2007 (CS Act) and associated regulations and regulatory guidelines. No confirmed contaminated sites are presently recorded on the state register in the vicinity of the Wodgina operations however MARBL reports that Wodgina was classified as ‘possibly contaminated – investigation required’ in May 2011; such a classification is not unusual for older minesites in WA. In July 2023, MARBL completed a preliminary site investigation (PSI) for the Wodgina operations to identify potential sources of contamination associated with current or past activities and determine MARBL’s obligations with respect to the CS Act. The PSI identified several areas of potential environmental concern that warrant further investigation, including


 
Albemarle Corporation | Wodgina Lithium Operation S-K 1300 Technical Report Summary February 11, 2026 SLR Project No.: 000.V00720.00RP2 17-7 landfills, workshops, the power station, and chemical and hydrocarbon stores. The PSI recommended that a sampling and analysis be conducted in accordance with relevant regulatory guidelines. MARBL reports that the PSI is presently under review, with planning in progress for a detailed site investigation as part of the mine closure plan. 17.2 Environmental and Social Management 17.2.1 Management Systems Wodgina operates under an overarching environmental management system (EMS) that sets out standards relevant to the management of environmental and social risks and impacts, including: • Mine planning. • Hazard identification and risk management. • Management of legal and other obligations. • Responsibility and accountability. • Competence, training, and awareness. • Operational controls and maintenance. • Emergency planning response and recovery. • Non-conformance, incidents, and corrective action. • Monitoring, audits, inspections, and reporting. The EMS also includes a mine environmental management plan (EMP) with several supporting plans, procedures, or trigger-action-response plans (TARPs) for key aspects of operations, including the: • Waste rock management procedure and associated TARPs for EWL 1& 2; • Tailings storage facility operations manuals; • Groundwater monitoring plan and associated procedures; • Mine closure plan; • Stakeholder engagement management plan; and • Care and maintenance management plan. 17.2.2 Cultural Heritage To date MARBL has designed the Operation, including the proposed EWL2 landform, to avoid identified sites of significance to local Aboriginal culture. As noted in Section 3.2 a heritage agreement is in place as part of the ILUA over tenure within the Karriyarra determination, covering the mining and processing areas, camp, Northern and Old borefields, and gas pipelines, and MARBL is negotiating for a heritage agreement to cover tenure within the Nyamal determination. Ongoing protection measures for Aboriginal cultural heritage at the Operation include avoidance of heritage sites in mine planning, demarcation of exclusion zones around known sites, controls on blasting near sites sensitive to vibration, and cultural awareness training. The Operation follows an internal approval procedure for ground-disturbing activities, incorporating checks by Albemarle Corporation | Wodgina Lithium Operation S-K 1300 Technical Report Summary February 11, 2026 SLR Project No.: 000.V00720.00RP2 17-8 environment, heritage, and land access teams for heritage and other concerns, before a land activity permit (LAP) is issued, subject to any relevant conditions or limitations for heritage protection. 17.2.3 Biodiversity Measures for the protection of biodiversity at the Operation include minimization of land disturbance, speed limits and signs on roads to avoid fauna collisions, control programs for weeds and feral animals, fire prevention, dust management, and awareness training through personnel inductions. LAPs incorporate checks for exclusion areas established for conservation, and any relevant regulatory controls or restrictions. Specific management measures approved in 2025 for the development of EWL2 include limits on disturbance of critical habitat (rocky ridges and gorges, and drainage lines) and exclusion zones around roosts for bats of conservation concern. Recent regulatory approvals to clear land for EWL2 and other proposed developments (Section 17.3) impose a number of conditions for the preservation of biodiversity, including pre-clearance surveys for bilbies and mulgara, restrictions on clearing in certain vegetation or habitats or where fauna or flora of conservation concern are present, and monetary contribution of about A$0.5M to a regional biodiversity offset fund. 17.2.4 Waste Rock Based on the static and kinetic test work to date (Section 17.1.5), MARBL has adopted a total sulfur threshold of 0.3% across all fresh rock and transitional lithologies for classification of waste rock as PAF classification in the mining block model and to form the basis for Acid Mine Drainage (AMD) management. All heavily weathered (oxide) lithologies are expected to be NAF regardless of the parent unit. As noted in Sections 13.6 and 15.7, the EWL is the primary waste rock landform (WRL) for the Wodgina operations, intended to provide for the long-term disposal of all waste rock from the LOM Pit, comingled with coarse, dry tailings produced from the beneficiation plant. The EWL has been designed to ensure adequate encapsulation of the large volume of PAF waste rock encountered over the life of Cassiterite Pit, with PAF material to be placed in designated areas according to the LOM plan, co-mingled with NAF waste rock and dry tailings, and encapsulated with a 5 m thick cover of NAF waste rock. In line with the characterization work discussed in Sections 17.1.5 and 17.1.6, this co-disposal helps to mitigate the risk of AMD from PAF waste rock by limiting the exposure of PAF waste rock to oxidizing conditions before encapsulation, reducing the permeability of the encapsulation cells and the amount of seepage, and mitigating concentrations of metals of environmental concern in seepage, such as aluminum, fluoride, and lithium. MARBL has recently secured approval (Section 17.3) to vary the encapsulation strategies for EWL1 and EWL2 in line with the forecast volumes of PAF and NAF materials, supported by a study completed in 2025 by mine waste landform consultants O’Kane. The encapsulation strategies propose encapsulation layers of differing thickness and quality depending on factors such as topography and drainage, to optimize use of available materials while achieving objectives for mitigating AMD risk. The approved strategies are supported by new TARPs setting out monitoring and management measures for encapsulation and seepage to assure expected outcomes. Albemarle Corporation | Wodgina Lithium Operation S-K 1300 Technical Report Summary February 11, 2026 SLR Project No.: 000.V00720.00RP2 17-9 MARBL proposes to continue use of the Atlas and Valley Fill stockpile sites for temporary storage of NAF, non-dispersive material for use in rehabilitation at later stages of the LOM plan. MARBL has recently secured approval for three additional NAF stockpiles (the “Southern Stockpiles”) with combined capacity of about 10 Mm3. Some PAF material from Cassiterite Pit has also been backfilled into the Tinstone Pit, with a “land bridge” dump to be developed across the Tinstone Pit with non-dispersive, non-fibrous, and non-radioactive but PAF material to form a causeway to facilitate dumping; the landform will ultimately be capped with NAF material to limit acid formation, with the pit containing potentially adverse runoff during operations. MRL implements a waste rock management procedure to ensure waste rock is managed in line with industry standard practices and minimize environmental impacts from WRLs. This procedure describes: • Pre-mining sampling and test work to categorize waste rock types and incorporate data into resource and mining models. • Ongoing sampling and test work during mining to validate models and progressively update the associated management strategies. • General waste rock disposal options and erosion considerations. • Reconciliation and routine update of mining models. • Landform monitoring during and after final construction. The Operation also incorporates several inactive legacy WRLs, including the rehabilitated Atlas and Valley waste rock dumps. 17.2.5 Tailings Tailings disposal and storage facilities at Wodgina, and their design, construction, operation, and management are described in Section 15.7. As noted in Section 17.1.6, the wet, fine tailings sent to the TSFs have a higher potential for dust generation, and MARBL intends that deposition is managed to maintain wet beaches in the course of operations to mitigate this risk, before the beaches are covered with rehabilitation materials at decommissioning. MARBL reports that it is investigating an interim capping for TSF3E to mitigate dust until closure. 