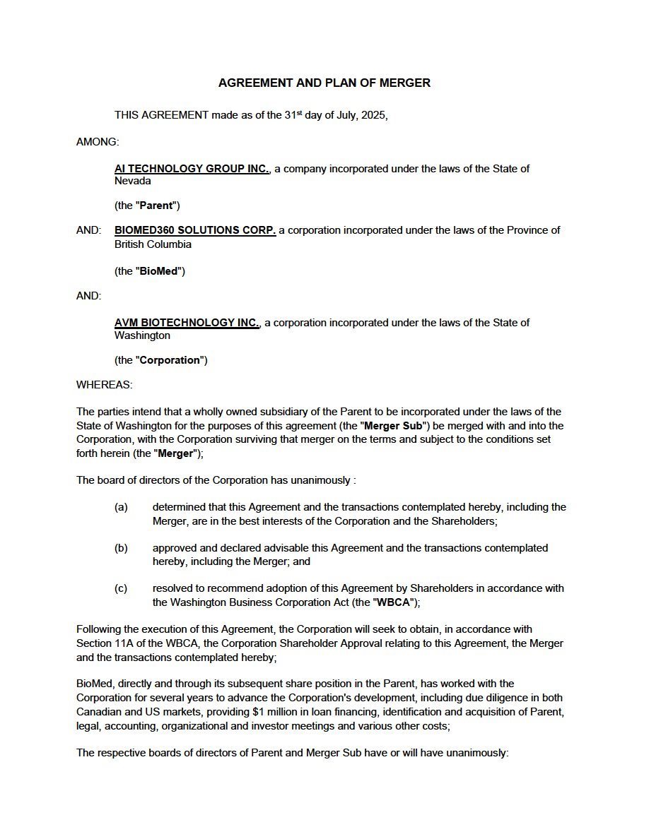
EXHIBIT 10