17.2.6 Surface Water Where runoff from the EWL and stockpiles can discharge to the environment, diversions are installed to collect runoff and direct it to sedimentation traps. The EWL batter faces will also be constructed to minimize runoff erosion and the transport of sediment downstream. Sediment traps are to be located at key positions downstream of disturbance areas as mining progresses to improve surface water runoff prior to discharge to natural drainage lines, with the intent of treating “dirty” runoff close to the source to minimize volumes and maintain separation from “clean” runoff from undisturbed parts of the catchment. The Operation is developing a surface water quality monitoring program in line with regulatory licensing requirements, for the purpose of collecting further background data for the site, and to monitor for potential impacts from the site such as sediment from disturbed areas, AMD from waste landforms, and hydrocarbons from plant and vehicles. Parameters monitored include salinity, pH, major ions, suspended solids, metals, and hydrocarbons. As the drainage at the site is ephemeral, samples are only taken after heavier rains when there is sufficient surface water to sample. Albemarle Corporation | Wodgina Lithium Operation S-K 1300 Technical Report Summary February 11, 2026 SLR Project No.: 000.V00720.00RP2 17-10 MARBL intends to mitigate the potential for sediment runoff from EWL1 and 2 over the course of operations by shaping lifts to be internally draining, and installing toe drains and bunds to capture runoff from the bottom bench of each dump, with the final dump to incorporate a thick cover of material intended to safely store and release water, and armoring where needed to prevent erosion from runoff. To avoid erosion and sediment transport, EWL1 has been constrained to sit outside the 1% AEP floodplain; where EWL2 intersects the floodplain, MARBL intends to place fresh NAF waste rock to resist erosion. 17.2.7 Groundwater A monitoring and seepage bore network is in place across the Wodgina mining and processing area and is monitored in accordance with relevant regulatory permits to detect potential impacts due to drainage from mine waste landforms. MARBL has installed seepage monitoring and recovery bores around TSF3E and the Atlas in-pit TSFs; where flows are sufficient, seepage recovery can be used to supplement process water supply, as well as mitigate seepage impacts. Water abstraction at the borefields is managed according to a groundwater license operating strategy approved by the water regulator, including monitoring of abstraction rates and water levels and quality, with contingency plans if unsustainable abstraction is indicated. 17.2.8 Air Quality, Noise, and Vibration Dust may be released from mining, ore and waste haulage, and ore crushing, and from wind erosion of exposed surfaces such as haul roads, waste rock dumps, and tailings beaches. Dust is managed on site primarily for occupational health and safety. Due to the remoteness of the site, there is no material potential for impacts on public amenity from dust emissions, with conventional controls imposed through regulatory permitting (Section 17.3). MARBL however monitors dust deposition on surrounding areas to assess any impacts on vegetation and habitats. Dust emissions are managed by a variety of industry standard measures including water carts and sprinklers to suppress dust in working areas, and progressive clearing of disturbance areas. Dust from tailings beaches is managed as discussed in Section 17.2.5. Noise and vibration are managed and monitored on site for occupational health and safety through industry standard measures. Noise and vibration are not significant issues for public amenity due to the remoteness of the Operation and no specific regulatory environmental noise or vibration management or monitoring requirements are imposed. 17.2.9 Visual Amenity Visual amenity is not a principal concern for the Operation given the remote location of the site. However, integration with the surrounding topography and landscape is considered in the final landform design as approved through mining proposals and closure plans (Section 17.4). MARBL proposes to conduct a visual amenity assessment and ongoing stakeholder engagement on any visual amenity concerns as part of mine closure planning. MARBL intends to revegetate disturbed areas with local native species, to support visual amenity as well as biodiversity outcomes. 17.2.10 Stakeholder Engagement and Community Development MARBL has developed community engagement and development programs. MARBL operates a stakeholder engagement management plan (SEMP) and interactions are recorded in a


 
Albemarle Corporation | Wodgina Lithium Operation S-K 1300 Technical Report Summary February 11, 2026 SLR Project No.: 000.V00720.00RP2 17-11 stakeholder engagement register. MARBL intends that all stakeholders that might be affected by developments at the Operation are appropriately consulted, and that their input is considered with respect to key aspects including post-mining land uses and mine closure strategies. MARBL’s community engagement approach intends to align with its legal and social obligations, and: • Provide positive community economic participation outcomes, through employment and business opportunities. • Support community economic development through community grants, corporate partnerships, and in-kind contributions. • Demonstrate commitment to transparent community engagement and consultation, through dedicated native title, heritage, community, and Indigenous engagement teams. • Create a culturally respectful, safe, and inclusive workplace, including cultural awareness training and recognition of events such as NAIDOC and National Reconciliation Week. • Maintain strong native title and cultural heritage governance frameworks, to comply with applicable laws and regulations and build trust and credibility. MARBL’s community and social development program includes: • Social investment programs for local communities including health and wellbeing, strengthening local communities, and economic empowerment, and a scheme for community grants. • Promotion of employment and career opportunities with the Operation for local and Indigenous people. As of the last survey, about 4% of the Operation’s workforce (310 persons) reported as Aboriginal and / or Torres Strait Islander. • Support for Indigenous businesses to secure contracts with the Operation, and start-up grants and other support for Indigenous enterprises. MARBL reports that it has engaged with KAC on expansions of the Operation incorporating the proposed development of EWL2, through in-person meetings and presentations, written briefings, and invitation to comment on draft mining proposals and closure plans prior to submission to regulators. It has also engaged with the pastoral station managers and relevant environmental regulators. MARBL reports that relationships with key local community groups including the Kariyarra people and pastoral leaseholders are good, as evidenced through the agreements that have been secured and ongoing community engagement. MARBL advises that there are no current community complaints or disputes that could have material consequences for the Operation. 17.3 Operation Permitting and Compliance 17.3.1 Legislative Framework The principal environmental and social legislation governing mining in Western Australia typically comprises the: • Mining Act 1978 (WA) (Mining Act). • Aboriginal Heritage Act 1972 (WA) (AH Act). Albemarle Corporation | Wodgina Lithium Operation S-K 1300 Technical Report Summary February 11, 2026 SLR Project No.: 000.V00720.00RP2 17-12 • Environmental Protection Act 1986 (WA) (EP Act) • Rights in Water and Irrigation Act 1914 (WA) (RIWI Act) • Environment Protection and Biodiversity Conservation Act 1999 (Cth) (EPBC Act). This summary is not exhaustive however, and mines may be subject to additional approvals for certain elements of operations, such as the Dangerous Goods Safety Act 2004 (WA) for bulk reagent or fuel storage. 17.3.2 Mining Act – Mining Proposals and Mine Closure Plans Any use of ground-engaging equipment on minerals titles granted under the WA Mining Act beyond the extent already approved generally must be supported by a mining proposal and associated mine closure plan (MCP), including proposed measures for the protection of the environment during operations and eventual closure. On approval, compliance with the mining proposal and MCP is written into the conditions of the relevant minerals titles. The Wodgina tenements record numerous incremental mining proposals approved for the Operation over its life, including, most recently: • #113904 Wodgina Lithium Project - Mining Proposal: Revision 0 Version 3.0 – approved in March 2023 to consolidate previous mining proposals and support expansion of the operations, including a cutback of the Cassiterite pit, extension of the EWL, and development of the Atlas in-pit TSFs. • #122942 Wodgina Lithium Project - Mining Proposal: Revision 2 Version 3.0 – approved in August 2024 for the Atlas TSF raise, construction of processing Train 4, additional water storage dams, and changes to waste rock stockpiles. • #500604 Wodgina Lithium Project - Mining Proposal: Version 4.0 – approved in August 2025 to deepen Cassiterite Pit to 20 mAHD (215 mbgl), increase waste rock dumping capacity through development of EWL2, establish additional temporary stockpiles for NAF waste rock, and make various other changes to site infrastructure. Mining proposal 500604 provides for waste rock dumping to about 2031 by developing EWL2 separate to the existing EWL (now designated EWL1) to avoid sites of Aboriginal cultural heritage and areas of critical fauna habitat that would entail a lengthy approval process and thereby mitigate risk to the mining schedule. MARBL is preparing submissions for a LOM waste rock landform that would subsume EWL1 and EWL2 (Section 17.3.9). With the expansion of the Altas In-Pit TSF, the Operations will have capacity until 2029. To support the longer term requirements, MARBL is also preparing submissions to extend this capacity through development of the Southern TSF. The construction and operation of major gas pipelines also require licensing under the Petroleum Pipelines Act 1969 (WA) in addition to Mining Act approval on minerals titles; MARBL holds pipeline licenses PL55, 56, and 116 for the W1 and W2 gas pipelines on L 45/108. 17.3.3 Aboriginal Heritage Act – Consents to Disturb Disturbance of a site of significance to Aboriginal culture in WA requires approval under s18 of the AH Act, generally with the consent of relevant Aboriginal people. To date, the operations have been designed to avoid identified sites, and no s18 approvals have been obtained by MARBL. MARBL advises that information available to it indicates that Atlas currently holds two s18 approvals, granted in 2013 for areas within leases M45/293 and M45/351 held by GAM for the Hercules mining area. Albemarle Corporation | Wodgina Lithium Operation S-K 1300 Technical Report Summary February 11, 2026 SLR Project No.: 000.V00720.00RP2 17-13 MARBL reports that in March 2023 the Operation in consultation with NAC secured a permit under Regulations 7 and 10 of the Aboriginal Heritage Regulations 1974 to allow works within the registered boundaries of sites intersecting L45/105 (Section 17.1.2). MARBL reports that the Operation intends to engage with NAC and DPLH in 2026 to renew the permit or obtain a new one, to maintain access to sections of the Breccia borefield within registered site 7135. MARBL advises that it engaged with DPLH at length to ensure that the expansion of operations under mining proposal 113904 would not impact on the cultural values of any sites registered or places lodged under the act and secured a Regulation 10 permit for activities in the vicinity of registered sites. MARBL reports that the advice from DPLH was incorporated into the latest mining proposal, 500604. As addressed above, MARBL has heritage protection agreements with native title groups to facilitate heritage surveys for proposed areas of disturbance with relevant Aboriginal people. The footprint of EWL2 as set out in mining proposal 500604 has been designed to avoid known sites; future expansions of the Operation may however entail approvals, as discussed in Section 17.3.9 below. 17.3.4 EP Act Part V – Clearing Permits All native vegetation is protected in WA; where an exemption does not otherwise apply, permits to clear native vegetation can be granted under Part V of the WA EP Act. One of the most commonly used exemptions from requiring a permit is formal assessment under Part IV of the EP that authorizes clearing; however, this is not relevant for Wodgina and hence this exemption does not apply. Consequently, native vegetation clearing at Wodgina is managed through Part V clearing permits. MARBL reports that five permits have been granted for the Operation since the acquisition of the asset by MRL: • CPS 8068/2, granted in March 2022 over L 45/108 for installation of the second gas pipeline. • CPS 9911/1, granted in March 2023 over the central mining area for clearing related to expansion of Cassiterite Pit and the EWL. • CPS 10346/1, granted in July 2024 over the wider mining and processing area for 448 ha of clearing related to EWL1, the Atlas TSF, and Train 4, and superseding CPS 9911/1. The permit remains valid to July 2029. • CPS 8048/1, granted in August 2018 over L 45/93 and L 45/437 for the airstrip, north borefield, and pipeline / access road. This permit expired in August 2023 and MARBL intends to apply for a replacement. • CPS 11122/1, granted in October 2025 over much of the MARBL tenure, including the mining and processing area, and borefield and other infrastructure areas, to permit up to 684 ha of clearing related to mining proposals 122942 and 500604, including EWL2. The permit restricts clearing in certain areas. Additional approval may be needed or special conditions imposed where flora, fauna, or ecological communities listed under the Biodiversity Conservation Act 2016 (WA) may be impacted; SLR understands that no such listed matters were identified for recent expansions however. Albemarle Corporation | Wodgina Lithium Operation S-K 1300 Technical Report Summary February 11, 2026 SLR Project No.: 000.V00720.00RP2 17-14 17.3.5 EP Act Part V – Premises Licensing and Works Approval Part V of the EP Act also provides for the assessment and licensing of activities with potential to cause pollution. The Operation holds premises license L4328/1989/10 permitting up to 8.75 Mtpa of ore processing, 64 MW of gas electric power generation, 1.5 GL/year of water desalination, camp sewage treatment, and on-site landfill. The license is valid until September 2033 and has been subject to several amendments over the life of the Operation, including an amendment for Train 4 granted in September 2024, and operation of the Atlas (Anson A and B) in-pit TSFs granted in June 2025. MARBL reports that in October 2025 it secured an amendment to align the premises license with mining proposal 500604 and permit co-mingling of coarse dry tailings in EWL2. Substantive changes to a licensed premises entailing construction of substantial new infrastructure or significant changes to the nature or scale of potential emissions may require a works approval. Once the works are complete and certified, the changes are incorporated into the premises license with any relevant new conditions of operation. Works approval W6734/2022/1 was granted in September 2024 for the Atlas in-pit TSFs and MARBL reports that an amendment to the works approval for proposed changes to water management for the TSFs is presently under assessment. 17.3.6 EP Act Part IV Referrals Part IV of the WA EP Act intends to assess and regulate proposals with potential to impact on matters of state environmental significance including listed species of conservation concern and is presently administered by the Department of Water and Environmental Regulation (DWER). To date, on advice from DWER, the Operation has not been referred under this part of the EP Act, with impacts regulated under the Mining Act and Part V of the EP Act. MARBL intends to refer proposed future expansions of the Operation, however, as addressed in Section 17.3.9. 17.3.7 RIWI Act – Water Licensing The large-scale abstraction of surface or ground water in WA typically requires a license to take water under the RIWI Act. MARBL holds license GWL154570(21) to take up to 5.61 GL/year for mining purposes and dust suppression on its tenements, valid until September 2034. The construction and testing of groundwater production bores requires a permit to construct or alter wells; several such permits have been issued for development and expansion of the Operation’s borefields over the life of the Operation. As noted in Section 15.6, further permits to construct or alter wells and amendments to the license to take water will be needed for expansions of the water supply to the Operation that MARBL is presently investigating. 17.3.8 EPBC Act Referrals The federal EPBC Act provides that proposals may be deemed “controlled actions” and subject to formal assessment if they have potential for substantive impact on matters of national environmental significance. To date, several mining developments at Wodgina have been referred in relation to species of national conservation concern as listed under the act, including the: • Wodgina TSF expansion (2008) – determined not a controlled action. • Wodgina Direct Ship Iron Ore Mine (2010) – determined a controlled action.


 
Albemarle Corporation | Wodgina Lithium Operation S-K 1300 Technical Report Summary February 11, 2026 SLR Project No.: 000.V00720.00RP2 17-15 • Wodgina Direct Shipping Iron Ore Mine Stage 3 (Hercules Deposit - 2013) – determined not a controlled action. • Wodgina Lithium Mine Expansion (2018) – determined not a controlled action. The 2008, 2010, and 2013 referrals related to historical projects that are not part of the current operations. MARBL confirms that its present operations remain within scope of the 2018 referral. MARBL intends to refer proposed future expansions of the Operation however, as addressed in Section 17.3.9. 17.3.9 Future Key Mine Approvals MARBL recognizes that it may need future environmental approvals to realize its LOM plan for a number of developments, including: • A new evaporation pond for RO reject water. • The LOM EWL, Southern TSF, and additional NAF waste rock stockpiles. • New water supplies, water treatment, and brine disposal. • Renewable energy infrastructure. • Upgrades to the mine workers’ camp. MARBL proposes to apply for a works approval and subsequent premises license amendment for the evaporation pond in Q1 FY2026, with approval expected by Q3 FY2026. MARBL recognizes that several of the proposed expansions – in particular the LOM EWL, the Southern TSF, and renewable energy infrastructure – will result in disturbance and potential impacts to listed fauna and habitat extending beyond the scope of previous referrals under the federal EPBC Act that were decided as “not controlled”. Consequently, MARBL proposes to refer these developments under the EPBC Act and the WA EP Act Part IV. If the EPA determines that formal assessment under Part IV is not required, MARBL will apply for a permit to clear native vegetation under Part V. MARBL presently expects however that the proposal will be assessed under Part IV on the basis of referral information, the lowest level of assessment. MARBL will also submit corresponding mining proposals and closure plans under the Mining Act and apply for corresponding works approval or license amendments under Part V of the EP Act. As discussed in Section 17.1, MARBL has commissioned a number of ecological studies in line with relevant regulatory guidance in support of developments incorporating EWL2 and further expansions of the mine footprint that commenced in 2023 and are ongoing in 2025. These studies include: • Detailed flora and vegetation assessments by Umwelt Australia; • Detailed fauna and SRE assessments by Phoenix Environmental Consultants; and • Subterranean fauna assessments by Bennelongia Environmental Consultants. As noted above, rocky ridge and gorge and drainage line habitats may provide critical habitat for listed fauna of conservation concern that is locally limited in extent; in addition, local caves may be critical for listed bats. MARBL will propose measures for the avoidance or mitigation of impacts to these habitats, including exclusion zones, in line with current mining proposals and clearing permits. Albemarle Corporation | Wodgina Lithium Operation S-K 1300 Technical Report Summary February 11, 2026 SLR Project No.: 000.V00720.00RP2 17-16 MARBL has begun preparation of referral documents based on the outcomes of environmental studies to date. The expected schedule for submissions and approvals to support development milestones is summarized in Figure 17-1. MARBL believes that the schedule is reasonable based on its engagement with regulators. Figure 17-1: Estimated Assessment Timeframes Source: MARBL. SLR considers this plan and schedule to be reasonable, given its current understanding of the Operation, but notes the schedule depends to a large extent on timely assessment by regulators. While this is generally not within the control of the Operation, MARBL has engaged with relevant departments to mitigate such risk. The proposed Southern TSF has been designed to avoid known sites and places of significance to local Aboriginal cultural heritage however surveys remain to be completed over the proposed footprint and new sites may yet be identified. MARBL proposes to engage with KAC on design options where sites of significance are identified and can modify or stage the footprint, if necessary, within the design submitted for environmental approval to secure interim capacity while any outstanding heritage concerns are resolved. The assessment of the potential impacts to biodiversity and Aboriginal cultural heritage with the development of the Southern TSF have been identified as key areas to be addressed through the project assessment and approvals process. During discussions, SLR noted that, where possible, some of these areas have been avoided to minimize any impact; however, discussions to support this plan are ongoing with stakeholders. 17.3.10 Status of Operation E&S Compliance MARBL reports that operations have been generally conducted in compliance with the relevant regulatory obligations and approvals although a number of incidents and non-compliances have occurred in recent years, including unauthorized disturbance, chemical or hydrocarbon spills, missed reporting deadlines, unauthorized discharges and construction or operation of infrastructure contrary to approvals, some of which have attracted formal notices from regulators. MARBL discloses reportable incidents and non-compliances to relevant regulators, with explanation of the identified causes and proposed corrective actions to address those causes. Albemarle Corporation | Wodgina Lithium Operation S-K 1300 Technical Report Summary February 11, 2026 SLR Project No.: 000.V00720.00RP2 17-17 MARBL confirms that currently there are no outstanding or unresolved incidents or non- compliances with potential for financial material penalties or improvement notices. There will be additional compliance costs associated with the key future project approvals and also with the Operation’s future compliance under the SGM. 17.4 Mine Closure Requirements 17.4.1 Planning The current MCP for the Operation was approved by DMPE in August 2025 as part of the approval for mining proposal 500604 for EWL2 and related developments. The MCP has been developed in accordance with the current statutory guidelines for mine closure plans and gives an estimated date for completion of mining of 2048, in line with the current LOM plan. Tenement conditions require that the MCP is reviewed and re-submitted at least every three years, if not submitted sooner in support of mining proposals for substantive changes to the Operation. The MCP identifies various knowledge gaps in areas such as stakeholder engagement, landform design, water management and rehabilitation trials and procedures but includes a forward work program of studies and trials to address these identified knowledge gaps progressively over the LOM and in the years preceding closure. SLR notes a number of these studies to be in progress or well advanced. 17.4.2 Cost Estimates A full financial year 2025 (FY25) closure liability estimate of A$139.4M was produced in July 2025. A memorandum was provided by MARBL that summarizes the methodology used to calculate the estimate, and the general updates undertaken for FY25. The estimate has been developed using the Standard Reclamation Cost Estimator (SRCE), provided by the Nevada Standardized Unit Cost Mine. This closure cost model is a sophisticated calculator that is globally recognized as one of the more comprehensive, publicly available cost models. It is important to note that the accuracy of any closure cost estimate is dependent on having an associated mine closure plan of an acceptable standard. The financial model for the Operation (discussed further in Sections 18.0 and 19.0) incorporates a LOM closure cost of A$334M based on a rate per tonne total material moved (TMM). SLR notes this to be high level estimate, however any significant changes would not result in a material change to the outcomes of the cash flow analysis. The estimated LOM closure costs are allocated over the eight quarters (two years) post completion of mining. SLR notes that while the approved closure plan makes a general commitment to progressive rehabilitation where possible, it does not presently commit to specific progressive works prior to the completion of mining. 17.4.3 Rehabilitation / Reclamation Bonding MARBL is not required to post a performance or reclamation bond for the Operation. However, MARBL is required to annually report land disturbance and rehabilitation and make contributions to the state’s Mining Rehabilitation Fund (MRF) based on the type and extent of disturbance as prescribed under the MRF regulations. The total 2024 MRF Levy for the Operation was $203,526.50, this based on a total disturbed area of 754.4270 ha, total area of land under rehabilitation of 270.1004 ha, and a total Rehabilitation Liability Estimate (RLE) of $20M. Albemarle Corporation | Wodgina Lithium Operation S-K 1300 Technical Report Summary February 11, 2026 SLR Project No.: 000.V00720.00RP2 18-1 18.0 Capital and Operating Costs The capital and operating costs outlined below reflect the LOM Schedule, which is summarized in Section 13.0. The below cost information has been provided by MRL and reviewed by SLR. SLR highlights the following: • Costs are presented in Australian Dollars ($) unless otherwise denoted. • Financial year is a calendar year (Jan X0 to Dec X0). • All costs are real with no inflation or escalation applied. • All costs are presented on a 100% equity basis. The MARBL, which owns Wodgina, is owned 50% MRL and 50% Albemarle. • SLR notes that most capital and operating cost estimates are based on a first-principles build-up or actuals from current operations, and as such, are considered to be at least of a pre-feasibility study level of accuracy. The remainder of the capital expenditures are built up using typical costing methods for an operation of the scale, long mine life (>20years), and operational requirements to meet the LOM plan. In addition, various contingencies are built into the cost estimates. As such, SLR considers the basis of costs reasonable for an Operation. • All works undertaken on- and off-site are managed via contracts to the Company through MRL. As such, no G&A costs are attributable to the Company. This section provides an overview of the annualized costs on a FOB basis. 18.1 Capital Costs The LOM capital cost estimate for the Operation is based on the outcomes of the LOM planning process whereby costs are built up from first principles, taking into account recent actuals and forecasts, as summarized in Table 18-1. The deferred strip asset is amortized over the LOM. Annual capital expenditure from 2025 to 2030 is shown in Table 18-2. Table 18-1: LOM Capital Cost Estimate Capital Expenditure Item A$ M Total Sustaining Capital Expenditure Including: 902 Fleet Sustaining Capital Expenditure 390 Atlas TSF 66 Sustaining Capex FY26B Projects 84 Resource Linked - LOM UOP Sustaining capex 183 Project Dev 179 Growth Capital Expenditure 0 Deferred Strip Asset 1,053 Total 1,955


 
Albemarle Corporation | Wodgina Lithium Operation S-K 1300 Technical Report Summary February 11, 2026 SLR Project No.: 000.V00720.00RP2 18-2 Table 18-2: Annual Capital Costs Summary Cost Centre Unit Total LOM 2H25 2026 2027 2028 2029 2030 Avg. 2031– 2048** Sustaining Capital Expenditure A$ million 902 55 142 92 52 41 39 30 Fleet Sustaining Capital Expenditure A$ million 390 16 30 27 27 21 20 16 Atlas TSF A$ million 66 14 52 - - - - - Sustaining Capex FY26B Projects A$ million 84 11 33 40 - - - - Resource Linked - LOM UOP A$ million Sustaining capex A$ million 183 7 14 13 13 10 10 7 Project Dev A$ million 179 7 14 12 12 10 9 7 Growth Capital Expenditure A$ million - - - - - - - - Deferred Strip Asset A$ million 1,053 18 33 30 30 23 22 17 Total A$ million 1,955 73 175 122 82 64 62 47 Notes: *LOM includes 2H25. **Figures for these years are an annualized average UOP Unit of Production 18.2 Mine Closure and Rehabilitation The mine closure requirements and rehabilitation are described in Section 17.3.10 and Section 17.4.3, respectively. The mine closure liability estimate of $334 M is included in the costs presented in Table 18-4. 18.3 Operating Costs LOM annual operating costs are presented in Table 18-3. Operating cost forecasts have been presented on an annual basis for the first five years of the LOM plan, and then the remaining years of the LOM plan have been presented as an average. The step-change in processing costs from 2027 onwards is reflective of the shift from two trains to three trains. Mining costs continue to remain relatively flat as an increase in ore mined coincides with a reduction in strip ratio. Albemarle Corporation | Wodgina Lithium Operation S-K 1300 Technical Report Summary February 11, 2026 SLR Project No.: 000.V00720.00RP2 18-3 Table 18-3: Annual Operating Costs Summary Cost Centre Unit Total LOM 2H25 2026 2027 2028 2029 2030 Avg. 2031– 2048* Onsite Costs Mining Costs (Excl Capitalized Waste) A$ M 4,206 78 330 318 319 277 272 188 Processing Costs A$ M 5,112 81 173 213 245 247 246 206 Other Administrative Cost A$ M 217 5 10 10 10 10 10 9 Safeguard Offset Costs A$ M 40 1 2 2 2 2 2 1 Rehabilitation Costs A$ M 334 - - - - - - 18 Total Free on Road A$ M 9,997 166 519 547 581 540 534 425 A$/Prod t 583 583 819 557 539 487 543 668 Offsite costs Offsite Haulage and Stevedoring A$ M 591 10 21 34 37 38 34 22 Port Handling A$ M 70 1 3 4 4 4 4 3 Total Free on Board (FOB) A$ M 10,658 246 610 651 688 648 637 517 A$/t prod 621 864 963 663 639 584 649 813 Shipping A$ M 642 12 24 38 40 41 36 24 Total To Customer Port (ex-Royalty) A$ M 11,301 259 634 689 728 689 674 541 Notes: * excluding royalties ** including royalties *** rounding to nearest two significant figures. Rounding may cause computational discrepancies 18.3.1 Site Costs The operating cost estimates are derived from a first principles basis, taking into account recent actuals and forecasts, including the forecast LOM physicals schedule. Operating costs by type and average annual cost during production years are shown in Table 18-4. Albemarle Corporation | Wodgina Lithium Operation S-K 1300 Technical Report Summary February 11, 2026 SLR Project No.: 000.V00720.00RP2 18-4 Table 18-4: LOM Average Annual Cost Cost Item $ M $/Sale t SC 5.5 Mining Costs (Excl Capitalized Waste) 172 245 Processing Costs 209 298 Royalties 58 83 Other Administrative cost 9 13 Safeguard Offset Costs 2 2 Rehabilitation Costs 14 19 Total 466 666 18.3.2 Offsite Costs Wodgina offsite costs include the cost to deliver the product to the customer’s port, including trucking to the port of Port Hedland and shipping costs. 18.3.3 Royalties The Mining Regulations 1981 (WA) specify that the WA State Government-imposed royalty rate for lithium concentrate is 5% and is calculated either ad valorem or by a specific rate per tonne of production. There is also a 5% royalty rate on spodumene concentrate feedstock for lithium producers who produce lithium hydroxide and lithium carbonate in the situation where the produced lithium hydroxide and lithium carbonate are the sale products. Royalties are applied in the financial model at 5% of sales value (FOB) of spodumene concentrate. 18.4 Safeguard Mechanism 18.4.1 Background The Safeguard Mechanism was first legislated in 2014 and came into effect on 1 July 2016 through the National Greenhouse and Energy Reporting (Safeguard Mechanism) Rule 2015 (Safeguard Rules). In July 2023, the Australian Government’s reforms to the mechanism came into effect, with the latest updates published in April 2024, to drive emissions reductions across Australia’s largest industrial facilities. The 2023 reforms were designed to align with Australia’s Climate Change Act 2022, mandating a 43% reduction in emissions below 2005 levels by 2030 and achieving net zero by 2050. The Safeguard Mechanism applies to facilities reporting over 100,000 tonnes of carbon dioxide equivalent (tCO₂-e) annually under the National Greenhouse and Energy Reporting (NGER) Scheme. Such facilities, termed "Designated Large Facilities," must adhere to emissions baselines set by the Clean Energy Regulator (CER), with the mechanism’s stated purpose being to provide "a framework for Australia's largest emitters to measure, report, and manage their emissions." A facility’s emissions intensity baseline is the reference point against which net emissions are assessed. Net emissions are the covered emissions from the operation of the facility plus any Australian Carbon Credit Units (ACCUs) issued in relation to abatement activities occurring at Albemarle Corporation | Wodgina Lithium Operation S-K 1300 Technical Report Summary February 11, 2026 SLR Project No.: 000.V00720.00RP2 18-5 the facility, less any ACCUs or Safeguard Mechanism Credits (SMCs) surrendered for the facility, for that year. Under the reformed Safeguard Mechanism, existing facilities are required to reduce their baseline emissions by 4.9% annually, beginning from the 2023-2024 financial year until 2030, and then falling by 3.285% annually from 2031 (equating to net zero by 2050) unless altered to be a sharper decline as part of a five-yearly review process established in alignment with Australia’s five-yearly revisions to its Nationally Determined Contributions (NDC) under the Paris Agreement. SLR has projected a consistent 4.9% decline rate through 2035, pending future updates. Facilities will either: • Exceed their baseline: purchase and surrender domestic offsets in the form of Australian Carbon Credit Units (ACCUs or SMCs). • Fall below the baseline: generate Safeguard Mechanism Credits (SMCs), which can be sold to other Safeguard facilities to meet compliance obligations or held for future use. A facility’s Safeguard Mechanism baseline represents a legislated cap on its allowable Scope 1 emissions for each reporting period, spanning July 1 to June 30 annually. Facilities that exceed their baseline emissions, without exceptional circumstances such as natural disasters, are required to surrender offsets, namely Australian Carbon Credit Units (ACCUs or SMCs), each equivalent to one tCO₂-e, to bring their net Scope 1 emissions back within the baseline. 18.4.2 Implications for the Operation The Operation’s Greenhouse Gas (GHG) Emissions for the 2024–2025 financial year were reported under the Commonwealth National Greenhouse and Energy Reporting Act 2007 (NGER Act). The Company has estimated the baseline Scope 1 CO₂-e quantity based on current standards and an understanding of the regulations. These estimates, along with emissions intensity baselines and Mineral Resources' internal carbon price forecasts, have been factored into the economic analysis. The recent updates to the Safeguard Mechanism apply specific baseline emission requirements to "existing facilities” those operational before July 1, 2023. Consequently, Wodgina applied to the CER for a site-specific Emission Intensity (EI) determination “existing facility” and to be subject to specific baseline emissions calculations and reduction requirements under the mechanism. A facility-specific EI was calculated for the Wodgina facility, as part of the Emissions Intensity Determination (EID) application, and audited by an external assurance provider, prior to submission to the CER on 06 September 2024. MARBL reports that the regulator approved a facility-specific emissions intensity of 0.01733 tCO2e / dmt for lithium ore, and 0.6055 tCO2e / MWh for electricity generation. MARBL has subsequently forecasted the emissions liability at the Wodgina facility to 2030 (Section 13.6.6). From this, MARBL is developing a strategy to ensure a Least Cost Compliance approach for SGM compliance. The decarbonization options that are being assessed at Wodgina include purchase or onsite renewable electricity generation, hybridization of diesel-electric haulage fleet; and establishing a Fleet Management System. MARBL will continue to ensure annual compliance obligations under NGERS and SGM, with costs applied to and included in the cash flow model as presented in this Report.


 
Albemarle Corporation | Wodgina Lithium Operation S-K 1300 Technical Report Summary February 11, 2026 SLR Project No.: 000.V00720.00RP2 18-6 SLR’s review identified a minor discrepancy in Wodgina’s calculations due to a few minor discrepancies between the model and the Safeguard rule. SLR notes the potential for further changes in carbon offsets, ACCU prices and regulations by state and federal governments, adding uncertainty to the estimates. Despite this, the full LOM annual costs associated with the SGM have been included in the economic analysis, as presented in Section 19.0. Albemarle Corporation | Wodgina Lithium Operation S-K 1300 Technical Report Summary February 11, 2026 SLR Project No.: 000.V00720.00RP2 19-1 19.0 Economic Analysis 19.1 Economic Criteria This Report has been based on data and assumptions from MRL and assumptions from Albemarle. The primary method by which the economic viability of the Mineral Reserves has been determined is through a discounted cash flow model analysis. The key economic criteria applied in the cash flow model includes the following: • Only Mineral Reserves are included in the cash flow analysis. Inferred material is considered waste. • All forecasts are in real terms from July 1, 2025. • Financial year is a calendar year (Jan X0 to Dec X0). • All cash flows are in Australian Dollars ($). • Discount rate of 10.0% (real) and a A$:US$ exchange approximately 0.7, based on independent expert advice. • Diminishing value depreciation method, excluding resource-linked capital expenditure and deferred strip assets, over an average life of 5 years with no residual value and a nil opening balance. • A corporate tax rate of 30%. • Spodumene forecast prices (SC6.0) are as per August 2025 Fastmarkets’ base case 10- year forecast (real terms), from 2025 to 2028. From 2029 onwards, a long-term price of US$1,300/t is applied. Mineral Reserves have also been estimated using a US$1,300/t assumption. SLR is not a price forecast expert and has relied on third-party and expert opinions; however, SLR considers the spodumene forecast prices provided to be from a reasonable source. SLR has adjusted the SC6.0 forecast prices from Fastmarkets for other grades of spodumene concentrate by calculating a grade-adjusted price on a pro- rata basis. • WA State Government royalties (Section 18.3.3) and currently understood Federal Safeguard Mechanism regulations (Section 18.4). The full LOM Safeguard Mechanism costs are included in the financial model calculations; however, due to the commercial sensitivity of future carbon offsets, the forecast carbon price is not disclosed in this Report. 19.2 Cash Flow Analyses The discounted cash flow model was constructed based on the LOM plan presented in Section 13.6 of this Report. The capital expenditure and operating expenditure estimates are as per those described in Section 18.0. Further to this, the forecast costs associated with the SGM are included in the full LOM cash flow per year. SLR considers that capital expenditure and operating expenditure estimates are based on a first principles build-up or actuals from current operations. Based on the assumptions made in this Report regarding the achievability of the LOM plan, the results of the cash flow modeling show negative cash flows in most quarterly time periods from Q3 2025 to Q3 2026 (cumulative undiscounted cash flows of -$94M across this time period), predominantly driven by elevated levels of capital expenditure and a weak spodumene price environment, followed by mostly Albemarle Corporation | Wodgina Lithium Operation S-K 1300 Technical Report Summary February 11, 2026 SLR Project No.: 000.V00720.00RP2 19-2 cash flow positive quarterly time periods to the end of the LOM plan. SLR notes the negative cash flow in the last 2 years of operation are the result of the allowance for mine closure costs. A discount rate of 9.3% (real) is applied to the net cash flow after-tax to estimate the discounted cash flow. The economic analysis confirmed the economics of Wodgina, which delivers an after-tax net present value (NPV) of $4.8B (100% equity basis) or $2.4B (50% JV basis), as summarized in Table 19-1 and detailed in Table 19-2. The cumulative present value of after-tax cash flows can be seen in Table 19-1 and Figure 19-1. Table 19-1: Annual Discounted Cash flow Economic Evaluation Units LOM (A$M) 100% LOM (US$M) 100% LOM (US$M) 50% Gross Spodumene Revenue $B 30.1 19.8 9.9 Free Cash flow*** $B 10.8 7.1 3.6 Total Operating Costs* $B 11.3 7.5 3.7 Total Capital Costs $B 2.0 1.3 0.6 Total Royalties $B 1.5 1.0 0.5 Avg. Free on Board Costs* $/Prod t 621 409 409 All-In Sustaining Costs** $/Prod t 863 568 568 Discount Rate % 10.0% 10.0% 10.0% Pre-Tax NPV*** $B 6.6 4.3 2.2 Post-Tax NPV*** $B 4.8 3.1 1.6 Notes: * excluding royalties ** including royalties *** rounding to nearest 2 significant figures. Rounding may cause computational discrepancies. # Based on an exchange rate of 1AUD:0.66USD Albemarle Corporation | Wodgina Lithium Operation S-K 1300 Technical Report Summary February 11, 2026 SLR Project No.: 000.V00720.00RP2 19-3 Figure 19-1: Operation Cash flow and Pre Tax NPV Summary (100% Basis)


 
Albemarle Corporation | Wodgina Lithium Operation S-K 1300 Technical Report Summary February 11, 2026 SLR Project No.: 000.V00720.00RP2 19-4 Table 19-2: Annual Cash flow Cost Centre Unit Total LOM 2H25 2026 2027 2028 2029 2030 2031 2032 2033 2034 2035 Gross Spodumene Revenue A$ M 30,063 305 782 1,532 1,772 2,008 1,779 1,435 1,607 1,721 1,779 2,180 Total Operating Costs* A$ M (11,004) (190) (422) (610) (624) (614) (560) (521) (569) (609) (580) (610) Rehabilitation Costs A$ M (334) - - - - - - - - - - - Working Capital Adjustment A$ M (15) 4 (36) (30) (11) (68) 61 17 (26) 16 (46) (19) Royalties A$ M (1,501) (15) (39) (76) (88) (100) (89) (72) (80) (86) (89) (108) Capital Expenditure A$ M (1,955) (144) (287) (107) (93) (53) (89) (119) (93) (43) (95) (94) Tax A$ M (4,410) - - (102) (242) (300) (353) (213) (214) (276) (262) (354) Undiscounted Project Net Cash flow A$ M 10,843 (41) (2) 608 714 874 749 527 625 724 708 996 Undiscounted Cumulative Net Cash flow A$ M 10,843 (41) (42) 566 1,280 2,153 2,902 3,429 4,054 4,778 5,486 6,482 Discounted Project Net Cash flow (@ 10%) A$ M 4,755 (39) (5) 493 527 586 460 292 314 332 294 377 Discounted Cumulative Net Cash flow A$ M 4,755 (39) (44) 449 976 1,562 2,022 2,314 2,628 2,961 3,255 3,632 Cost Centre Unit 2036 2037 2038 2039 2040 2041 2042 2043 2044 2045 2046 2047 Gross Spodumene Revenue A$ M 1,951 1,377 1,148 1,607 1,721 1,721 861 689 803 746 537 - Total Operating Costs* A$ M (570) (471) (420) (592) (581) (535) (428) (427) (424) (394) (256) (0) Rehabilitation Costs A$ M - - - - - - - - - (42) (167) (125) Working Capital Adjustment A$ M 71 (5) 12 (10) (30) 31 58 (2) 0 (21) (10) 28 Royalties A$ M (97) (69) (58) (80) (86) (86) (44) (35) (41) (38) (28) - Capital Expenditure A$ M (125) (206) (246) (73) (31) (21) (9) (11) (10) (8) (0) - Tax A$ M (416) (228) (150) (183) (256) (334) (202) (67) (69) (70) (86) (32) Undiscounted Project Net Cash flow A$ M 815 399 286 668 739 776 236 147 259 174 (9) (129) Undiscounted Cumulative Net Cash flow(@ 10%) A$ M 7,297 7,695 7,981 8,649 9,388 10,164 10,400 10,547 10,806 10,980 10,972 10,843 Discounted Project Net Cash flow A$ M 282 125 81 173 173 166 46 26 42 25 (1) (16) Discounted Cumulative Net Cash flow A$ M 3,914 4,038 4,120 4,293 4,466 4,633 4,679 4,705 4,746 4,772 4,770 4,755 Albemarle Corporation | Wodgina Lithium Operation S-K 1300 Technical Report Summary February 11, 2026 SLR Project No.: 000.V00720.00RP2 19-5 19.3 Sensitivity Analysis The sensitivity analysis has confirmed that the LOM schedule is robust to changes in key project value drivers such as: spodumene price, overall operating expenditure, and overall capital expenditure. The results of the sensitivity analysis are shown in Figure 19-2 and the sensitivities applied are specified in Table 19-3. Figure 19-2: NPV Sensitivity Analysis Table 19-3: Sensitivities Applied to NPV Sensitivity Analysis Item Sensitivities Applied Spodumene Price -20% to +20% Operating Expenditure -20% to +20% Capital Expenditure -20% to +20% The sensitivity analysis shows the impact to the NPV when each of the key value drivers is adjusted by -20% to +20%. The results indicate that the Operation is most sensitive to changes in the spodumene price and least sensitive to changes in capital expenditure. SLR highlights that changes to carbon offset pricing, based on current understanding, has limited impact on the overall economics of Wodgina. All sensitivity scenarios assessed for Wodgina returned positive NPV results. As such, SLR considers that the quantities and quality reported are economically viable and they support the reporting of the Mineral Reserves. Albemarle Corporation | Wodgina Lithium Operation S-K 1300 Technical Report Summary February 11, 2026 SLR Project No.: 000.V00720.00RP2 20-1 20.0 Adjacent Properties There is no information from adjacent properties that is relevant to the Wodgina mine site. Albemarle Corporation | Wodgina Lithium Operation S-K 1300 Technical Report Summary February 11, 2026 SLR Project No.: 000.V00720.00RP2 21-1 21.0 Other Relevant Data and Information No additional information or explanation is necessary to make this TRS understandable and not misleading.


 
Albemarle Corporation | Wodgina Lithium Operation S-K 1300 Technical Report Summary February 11, 2026 SLR Project No.: 000.V00720.00RP2 22-1 22.0 Interpretation and Conclusions 22.1 Geology The Mt Cassiterite and Mt Tinstone pegmatites, which form the Mineral Resources reported in this Report, consist of a group of subparallel, interfingered, zoned albite-spodumene pegmatites that intrude the mafic volcanic and meta-sedimentary host rocks of the surrounding greenstone belt. Individual pegmatites vary in thickness and dip an average of 22o to the southeast. These pegmatites are abundant in albite and primary spodumene with subordinate K-feldspar, minor muscovite in near-homogeneous sheeted bodies, and lepidolite. The pegmatite sheets display a massive to comb-textured internal structure, which is regarded as being characteristic of albite- spodumene type pegmatites. The pegmatites can be grouped into an upper thinner swarm (10-30 m in thickness), a middle thicker swarm (30-80 m in thickness), and a thick basal unit (120-200 m in thickness) and are typically exposed prior to mining over an area 1,100 m by 800 m. The upper sheets are generally hosted by weathered and oxidized meta-greywacke, whereas the lower pegmatite sheets intrude fresh pyrrhotite/pyrite-rich meta-greywacke. The review of the drilling and sampling procedures indicates that standard practices were being utilized by MRL for the recent drilling, which underpins a large portion of the Indicated Mineral Resource, with no material issues being noted by SLR. The QA/QC samples all showed suitable levels of precision and accuracy to ensure confidence in the sample preparation methods employed by MARBL and primary laboratory and notes that re-sampling programs have been completed by MRL on previous MARBLdrilling programs to ensure accuracy. SLR notes that while the historical drilling procedures were not in line with current procedural record keeping and digital recording, SLR was aware of the procedures of the operators during the 1990s and early 2000s. Furthermore, the pulp samples taken from the remaining material are consistent with the infill drilling undertaken using current procedures, and a visual comparison does not indicate any systematic bias nor an issue with storage and oxidation of the material prior to re-assay. SLR considers there to be excellent potential to expand the current Mineral Resource through successful exploration, including the high-priority area directly to the north of the current operations and pit and the depth extension, which are potentially amenable to underground mining methods. 22.2 Mining Wodgina is an established open-pit mine operating as a conventional truck-and-shovel operation utilizing industry-standard mining methods. SLR considers the assumptions for the major mining fleet reasonable. In SLR's opinion, the Mineral Reserves and associated equipment fleet numbers are reasonable to achieve forecast production. The LOM plan supporting the Mineral Reserves is reported on an annual basis and incorporates current operational productivity assumptions and costs. Of note, there is a negative cash flow in the next two (2) years 2025 H2 and 2026, based on the forecast in this Report. SLR has reviewed the available data and determined it to be adequate for supporting the Mineral Reserve statement. The LOM plan forecasts an average annual ex-pit ore production of 4.8 Mtpa, with mining and processing operations expected to continue until 2048. Albemarle Corporation | Wodgina Lithium Operation S-K 1300 Technical Report Summary February 11, 2026 SLR Project No.: 000.V00720.00RP2 22-2 The LOM plan underpinning the Mineral Reserves estimate is an independent assessment based on the estimate of Mineral Resources, and a LOM schedule and associated financial analysis completed by SLR. This LOM was based on the forecast mining sequence; however, SLR modified various aspects of the Company’s LOM plan to align with appropriate and practical modifying factors. Of note these changes include limiting the plant throughput during 2025 and 2026 to two (2) trains only (and associated capital expenditure). SLR considers the estimation methodology to align with industry standards and the achievable production in the medium to long term. SLR considers the underlying studies, as well as capital and operating cost estimates, to be of a pre-feasibility level of accuracy. 22.3 Mineral Processing • The Wodgina processing plant was designed to process 5.6 Mtpa of 1.25% Li2O ore through a common comminution circuit, feeding three identical processing trains to produce 750,000 tpa of SC6.0 concentrate. • The plant includes a single 3-stage crushing circuit feeding three parallel flotation trains that reject waste and tin/tantalum minerals through desliming, magnetics, and density removal, followed by multistage flotation to produce lithium concentrate. • Despite having three processing trains, the system functions as a single circuit with shared feed and product discharge conveyors. • Operations resumed in 2022 after a care-and-maintenance period (2019–2022), with a revised product concentrate grade of 5.5% (SC5.5), increasing the production target to up to 1.1 Mtpa. • Inconsistent and variable feedstock from the ROM, caused by limited storage and blending capacity, has hampered processing plant performance. The LOM plan includes significant stockpiles to be built during the mine life allowing flexibility in the blending requirements of the plant. • The processing design has inherent limitations from the original whole-of-ore flowsheet, but targeted improvement projects are addressing these, focusing on online analysis, process control optimization, ore conditioning, and flotation cell upgrades. • Processing operations are slightly below two-train capacity due to feed and water constraints. Ongoing projects aim to secure sufficient water and feed material to enable increased train operation. 22.4 Environmental, Social, and Governance There are no material local E&S concerns for the current Operation within the approved footprint. However, there are potential biodiversity and cultural heritage limits associated with the development of the Southern TSF. MRL (as the operator) has plans in place to address these potential limits through the project assessment and approvals process. SLR understands the Operation has the required Environmental and Social (E&S) approvals and the licenses/permits for the current operations and the mine is generally operating in compliance with these current E&S approvals and permits. The future E&S approvals required to support the LOM plan include approvals for a new water supply and water processing / brine disposal, waste rock landform expansion beyond EWL2, and a new TSF. MARBL has a plan and schedule in place to secure these future E&S approvals. SLR considers this plan and schedule to be reasonable given the current Albemarle Corporation | Wodgina Lithium Operation S-K 1300 Technical Report Summary February 11, 2026 SLR Project No.: 000.V00720.00RP2 22-3 understanding of the Operation, but notes the schedule depends to a large extent on timely assessment by regulators – while this is generally not within the control of the Operation, MARBL has engaged with relevant departments to mitigate such risk. Albemarle Corporation | Wodgina Lithium Operation S-K 1300 Technical Report Summary February 11, 2026 SLR Project No.: 000.V00720.00RP2 23-1 23.0 Recommendations SLR offers the following recommendations by technical discipline. 23.1 Geology and Mineral Resources It is recommended to complete additional drilling, targeting two main areas: • Targeted Resource and Grade control drilling via DD and RC methods, given the geology risks noted in the mining activities to date. SLR notes that all grade control has migrated to RC drilling to supplement blast hole sampling. RC is undertaken in geologically complex zones to minimize issues and complexities in short term planning. Furthermore, diamond drilling will provide detailed mineralogical information to enable further understanding of the fractionation and structural complexities of the deposit. 23.2 Mining • Conduct further analysis to evaluate strip ratio optimizations by investigating the potential for steepening pit batters and enhancing the eastern footwall sheared pegmatite contact zone. • Develop a scope to evaluate the feasibility of mechanical ore sorters and assess the potential economic benefits of processing contaminated ore with grades between 0.5% and 0.75%. • Secure the necessary regulatory approvals to expand the Eastern Waste Rock Landform. 23.3 Mineral Processing • Enhance feed capacity and consistency: address feed constraints by improving ROM storage and blending capabilities to minimize variability and ensure consistent material feed to the plant. This will enable more stable operations and improve plant performance by allowing operating conditions to be optimized to the known ore source. • Optimize ball mill circuit: upgrade the existing ball mill circuit to address current bottlenecks and improve its capacity to sustain continuous operation of all three processing trains. This includes reviewing equipment sizing and implementing modifications to increase throughput. • Expand water supply: develop projects to ensure sufficient water availability for processing operations for LOM. This is critical to enable the Operation of all three processing trains simultaneously and achieve higher production targets. • Improve processing plant performance: focus on targeted improvement projects to optimize the plant, including enhancements in online analysis, process control, ore conditioning, and flotation cell performance. These upgrades will help overcome the limitations of the original whole-of-ore flowsheet design. • Optimize processing train utilization: increase operational efficiency by resolving feed and water constraints, allowing the consistent use of all three processing trains. This includes close collaboration with the mining department to ensure adequate feedstock supply.


 
Albemarle Corporation | Wodgina Lithium Operation S-K 1300 Technical Report Summary February 11, 2026 SLR Project No.: 000.V00720.00RP2 23-2 • Improve process plant flexibility: implement systems and strategies to enable better adaptation to ore variability, including enhancing the flexibility of the crushing and flotation circuits to accommodate different ore characteristics. • Water recovery: prioritize projects that improve water recovery and utilization efficiency within the plant to ensure sustainable operations while supporting increased capacity. 23.4 Environmental, Social, and Governance • Review and update future approvals plan according to the outcomes of the baseline studies and associated stakeholder engagement. • Continue with the stated Traditional Owner stakeholder engagement and community development measures, to ensure ongoing good relations with the Operation’s TOs. 23.5 Tailings Storage • SLR recommends to ensure a smooth changeover from the current active TSF (Atlas InPit TSFs with bunding), execute in a timely manner the works required to facilitate the regulatory approval of the Southern TS. Albemarle Corporation | Wodgina Lithium Operation S-K 1300 Technical Report Summary February 11, 2026 SLR Project No.: 000.V00720.00RP2 24-1 24.0 References Report Title Area Provider Year SEC Technical Report Summary Initial Assessment Wodgina, Western Australia SK 1300 Report SRK Consulting 2021 Environmental Management Plan (Rev 04) HSEC Management Mineral Resources Limited 2016 Reverse Osmosis Plant Wastewater Disposal Strategy Plan HSEC Management Mineral Resources Limited 2019 Wodgina Approvals – Internal Briefing Document Approvals Mineral Resources Limited Undated (current 2024) Mining Proposal 120114 - Wodgina Lithium Project Version 1.4 Approvals Mineral Resources Limited 2023 Mine Closure Plan - Wodgina Lithium Project (Version 3.2; Appendix B of Mining Proposal 120114) Approvals Mineral Resources Limited 2023 Approval for Mining Proposal 120114 – Wodgina Lithium Project Approvals Department of Energy, Mines, Industry Regulation and Safety 2023 Operating License L4328/1989/10, Wodgina Lithium Project Approvals Department of Water and Environment Regulation 2024 & 2025 Works Approval W6734/2022/1 - Amendment Decision Report Approvals Department of Water and Environment Regulation 2024 Part V License Amendment Application – Attachment 3B Approvals Mineral Resources Limited 2024 Clearing Permit CPS 8068/2 Approvals Department of Energy, Mines, Industry Regulation and Safety 2018 Clearing Permit CPS 9911/1 Approvals Department of Energy, Mines, Industry Regulation and Safety 2023 Clearing Permit CPS 10346/1 Approvals Department of Energy, Mines, Industry Regulation and Safety 2024 License to Take Water GWL154570(20) Approvals Department of Water and Environment Regulation 2020 License to Construct or Alter Well CAW 207875(1) Approvals Department of Water and Environment Regulation 2022 Albemarle Corporation | Wodgina Lithium Operation S-K 1300 Technical Report Summary February 11, 2026 SLR Project No.: 000.V00720.00RP2 24-2 Report Title Area Provider Year License to Construct or Alter Well CAW 208142(1) Approvals Department of Water and Environment Regulation 2022 License to Construct or Alter Well CAW 208769(1) Approvals Department of Water and Environment Regulation 2023 List of Notices (Regulator Non- Compliance Notices - Excel spreadsheet) Compliance Mineral Resources Limited Undated List of Reportable Incidents (Regulatory Non-Compliance incidents - Excel spreadsheet) Compliance Mineral Resources Limited Undated Annual Environmental Report 2023 – Operating License L4328/1989/10 Compliance Mineral Resources Limited 2023 Annual Environmental Report 2023 – Wodgina Lithium Environmental Group Compliance Department of Energy, Mines, Industry Regulation and Safety 2024 Wodgina Land and Tenure – Internal Briefing Document Tenure & Land Access Mineral Resources Limited Undated (current 2024) Schedule of Wodgina Agreements (Excel spreadsheet) Tenure & Land Access Mineral Resources Limited Undated (current 2024) EMS Documents (Excel spreadsheet) HSEC Management Mineral Resources Limited Undated (current 2024) Wodgina Lithium Project, H2 Level Hydrogeological Assessment Studies Golder Associates 2019 Wodgina conceptual water circuit FY23 v02, Ground Control and Water (Flowchart Figure) Infrastructure Mineral Resources Limited 2022 Surface Water Assessment Wodgina Mine Site – 5 Year Mine Plan Studies AQ2 2023 Wodgina Surface Water Assessment 5YMP – 5 Year Mine Plan – EWL Redesign Addendum Studies AQ2 2023 Wodgina Lithium Project, Cassiterite Pit Dewatering and Post Closure Pit Lake Assessment – 5 Year Mine Plan Studies AQ2 2022 Albemarle Corporation | Wodgina Lithium Operation S-K 1300 Technical Report Summary February 11, 2026 SLR Project No.: 000.V00720.00RP2 24-3 Report Title Area Provider Year Preliminary Site Investigation – Wodgina Lithium Operations Studies Sen versa 2023 Closure Cost Liabilities Review (Wodgina) – Full-Year FY24 Mine Closure Mineral Resources Limited 2024 HSEC – General Risks, Site Risk Register HSEC Management Mineral Resources Limited Undated Emergency Response Site Risk Register (Excel spreadsheet) HSEC Management Mineral Resources Limited Undated Wodgina – Communities and Heritage HSEC Management Mineral Resources Limited Undated Stakeholder Engagement Management Plan (Rev 00) HSEC Management Mineral Resources Limited 2020 Wodgina Mining Model Update Mining Mineral Resources Limited 2024 Wodgina Five year approvals - Geotechnical Assessment – Stages 3 and 4 Mining Mineral Resources Limited 2023 Wodgina Two year approvals - Geotechnical Assessment – Stages 1, 2 and 4 Mining Mineral Resources Limited 2022 Wodgina Open Pit Geotechnical Review of Final Stage Slope Designs Mining Geotechnical Consulting Pty Ltd 2007 Mining Proposal 500604 - Wodgina Lithium Project Version 4.0 Approvals Department of Energy, Mines, Industry Regulation and Safety 2025 Memorandum – Wodgina Approvals August 2025 Approvals Mineral Resources Limited 2025 Wodgina Water Security – FY26 Infrastructure Mineral Resources Limited 2025 Clearing Permit CPS 11122/1 Approvals Mineral Resources Limited 2025 Offsets Proposal for Clearing Permit CPS 11122/1 Approvals Mineral Resources Limited 2025 Memorandum – Nyamal Heritage Surveys and Aboriginal Heritage Approvals Overview – Wodgina Approvals Mineral Resources Limited 2025 Memorandum – Closure Cost Liability (Wodgina) – Full-Year FY25 Mine Closure Mineral Resources Limited 2025 Lithium Market Summary Report for Albemarle Market Studies Fastmarkets 2025


 
Albemarle Corporation | Wodgina Lithium Operation S-K 1300 Technical Report Summary February 11, 2026 SLR Project No.: 000.V00720.00RP2 24-4 Report Title Area Provider Year Fixed long-term pricing for 2025 SEC reporting Market Studies Albemarle 2025 Albemarle Corporation | Wodgina Lithium Operation S-K 1300 Technical Report Summary February 11, 2026 SLR Project No.: 000.V00720.00RP2 25-1 25.0 Reliance on Information Provided by the Registrant This Technical Report Summary has been prepared by SLR for Albemarle as the Client. The estimates, conclusions, opinions, and information contained in this TRS are based on information and data provided by the Registrant and the Company, which was validated following industry practices and deemed appropriate for use as at the date of this Report. SLR fully relied on the Company, MARBL and the MRL for information in relation to the following subsections. SLR considers it reasonable to rely on the Client and the MRL for this information as they have been the owners of the Operation for many years and have experience with the operation of lithium mines in Western Australia. 25.1 Macroeconomic Trends Information relating to inflation, interest rates, foreign exchange rates, and taxes. This information was used in Section 19.0 for the economic analysis and supports the Mineral Resource estimate in Section 11.0 and the Mineral Reserve estimate in Section 12.0. 25.2 Marketing Information relating to marketing and sales contracts, marketing studies and strategies, product valuation, product specifications, refining and treatment charges, transportation costs, and material contracts. The information relied upon in this Report has been sourced from the Client and compiled by Fastmarkets (an independent marketing expert). This information was used to support the Mineral Resource estimate in Section 11.0 and the Mineral Reserve estimate in Section 12.0. It has been used when discussing the contract information in Section 16.0, Commodity Price in Section 12.0, and analysis of the economics in Section 19.0. 25.3 Legal Matters Information relating to mineral rights, approvals and permits to mine, mineral tenures (concessions, payments to retain, obligation relating to work programs), ownership interests, surface rights, easements, rights of way, violations, fines, ability and timing to obtain and renew permits, monitoring requirements, royalties, water rights, and bonding requirements. This information has been used to discuss property ownership, tenure, permits, and closure matters in Section 3.0, economic analyses in Section 19.0 and supports the Mineral Resource estimate in Section 11.0 and the Mineral Reserve estimate in Section 12.0. This information was provided by MARBL and is considered reliable given the ongoing operations at the assets. 25.4 Environmental Matters Information relating to environmental permitting and monitoring requirements, ability to maintain and renew permits, emissions controls, closure planning, baseline studies for environmental permitting, closure bond and binding requirements and compliance with requirements for protected species and areas. This information is used when discussing tenure and property ownership in Section 3.0, the permitting and closure discussions in Section 17.0, and the economic analysis in Section 19.0. It supports the Mineral Resource estimate in Section 11.0 and the Mineral Reserve estimate in Section 12.0. This information was provided by MARBL and is confirmed reliable given the Albemarle Corporation | Wodgina Lithium Operation S-K 1300 Technical Report Summary February 11, 2026 SLR Project No.: 000.V00720.00RP2 25-2 ongoing operations at the assets. The majority of documents were prepared by subject matter experts and can be relied upon to support the information contained in this Report. 25.5 Stakeholder Accommodations Information relating to community relations plan, non-governmental organizations, and social and stakeholder baseline and supporting studies. This information is used in the social and community discussions in Section 17.0 and the economic analysis in Section 19.0. It supports the Mineral Resource estimate in Section 11.0 and the Mineral Reserve estimate in Section 12.0. This information was provided by MARBL and is confirmed reliable given the ongoing operations at the assets. 25.6 Governmental Factors Information relating to Government royalty and taxation and governmental monitoring, violations and enforcement action, and bond requirements. This information was used in Section 3.0 for discussion of royalty requirements and encumbrances on the Property, the mine closure and permitting in Section 17.0, the economic analysis in Section 19.0 and supports the Mineral Resources Estimate in Section 11.0 and the Mineral Reserves Estimate in Section 12.0. This information was provided by MARBL and is confirmed reliable given the ongoing operations at the assets. Albemarle Corporation | Wodgina Lithium Operation S-K 1300 Technical Report Summary February 11, 2026 SLR Project No.: 000.V00720.00RP2 26-1 26.0 Date and Signature Page This report titled “S-K 1300 Technical Report Summary, Wodgina Operation, Western Australia” with an effective date of June 30, 2025 was prepared and signed by: (Signed) SLR USA Advisory Inc. Dated at Lakewood, CO February 11, 2026 SLR USA Advisory Inc.